







所属成套资源:2025届高三数学二轮专题复习(新高考通用)
利用导数研究函数的单调性、极值与最值 课件-2025届高三数学二轮专题复习
展开
这是一份利用导数研究函数的单调性、极值与最值 课件-2025届高三数学二轮专题复习,共39页。PPT课件主要包含了考向2公切线问题等内容,欢迎下载使用。
考点一 导数的几何意义(多考向探究预测)
考向1导数几何意义的应用
(2)(2022新高考Ⅰ,15)若曲线y=(x+a)ex有两条过坐标原点的切线,则a的取值范围是 .
(-∞,-4)∪(0,+∞)
(3)(2022新高考Ⅱ,14)曲线y=ln|x|经过坐标原点的两条切线方程分别为 , .
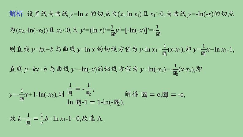
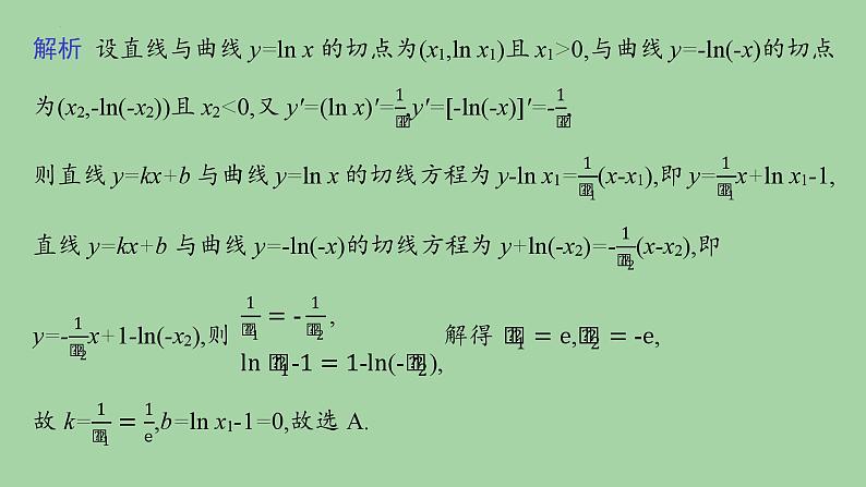
(2)(2024福建模拟预测)已知直线y=kx+b既是曲线y=ln x的切线,也是曲线y=-ln(-x)的切线,则( )
[对点训练1](1)(2024陕西西安二模)已知直线y=kx+b与曲线f(x)=ax2+2+ln x相切于点P(1,4),则a+b+k=( )A.3B.4C.5D.6
解析∵点P(1,4)在曲线f(x)=ax2+2+ln x上,∴a+2=4,解得a=2.由题意得,f'(x)=2ax+ =4x+ ,∴在点P(1,4)处的切线斜率k=5,把P(1,4)代入y=kx+b,得b=-1,∴a+b+k=2-1+5=6,故选D.
(2)(2024安徽黄山模拟)已知函数f(x)=ln x- 在点(1,-1)处的切线与曲线y=ax2+(a-1)x-2只有一个公共点,则实数a的取值范围为( )A.{1,9}B.{0,1,9}C.{-1,-9}D.{0,-1,-9}
所以切线方程是y=2(x-1)-1=2x-3,①若a=0,则曲线为y=-x-2,显然切线与该曲线只有一个公共点;②若a≠0,则2x-3=ax2+(a-1)x-2,即ax2+(a-3)x+1=0,由Δ=(a-3)2-4a=0,即a2-10a+9=0,得a=1或a=9.
考点二 利用导数研究函数的单调性(多考向探究预测)
考向1求函数的单调区间
(1)当a=8时,讨论f(x)的单调性;(2)若f(x)0恒成立.
考点三 利用导数研究函数的极值
例5(2024广东韶关二模)已知函数f(x)=ax+ +2ln x在点(1,f(1))处的切线平行于x轴.(1)求实数a;(2)求f(x)的单调区间和极值.
当00,f(x)在(1,+∞)内单调递增.故x=1时,函数f(x)有极小值f(1)=4,无极大值.故函数f(x)的单调递增区间为(1,+∞),单调递减区间为(0,1),函数有极小值f(1)=4,无极大值.
[对点训练3](1)(2024河南郑州一模)已知函数f(x)的导函数为f'(x),且f(x)=- f'(3)ln x-f(1)x2-4x,则f(x)的极值点为( )
(2)(多选题)(2024重庆模拟)已知函数f(x)及其导函数f'(x)的部分图象如图所示,则( )A.f(x)在(a,b)内有极小值B.f(x)在(a,b)内有极大值C.g(x)=f(x)·e-x在x=a时取极小值D.g(x)=f(x)·e-x在x=b时取极小值
解析 根据f(x)与f'(x)的关系可知,f(x)先递增后递减再递增,f'(x)先递减后递增,由图象可知f(x)在(a,b)内有极大值,无极小值,故A错误,B正确;当x0,可得g'(x)>0,所以g(x)在(-∞,a)内单调递增,当a0,所以g(x)在(b,+∞)内单调递增.综上所述,g(x)在x=a时取极大值,在x=b时取极小值,故C错误,D正确.故选BD.
考点四 利用导数研究函数的最值
例6(1)(2024山东枣庄模拟)已知函数f(x)= +2ax,则下列关于f(x)的结论中正确的是( )A.若a≤0,则f(x)在[1,+∞)上有最小值B.若a≥1,则f(x)在[1,+∞)上有最小值C.若a= ,则f(x)有最大值D.f(x)关于点(0,1)中心对称
(2)(2024北京石景山模拟)已知x=1是函数f(x)=ax3-3x的一个极值点,其中a为实数,则f(x)在区间[-2,2]上的最大值为( )A.0B.1C.2D.3
解析 f'(x)=3ax2-3,因为x=1是y=f(x)的一个极值点,所以f'(1)=3a-3=0,解得a=1,则f'(x)=3x2-3=3(x-1)(x+1),x∈[-2,2].当x∈(-2,-1)时,f'(x)>0,f(x)单调递增;当x∈(-1,1)时,f'(x)
相关课件
这是一份新高考数学一轮复习专题三导数及其应用3-2利用导数研究函数的单调性、极值和最值课件,共27页。
这是一份新高考数学一轮复习专题三导数及其应用3-2利用导数研究函数的单调性、极值和最值练习课件,共60页。
这是一份高考数学二轮复习2.3导数在函数中的应用1导数与函数的单调性极值最值课件,共31页。PPT课件主要包含了-2-,-4-,命题热点一,命题热点二,命题热点三,-5-,-6-,-7-,-8-,-9-等内容,欢迎下载使用。