


所属成套资源:(人教A版2019必修第一册)高一数学精讲与精练高分突破(附答案)
- (人教A版2019必修第一册)高一数学精讲与精练高分突破系列3.4 函数的应用(一)(附答案) 试卷 0 次下载
- (人教A版2019必修第一册)高一数学精讲与精练高分突破系列第三章 函数的概念与性质单元必刷卷(培优卷)(全解全析)(附答案) 试卷 0 次下载
- (人教A版2019必修第一册)高一数学精讲与精练高分突破系列第三章 函数的概念与性质同步单元必刷卷(培优版)(考试版)(附答案) 试卷 0 次下载
- (人教A版2019必修第一册)高一数学精讲与精练高分突破系列第三章 函数的概念与性质同步单元必刷卷(基础卷)(考试版)(附答案) 试卷 0 次下载
- (人教A版2019必修第一册)高一数学精讲与精练高分突破系列4.1 指数(附答案) 试卷 0 次下载
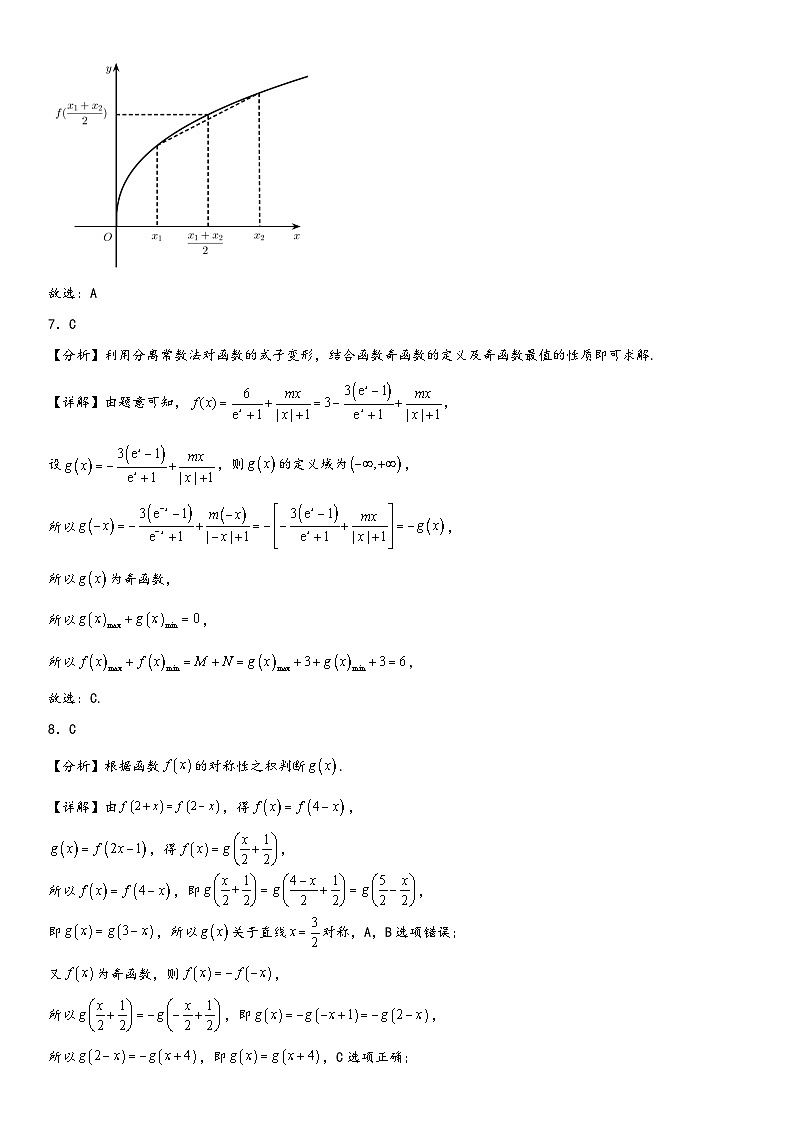
(人教A版2019必修第一册)高一数学精讲与精练高分突破系列第三章 函数的概念与性质单元必刷卷(基础卷)(全解全析)(附答案)
展开
这是一份(人教A版2019必修第一册)高一数学精讲与精练高分突破系列第三章 函数的概念与性质单元必刷卷(基础卷)(全解全析)(附答案),共13页。
第三章函数的概念与性质同步单元必刷卷(基础卷)全解全析1.D【分析】先考虑函数的定义域,再根据复合函数的单调性的判断方法可求函数的单调减区间.【详解】错解:令,是有,而在上单调递增,在上单调递减,在上单调递增,根据复合函数同增异减的原则可知:在上单调递减,即其减区间为.故选:A.错因:没有考虑函数的定义域.正解: 由可得或,故函数的定义域为.令,是有,而在上单调递增,在上单调递减,在上单调递增,根据复合函数同增异减的原则可知:在上单调递减,即其减区间为.故选:D2.D【分析】将化简为,求出的值域,进而可求得的值域.【详解】解:依题意,,其中的值域为,故函数的值域为,故选D.3.A【分析】根据题意列出不等式组,从而可求得的取值范围.【详解】∵函数是(﹣∞,+∞)上的减函数,∴,解得.故选:A4.C【分析】根据函数的定义域,结合函数的单调性求解即可.【详解】∵函数是定义在上的减函数,且,∴,解得.故选:C5.A【分析】分别求解分段函数在每一段定义区间内的最小值,结合函数在整体定义域内的最小值得到关于a的不等式组,解不等式组得到a的取值范围.【详解】当时,,当且仅当时,等号成立,即当时,函数的最小值为;当时,,要使得函数的最小值为,则满足解得.故选:A.6.A【分析】条件表示函数图象在第一象限上凸,结合幂函数的图象特征判断即可【详解】由题,满足条件表示函数图象在第一象限上凸,结合幂函数的图象特征可知只有④满足.