





初中数学北师大版(2024)七年级上册2.3 绝对值多媒体教学课件ppt
展开
这是一份初中数学北师大版(2024)七年级上册2.3 绝对值多媒体教学课件ppt,共12页。PPT课件主要包含了第一级复习巩固,-43,第二级综合运用,解如图,第三级拓广探究等内容,欢迎下载使用。
1.3的相反数是( D )
2.下面说法中正确的是( B )
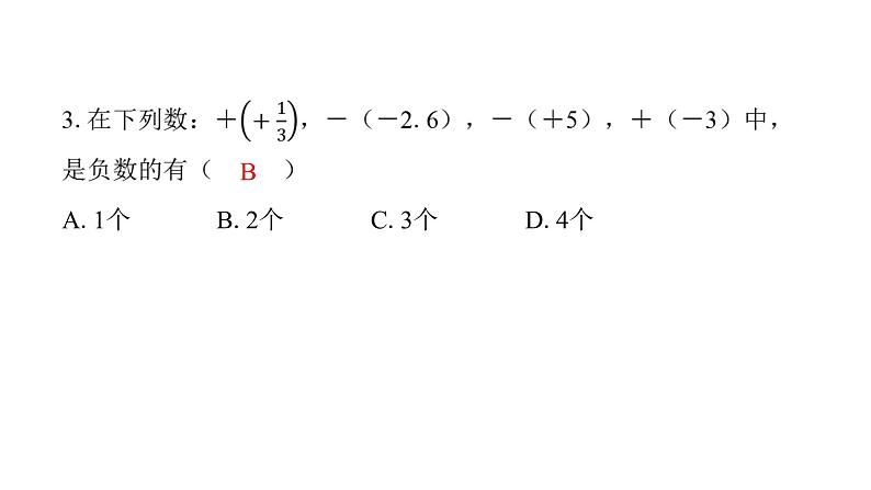
4.下列各组数中,互为相反数的是( )A.-2023与+(-2023)B.-(+2023)与+(-2023)C.-(+2023)与2023D.+2023与-(-2023)
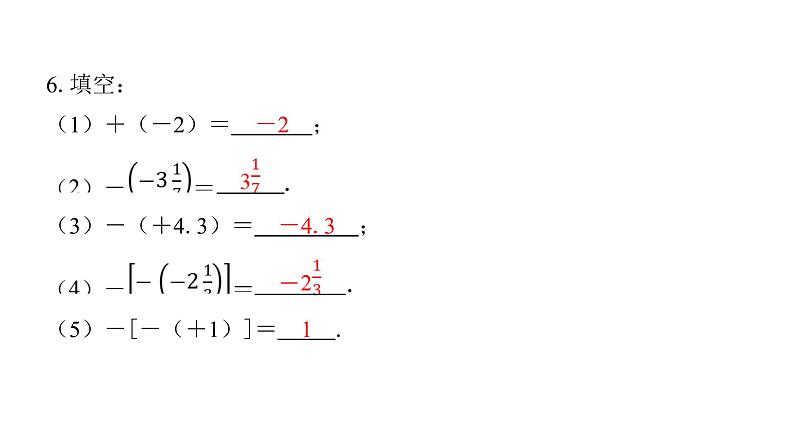
(1)+(-2)= -2 ;
(3)-(+4.3)= -4.3 ;
(5)-[-(+1)]= 1 .
7. (易错题)如图,图中数轴(标记原点的字母遗漏)的单位长度为1,点A,B表示的两数互为相反数,则点C所表示的数为( A )
8.(1)如果a=-13,那么-a= 13 ;
(2)如果-a=-5.4,那么a= 5.4 ;
(3)如果-a=9,那么a= -9 .
9.有理数a,b,c在数轴上的位置如图所示,请在数轴上标出表示-a,-b,-c的点,并用“<”把a,-a,b,-b,c,-c,0连接起来.
所以a<b<-c<0<c<-b<-a.
10.综合运用已知在纸面上有一数轴如图,折叠纸面.
(1)若1表示的点与-1表示的点重合,则-3表示的点与数 3 表示的点重合;
(2)若5表示的点与-1表示的点重合,回答以下问题:
①数3表示的点与数 1 表示的点重合;
②若数轴上A,B两点之间的距离为9(点A在点B左侧),且A,B两点经折叠后重合,则A,B两点所表示的数分别是多少?
解:点A表示-2.5,点B表示6.5.
相关课件
这是一份初中数学北师大版(2024)七年级上册2.3 绝对值评课课件ppt,共6页。PPT课件主要包含了绝对值,相反数,|-8|,或-3等内容,欢迎下载使用。
这是一份初中数学北师大版(2024)七年级上册2.3 绝对值课文内容课件ppt,共6页。PPT课件主要包含了相反数,-33等内容,欢迎下载使用。
这是一份北师大版(2024)七年级上册2.3 绝对值课文内容课件ppt,共13页。PPT课件主要包含了第一级复习巩固,第二级综合运用,±087,第三级拓广探究等内容,欢迎下载使用。