






所属成套资源:2025届湖北省鄂东协作体秋季普通高中11月份高三上学期阶段性联考
2025届湖北省鄂东协作体秋季普通高中11月份高三上学期阶段性联考数学试题
展开
这是一份2025届湖北省鄂东协作体秋季普通高中11月份高三上学期阶段性联考数学试题,文件包含2025届湖北省部分高中高三上学期11月期中联考数学试题含答案docx、扫描件_数学pdf、高三数学答案定稿1pdf等3份试卷配套教学资源,其中试卷共19页, 欢迎下载使用。
本试卷共4页,19题.全卷满分150分.考试用时120分钟.
★祝考试顺利★
注意事项:
1.答题前,先将自己的姓名、准考证号、考场号、座位号填写在试卷和答题卡上,并将准考证号条形码粘贴在答题卡上的指定位置.
2选择题的作答:每小题选出答案后,用2B铅笔把答题卡上对应题目的答案标号涂黑.写在试卷、草稿纸和答题卡上的非答题区域均无效.
3.非选择题的作答:用黑色签字笔直接答在答题卡上对应的答题区域内.写在试卷、草稿纸和答题卡上的非答题区域均无效.
4.考试结束后,请将答题卡上交.
一、选择题:本题共8小题,每小题5分,共40分.在每小题给出的四个选项中,只有一项是符合题目要求的.
1.在复平面内,复数对应的点位于( )
A.第一象限 B.第二象限
C.第三象限 D.第四象限
2.已知,则的值为( )
A. B. C. D.
3.已知,且,则与的夹角为( )
A. B. C. D.
4.已知曲线在点处的切线在轴上的截距为,则的值为( )
A.1 B.0 C. D.
5.暑假期间某校5名学生计划去黄冈旅游,体验黄冈的风俗与文化.现有黄梅东山问梅村、罗田天堂寨、黄州的东坡赤壁三个景区可供选择若每名学生只去一个景区,且恰有2人前往黄梅东山问梅村,则不同的游览方案种数为( )
A.40 B.90 C.80 D.160
6.已知函数的最小正周期为,将的图象向右平移个单位后得到函数的图象,若为偶函数,则正实数的最小值为( )
A. B. C. D.
7英国生物统计学家高尔顿设计了高尔顿钉板来研究随机现象.如图是一个高尔顿钉板的设计图,每一黑点表示钉在板上的一颗钉子,它们彼此的距离均相等,上一层的每一颗钉子恰好位于下一层两颗打子的正中间,小球每次下落,将随机的向两边等概率的下落.数学课堂上,老师向学生们介绍了高尔顿钉板放学后,爱动脑的小明设计了一个不一样的“高尔顿钉板”,它使小球在从钉板上一层的两颗钉子之间落下后砸到下一层的钉子上时,向左下落的概率为向右下落的概率的2倍.当有大量的小球依次滚下时,最终都落入钉板下面的5个不同位置.若一个小球从正上方落下,经过5层钉板最终落到4号位置的概率是( )
A. B. C. D.
8.是定义在上的函数,为的导函数,若方程在上至少有3个不同的解,则称为上的“波浪函数”.已知定义在上的函数为“波浪函数”,则实数的取值范围是( )
A. B.
C. D.
二、多选题:本题共3小题,每小题6分,共18分.在每小题给出的四个选项中,有多项是符合题目要求.全部选对的得6分,部分选对得部分分,有错选的得0分.
9.下列结论中正确的有( )
A.已知,若,则;
B.某学生8次考试的数学成绩分别为:101、108、109、120、132、135、141、141,则这8次数学成绩的第75百分位数为135;
C.已知的平均值为8,则的平均值为7;
D.已知为两个随机事件,若,则.
10.已知正实数满足,下列结论中正确的是( )
A.的最大值是 B.的最小值是
C.的最小值是3 D.的最小值为
11.高斯被誉为“数学王子”,是世界上伟大数学家.用他名字定义的函数(表示不超过的最大整数)称为高斯函数.已知正项数列的前项和为,且,令,则下列结论正确的有( )
A. B.
C. D.
三、填空题:本题共3小题,每小题5分,共15分.
12.已知函数,则__________.
13.已知的角的对边分别为,且,若,则__________.
14.已知函数在区间上存在零点,则的取值范围为__________.
四、解答题:本题共5小题,共77分.解答应写出文字说明、证明过程或演算步骤.
15.(本题满分13分)
已知,函数.
(1)求的单调递减区间;
(2)在中,若,求和长.
16.(本题满分15分)
已知是公差不为0的等差数列,,且成等比数列,数列满足:,且.
(1)求和的通项公式;
(2)若为数列的前项和,求.
17.(本题满分15分)
东风学校有甲乙两个食堂,学校后勤服务中心为了调查学生对两个食堂的满意度,随机调査300名学生.设表示事件“学生喜欢去甲食堂”,表示事件“调査的学生是男生”.若.
(1)完成上列列联表,并根据小概率值的独立性检验,判断学生喜欢去哪个食堂与性别是否有关?
(2)为了答谢参与调查的学生,学校后勤服务中心从参与调查的300名学生中按性別分层抽样的方法选15名幸运学生参与抽奖活动,并为他们准备了15张奖券,其中一等奖奖券有3张,二等奖奖券有5张,三等奖奖券有7张,每人抽取一张.设15名幸运学生中男生抽中一等奖的人数为,写出的分布列,并计算.
