还剩11页未读,
继续阅读
所属成套资源:2025届高三数学一轮复习课件与讲义练习
成套系列资料,整套一键下载
一元二次函数、方程和不等式 章末总结课件-2025届高三数学一轮复习
展开
这是一份一元二次函数、方程和不等式 章末总结课件-2025届高三数学一轮复习,共19页。PPT课件主要包含了答案54,图2-1等内容,欢迎下载使用。
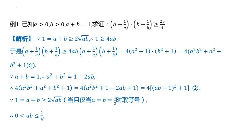
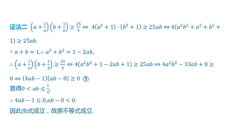
命题点1 利用基本不等式求最值
命题点2 不等式的解集问题
相关课件
高中数学湘教版(2019)必修 第一册第2章 一元二次函数、方程和不等式本章综合与测试优质ppt课件:
这是一份高中数学湘教版(2019)必修 第一册第2章 一元二次函数、方程和不等式本章综合与测试优质ppt课件,共23页。PPT课件主要包含了内容索引,知识网络整合构建,专题归纳思维深化,答案B等内容,欢迎下载使用。
高中数学4.1 一元二次函数备课ppt课件:
这是一份高中数学4.1 一元二次函数备课ppt课件,共28页。PPT课件主要包含了跟踪训练1,答案C,跟踪训练41等内容,欢迎下载使用。
人教A版 (2019)必修 第一册第二章 一元二次函数、方程和不等式本章综合与测试复习课件ppt:
这是一份人教A版 (2019)必修 第一册第二章 一元二次函数、方程和不等式本章综合与测试复习课件ppt,共19页。

