







还剩8页未读,
继续阅读
所属成套资源:初中数学新北师大版七年级上册作业课件
成套系列资料,整套一键下载
初中数学新北师大版七年级上册第二章 有理数及其运算方法技巧专题 有理数的混合运算技巧作业课件2024秋
展开
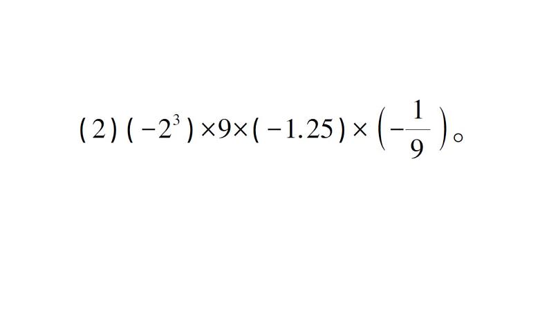
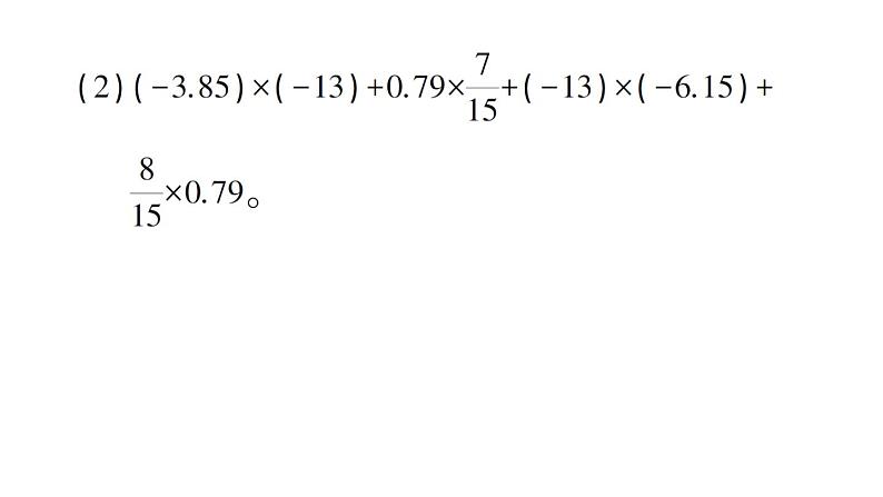
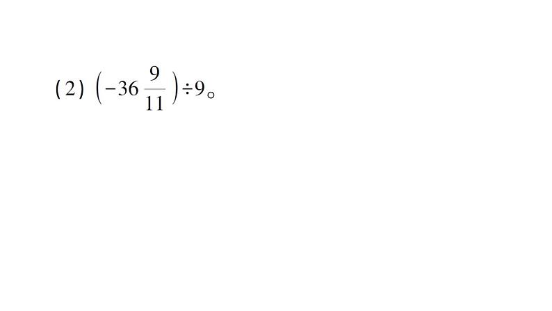
这是一份初中数学新北师大版七年级上册第二章 有理数及其运算方法技巧专题 有理数的混合运算技巧作业课件2024秋,共16页。

相关资料
更多
这是一份初中数学新北师大版七年级上册第二章 有理数及其运算方法技巧专题 有理数的混合运算技巧作业课件2024秋,共16页。
注册成功