附
18.(本题满分17分)
已知函数.
(1)讨论的单调性;
(2)当时,恒成立,求实数的取值范围;
(3)证明:.
19.(本题满分17分)
马尔科夫链是一种随机过程,它具有马尔科夫性质,也称为“无记忆性”,即一个系统在某时刻的状态仅与前一时刻的状态有关.为了让学生体验马尔科夫性质,数学老师在课堂上指导学生做了一个游戏.他给小明和小美各一个不透明的箱子,每个箱子中都有个红球和1个白球,这些球除了颜色不同之外,其他的物质特征完全一样规定“两人同时从各自的箱子中取出一个球放入对方的箱子中”为一次操作,假设经过次操作之后小明箱子里的白球个数为随机变量,且.
(1)求的值;
(2)求;
(3)证明:为定值.
2024年秋季普通高中11月份阶段性联考高三数学试卷
参考答案
一、选择题:本题共8小题,每小题5分,共40分.
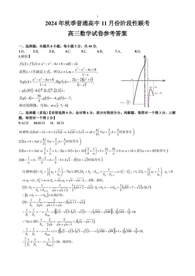
1.D 2.B 3.B 4.C 5.C 6.B 7.A 8.D
8.【解析】
,
显然不满足上式,所以,
令,则,
在,
且,
画出的图像,可知:.
二、选择题(多选)【有错选得0分,全对得6分,部分对得部分分.两解题,每答对一个得3分,三解题,每答对一个得2分】
9.ACD 10.BCD 11.BCD
10.解析:(1)(当时取等号);
(2)(当时取等号);
(3)(当时取等号);
(4)(当时取等号).
11.解析:(1)当时,,又A错,B对;
(2),
.故C对;
(3),
当时,,
,
;故D对;
三、填空题:
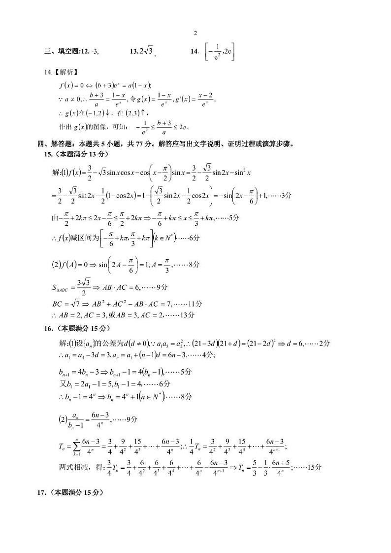
12. 13. 14.
14.【解析】
,令,
在,在,
作出的图像,可知:.
四、解答题:本题共5小题,共77分.解答应写出文字说明、证明过程或演算步骤.
15.(本题满分13分)
解:(1)
由
减区间为
(2)
,或.
16.(本题满分15分)
解:(1)设的公差为,
又
(2),
两式相减,得:
17.(本题满分15分)
解:(1)被调查的学生中男生有140人,女生有160人.男生中喜欢去乙食堂的有80人,喜欢去甲食堂的有60人..被调查的学生中喜欢去甲食堂的有160人.
零假设:假设学生喜欢去哪个食堂与性别无关.
,
根据小概率值的独立性检验,我们推断不成立,即认为学生喜欢去哪个食堂与性别有关.此推断犯错误的概率不大0.001.
(2)根据男女生人数之比可知,被抽取的15人中男生7人,女生8人.
,
,
X的分布列为:
,
18.(本题满分17分)
解(1)定义域为;
.
.当时,恒成立,;
.当时,有两根,但两根均为负数,
当时,
.当时,有两正根和,
当时,;当时,;
当时;
综上所述:
.当时,增区间为;
.当时,增区间为和;减区间为.
(2),令,则在,
若,则,与题意相符;
若,则,所以必存在,使得当时,,
从而使得当时,,与题意相矛盾;
综上:.
(3)证明:由(2)知,当时,(仅当时取等号),
,令,则有:;,得证.
19.(本题满分17分)
解:(1)
(2)
,
又,
.
(3)
,
令,则
而,
.
.得证.调查的是男生
调查的是女生
合计
喜欢去甲食堂
喜欢去乙食堂
合计
0.1
0.05
0.01
0.005
0.001
2.706
3.841
6.635
7.879
10.828
调查的是男生
调查的是女生
合计
喜欢去甲食堂
60
100
160
喜欢去乙食堂
80
60
140
合计
140
160
300
X
0
1
2
3
p
相关试卷
这是一份湖北省新八校协作体2024-2025学年高三上学期10月联考数学试题,文件包含2024年湖北省新八校协作体高三10月联考数学试卷docx、2024年湖北省新八校协作体高三10月联考数学试卷pdf、新八校协作体高三10月联考数学答案pdf等3份试卷配套教学资源,其中试卷共15页, 欢迎下载使用。
这是一份湖北省新高考联考协作体2024-2025学年高三上学期开学考试数学试题,共4页。
这是一份湖北省新高考联考协作体2021-2022学年高三上学期期末考试数学试题,文件包含湖北省新高考联考协作体2021-2022学年高三上学期期末考试数学试题参考答案docx、湖北省新高考联考协作体2021-2022学年高三上学期期末考试数学试题pdf等2份试卷配套教学资源,其中试卷共21页, 欢迎下载使用。