





所属成套资源:2025届高三数学一轮复习课件与讲义练习
三角恒等变换专项训练-2025届高三数学一轮专题复习
展开
这是一份三角恒等变换专项训练-2025届高三数学一轮专题复习,文件包含三角恒等变换专项训练-2025届高三数学一轮专题复习docx、三角函数专项训练-2025届高三数学一轮复习docx等2份试卷配套教学资源,其中试卷共23页, 欢迎下载使用。
1.函数的部分图象大致为( )
A. B.
C.D.
2.已知函数,则“”是“函数为奇函数”的( )
A.充要条件B.充分不必要条件
C.必要不充分条件D.既不充分又不必要条件
3.若,则( )
A.B.1C.D.或
4.函数的部分图象大致为( )
A. B.
C.D.
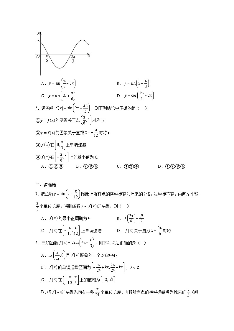
5.如图是函数的部分图象,则函数的解析式可为( )
A.B.
C.D.
6.设函数,则下列结论中正确的是( )
①y=fx的图象关于点对称 ;
②y=fx的图象关于直线对称;
③在上单调递减;
④在上的最小值为0.
A.①②③B.②③④C.①②④D.①②③④
二、多选题
7.把函数图象上所有点的横坐标变为原来的倍,纵坐标不变,再向左平移个单位长度,得到函数的图象,则( )
A.的最小正周期为B.
C.在上单调递增D.关于直线对称
8.已知函数,则下列说法正确的是( )
A.点是图象的一个对称中心
B.的单调递增区间为,
C.在上的值域为
D.将的图象先向右平移个单位长度,再将所有点的横坐标缩短为原来的(纵坐标不变),得到函数的图象,则
三、填空题
9.已知函数在区间恰有2025个零点,则的一个可能取值是 .
10.在中,若,则 .
11.若,则
12.若函数的部分图象如图所示,则的值是 .
四、解答题
13.已知电流(单位:A)关于时间(单位:s)的函数解析式为.
(1)当时,求电流;
(2)当时,电流取得最大值,写出的一个值.
14.(1)已知角的终边经过点,求值.
(2)已知,计算的值.
15.已知函数在上的值域为.
(1)求;
(2)将的图象上所有点的横坐标变为原来的,纵坐标变为原来的倍,得到函数的图象,求的解析式与单调递增区间.
16.函数的图象上相邻两个最高点的距离为,其中一个最低点坐标为.
(1)求函数的解析式及对称中心;
(2)求函数在区间上的单调递增区间.
参考答案:
1.A
【分析】利用奇偶性和排除错误选项即可.
【详解】定义域为,,
为定义在上的偶函数,图象关于轴对称,可排除BC;
,可排除D.
故选:A.
2.A
【分析】结合正弦函数的奇偶性以及充要条件的定义判断即可.
【详解】若,则,则,,
所以,则为奇函数.
若为奇函数,则一定有.
则“”是“函数为奇函数”的充要条件.
故选:A.
3.C
【分析】根据诱导公式可得,化弦为切即可求解.
【详解】由题意得,,
则.
故选: .
4.B
【分析】先由分母不为零确定函数的定义域,再由三角函数的诱导公式和确定函数为奇函数,最后讨论和时的正负可得结果;
【详解】由可得函数的定义域为,且,
因为,所以为奇函数.
因为,
所以当时,,当时,,排除A,C,D,
故选:B.
5.A
【分析】观察图象,确定函数的周期,排除B,由图象可得当时,函数取最小值,求由此判断AC,结合诱导公式判断D.
【详解】观察图象可得函数的最小正周期为,
所以,故或,排除B;
观察图象可得当时,函数取最小值,
当时,可得,,
所以,,排除C;
当时,可得,,
所以,,
取可得,,
故函数的解析式可能为,A正确;
,D错误
故选:A.
6.A
【分析】①②选项,代入检验是否是对称中心和对称轴,③选项,求出,由判断单调性,④选项,求出,由求出最小值.
【详解】对于①,当,,故①正确;
对于②,当,,故②正确;
对于③,当,,则y=fx在单调递减,故③正确;
对于④,当,,则y=fx在上单调递增,在单调递减,则,故④错误.
故选:A.
