







还剩52页未读,
继续阅读
所属成套资源:2025届高三数学一轮复习课件与讲义练习
成套系列资料,整套一键下载
第五章三角函数 章末总结课件-2025届高三数学一轮复习
展开
这是一份第五章三角函数 章末总结课件-2025届高三数学一轮复习,共60页。PPT课件主要包含了图5-1,命题点1化简求值,图5-2,图5-3,答案2等内容,欢迎下载使用。
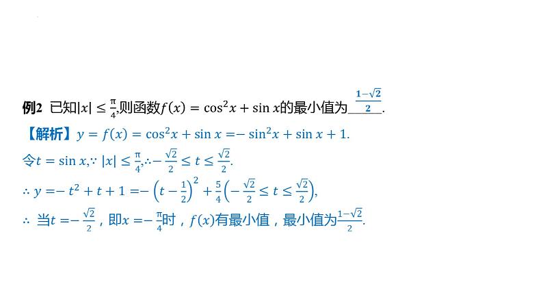
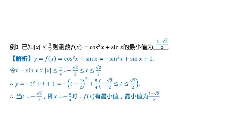
专题1 三角函数的值域和最值问题
专题2 三角恒等变换中的“四变”策略
A.18B.17C.15D.13
A.11B.13C.15D.17
命题点2 三角函数的图象与性质
A.2 022B.4 044C.2 023D.1 011
命题点3 三角恒等变换与三角形的结合
相关课件
第三章函数的概念与性质章末总结课件-2025届高三数学一轮复习:
这是一份第三章函数的概念与性质章末总结课件-2025届高三数学一轮复习,共42页。PPT课件主要包含了图3-1,图3-2,高峰时间段用电价格表,低谷时间段用电价格表,图3-4,命题点5恒成立问题等内容,欢迎下载使用。
第一章 集合与常用逻辑用语章末总结 课件-2025届高三数学一轮复习:
这是一份第一章 集合与常用逻辑用语章末总结 课件-2025届高三数学一轮复习,共24页。PPT课件主要包含了ABD,答案39等内容,欢迎下载使用。
2025年高考数学一轮复习-第五章-三角函数【课件】:
这是一份2025年高考数学一轮复习-第五章-三角函数【课件】,共8页。