故选:A7.C【分析】利用分离常数法对函数的式子变形,结合函数奇函数的定义及奇函数最值的性质即可求解.【详解】由题意可知,,设,则的定义域为,所以,所以为奇函数,所以,所以,故选:C.8.C【分析】根据函数的对称性之积判断.【详解】由,得,,得,所以,即,即,所以关于直线对称,A,B选项错误;又为奇函数,则,所以,即,所以,即,C选项正确;因为,函数关于直线对称,周期为,所以不一定,D选项错误;故选:C.9.ABCD【分析】根据同一函数的要求,两个函数的定义域和对应法则应相同,对四个选项中的两个函数分别进行判断,得到答案.【详解】解:A选项,定义域为,的定义域为,所以二者不是同一函数,故A符合题意;B选项,定义域为,与定义域不相同,所以二者不是同一函数,故B符合题意;C选项,定义域为,的定义域为,所以二者不是同一函数, 故C符合题意;D选项,定义域为,的定义域为,所以二者不是同一函数,故D符合题意;故选:ABCD10.ACD【分析】设幂函数的解析式,代入点,求得函数的解析式,根据幂函数的单调性可判断A、C项,根据函数的定义域可判断B项,结合函数的解析式,利用平方差证明不等式可判断D项.【详解】解:设幂函数,则,解得,所以,所以的定义域为,在上单调递增,故A正确,因为的定义域不关于原点对称,所以函数不是偶函数,故B错误,当时,,故C正确,当时,,又,所以,D正确.故选:ACD.11.AC【分析】根据函数解析式可直接判断的值域,判断A;利用函数的单调性可判断B;利用不等式性质可判断C;根据函数解析式可判断函数值域,判断D.【详解】对于A,,由于,故,A正确;对于B, ,令 ,则,当时,递增,故的最小值为,即值域为,B错误;对于C, 需满足,即,, 故,当时取等号,C正确;对于D,,即函数值域为,D错误,故选:AC.12.ABD【分析】由题意求出,作出图象,即可求解【详解】由可知,可知关于直线对称,当时,,当时,,,所以,作出的图象,所以在,上单调递增,在,上单调递减,,不是奇函数,故ABD错误,C正确;故选:ABD13.【分析】由可得,联立消去整理求解.【详解】∵,则联立,消去整理得:故答案为:.14.2【分析】利用幂函数定义即可得到结果.【详解】函数为幂函数,则,解得或,又因为函数在上单调递减,可得,可得,故答案为:215.6【分析】设A的横坐标为m,把代入两个直线方程,所得值相减(大减小)差为1,由此可解得,得结论.【详解】设A的横坐标为m,则A的坐标为(m,0),∵屋顶所在直线方程分别是yx+3和yx,为保证采光,竖直窗户的高度设计为1m,∴,解得m=6,故点A的横坐标为6.故答案为:6.16.①③④【分析】由可得的图像关于直线对称,然后结合为偶函数可判断出答案.