还剩8页未读,
继续阅读
所属成套资源:2025高考数学二轮复习专辑-【课件】
成套系列资料,整套一键下载
2025高考数学二轮复习-专题突破练4 利用导数研究不等式【课件】
展开
这是一份2025高考数学二轮复习-专题突破练4 利用导数研究不等式【课件】,共16页。
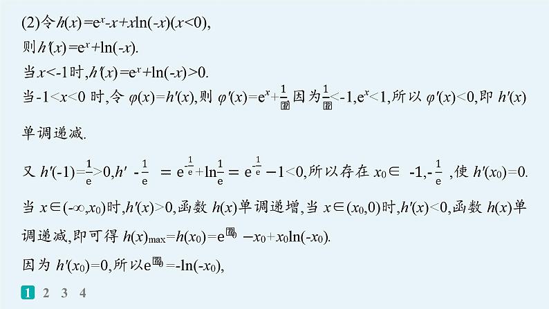
1.(13分)(2024·陕西二模)证明下列两个不等式:(1)-xln(-x)≥ (2)ex-x+xln(-x)0时,f(x)≥2-a,求a的取值范围.
设g(x)=xex-1-1,则g'(x)=(x+1)ex-1>0恒成立,又g(1)=e0-1=0,所以当x∈(0,1)时,f'(x)
相关课件
2025高考数学二轮复习-专题突破练5 利用导数研究函数的零点【课件】:
这是一份2025高考数学二轮复习-专题突破练5 利用导数研究函数的零点【课件】,共14页。
2025高考数学二轮复习-专题1 函数与导数 第4讲 利用导数研究不等式【课件】:
这是一份2025高考数学二轮复习-专题1 函数与导数 第4讲 利用导数研究不等式【课件】,共37页。PPT课件主要包含了基础回扣•考教衔接,以题梳点•核心突破,目录索引等内容,欢迎下载使用。
备战2025年高考数学二轮复习课件专题1函数与导数专题突破练4利用导数求参数的值或范围:
这是一份备战2025年高考数学二轮复习课件专题1函数与导数专题突破练4利用导数求参数的值或范围,共14页。