7.BCD
【分析】利用三角函数图象的变换先得y=fx的解析式,利用三角函数的性质一一判定选项即可.
【详解】易知,
显然的最小正周期为,故A错误;
而,故B正确;
当时,,显然此时单调递增,故C正确;
当时,,此时取得最大值,即关于直线对称,故D正确.
故选:BCD.
8.AC
【分析】已知函数fx=Asinωx+φ的解析式,根据函数图像及其形式即可得到ABC选项的判断,D选项由函数的变换诱导公式即可判断.
【详解】因为,所以点是图象的一个对称中心,A正确;
令(),则(),
故的单调递增区间为(),B错误;
因为,所以,故在上的值域为,C正确;
将的图象先向右平移个单位长度,可得函数的图象,
再将所有点的横坐标缩短为原来的(纵坐标不变),可得的图象,D错误.
故选:AC
9.2024.(答案不唯一)
【分析】由题意可得的范围,进而求出的范围,求出其中的一个可得值.
【详解】令,
可得,要使函数在区间恰有2025个零点,即有2025个根,
因为,,,所以,,
则,可得.
故答案为:2024.(答案不唯一)
10.
【分析】利用同角三角函数的平方关系与商数关系计算即可.
【详解】由题意可知,
所以,即,
所以.
故选:.
11./
【分析】首先根据商数关系及其诱导公式求出,然后再根据诱导公式化简目标式子,最后根据齐次式思想进行求解即可.
【详解】已知,解得:;
,
构造齐次式可得:,
代入,得:.
故答案为:
12.
【分析】根据对称关系可推导得到最小正周期,进而得到;根据和的范围可求得结果.
【详解】由图象可知:,图象关于点中心对称,
最小正周期,,,
,结合图象可知:,
,又,.
故答案为:.
13.(1);
(2)(答案不唯一,).
【分析】(1)把代入,结合诱导公式及特殊角的三角函数值计算即得.
(2)利用正弦函数的性质求出的表达式即可得解.
【详解】(1)函数,当时,.
(2)当时,电流取得最大值,则,解得,
所以的一个值为.
14.(1);(2)0
【分析】(1)利用三角函数定义计算可得,再由同角三角函数之间的商数关系计算可得结果;
(2)根据商数关系化简可得,再利用平方关系以及“1”的应用计算可得结果.
【详解】(1)由角的终边经过点,可知,
则可得.
(2)由,化简得,
因此.
所以
15.(1)
(2),单调递增区间为()
【分析】(1)采用换元法令,先分析的单调性,然后根据的最小值求解出的值;
(2)先根据图象变换求解出的解析式,然后根据单调递增区间的公式结合整体替换法求解出的单调递增区间.
【详解】(1)因为,所以,
令,因为,所以,
所以在上单调递增,在上单调递减,
当时,,当时,,
所以,且,
所以.
(2)的图象上所有点的横坐标变为原来的可得,
的图象上所有点的纵坐标变为原来两倍可得;
令,
所以,
所以的单调递增区间为().
16.(1),对称中心为
(2)和
【分析】(1)根据最低点坐标确定出,根据图象上相邻两个最高点的距离确定出,代入最低点坐标可求,由此可求的解析式,再通过整体替换法可求对称中心;
(2)根据整体替换法结合单调递增区间的公式,可求解出的单调递增区间,再对分析即可得到在上的单调递增区间.
【详解】(1)因为最低点的纵坐标为,所以,
因为图象上相邻两个最高点的距离为,所以,所以,
所以,代入点,
所以,所以,
所以,所以,
又因为,所以,所以;
令,则,
所以的对称中心为.
(2)令,所以,
当时,,即,
当时,,即,
所以在上的单调递增区间为和.
题号
1
2
3
4
5
6
7
8
答案
A
A
C
B
A
A
BCD
AC
相关试卷
这是一份2025年高考数学一轮复习-4.3-三角恒等变换-专项训练【含解析】,共8页。试卷主要包含了化简,故选B等内容,欢迎下载使用。
这是一份2025高考数学一轮复习-20.2-三角恒等变换-专项训练【含答案】,共4页。试卷主要包含了化简,下列各式中,值为1的有,sin 10°= 等内容,欢迎下载使用。
这是一份2025高考数学一轮复习-4.3.2-简单的三角恒等变换-专项训练(含答案),共7页。试卷主要包含了单项选择题,多项选择题,填空题,解答题等内容,欢迎下载使用。