【详解】因为,所以的图像关于直线对称,故①正确,②错误;因为函数f(x)的图像关于直线对称,所以,又,所以,所以,故③正确;因为且为偶函数,所以为偶函数,故④正确.故答案为:①③④17.(1)(2)单调递增;证明见解析【分析】(1)由幂函数的解析式求得时的表达式,再根据奇函数定义求解;(2)根据单调性定义判断证明.(1)由题意时,设,则,,所以,为奇函数,所以,时,,所以;(2)时,,设的任意的两个负实数,且,则,所以,所以时,是增函数.18.(1);(2)答案见解析.【分析】(1)分与两种情况,数形结合得到实数的取值范围;(2)先将不等式变形为,分,,三种情况,解不等式.(1)当,即时,,在是单调递增函数,符合题意;当,即时,二次函数对称轴为,要想函数在是单调函数,只需①,或②,解①得:或,解②得:,所以,综上:实数的取值范围是(2)不等式,变形为,,因为,所以当时,,解得:,当时,,此时解集为,当时,,此时解集为或.综上:当时,解集为;当时,解集为;当时,解集为或.19.(1);(2)作图见解析;(3).【分析】(1)根据的位置结合面积公式可求与之间的函数关系;(2)由(1)结合一次函数的图象可求的图象;(3)根据(2)中的图象可求的值域.(1)当在上时,此时且;当在上时,此时且;当在上时,此时且,故(2)由(1)有,故其图象如图所示:(3)由(2)的图象可得的值域为20.(1)减函数,证明见解析,(2)【分析】(1)先利用奇函数的定义和求出函数解析式,再利用函数单调性的定义证明即可,(2)由(1)可求出函数的最小值,将问题转化为,从而可求出实数m的取值范围.(1)因为为奇函数,所以,即,解得,所以,因为,所以,得,所以,函数在区间上单调递减,理由如下:任取,且,则,因为,且,所以,,,所以,所以,即,所以在区间上单调递减,(2)由(1)可知在区间上单调递减,所以,因为当时,函数恒成立,所以即,解得,所以实数m的取值范围为21.(1),(2)证明见解析(3)【分析】(1)赋值计算得解;(2)根据定义法证明单调性;(3)根据①及单调性计算得解.(1)得,则,而, 且,则;(2)取定义域中的任意的,,且,,当时,,,,在上为减函数.(3)由条件①及(1)的结果得,,, ,,解得,故的取值集合为.22.(1)奇函数(2)(3)【分析】(1)用证明奇偶性的定义,可证得为奇函数.(2)利用题目条件求出的范围,再将转化为不等式恒成立问题求解即可.(3)用换元法转化为新函数(二次函数),再分类讨论参数,分别求出函数的最小值为2.从而求出的值.(1)的定义域为,关于原点对称,且),为奇函数.(2)且.,,又,且,,故在上单调递减,不等式化为,,即恒成立,,解得;(3),,即,解得或舍去),,令,由(1)可知为增函数,,,令,若,当时,,;若时,当时,,解得,无解;综上,.
