华东师大版(2024)九年级上册5.一元二次方程的根与系数的关系作业免费ppt课件
展开
这是一份华东师大版(2024)九年级上册5.一元二次方程的根与系数的关系作业免费ppt课件,文件包含华东师大版初中数学九年级上册第22章第2课第五节《根与系数的关系》课件pptx、华东师大版初中数学九年级上册第22章第2课《根与系数的关系》教案doc、华东师大版初中数学九年级上册第22章第2课第五节《根与系数的关系》作业设计docx、华东师大版初中数学九年级上册第22章第2课《根与系数的关系》课堂实录mp4等4份课件配套教学资源,其中PPT共20页, 欢迎下载使用。
1、学习并推算出一元二次方程根与系数的关系;2、熟练运用一元二次方程根与系数的关系解决问题.
1、熟练运用一元二次方程根与系数的关系解决问题. (难点)2、能应用韦达定理解方程。
1.一元二次方程有哪些解法? 因式分解法 直开法 配方法 求根公式法2.求根公式?咋确定根的个数?
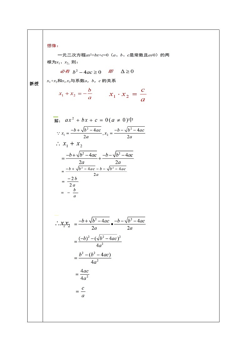
一元二次方程的根与系数的关系
方程 ax2+bx+c=0 ( a、b、c为常数 ,a≠0) 两 根是 x1 , x2 ,那么
二、运用一元二次方程根与系数的关系(一)直接用 求下列方程两根的和与积.(不解方程)
1、x2-3x+2=0
2、3x2-5x+7=13
3、5x2-2x-6=0
4、7x2-4x-3=0
5、2x2-3x-7=0
特别注意: ⑴方程不是一般的形式,先要化成一般的式,等号右边必须为0 ⑵两根之和x1+x2=“- ” 时,漏写的结果很严重.
(二)运用两根关系,求代数式的值
设 是方程 x2-3x+2=10 的两个根,求下列各式的值.(不解方程)
已知两根是3和4,求一元二次方程.解: x-3=0 x-4 =0 ( x-3)( x-4) =0 x2 -7x + 12=0
方程 一根为2,两根的和为6,,求m、n 的值.解:设另一个根为x1,由题意得 x1+ 2=-m =6 2x1 =n 即 x1 =4 答: m=-6, n=8.
练 1.方程ax2-2ax+a-2=10 一负根,一正根,求a的取值范围.
注意:(1)
(2) 两根之积小于0 x1x2<0
练 2.已知两个根是5和-7,求一元二次方程,并使二次项系数为3.
解: 3(x-5)(x+7)=0, 3(x2-2x-35)=0 3x2-6x+105=0.
△≥0x1x2>0x1+x2>0
△≥0x1x2>0x1+x2<0
1、方程 ax2+bx+c=0 ( a、b、c为常数 ,a≠0) 两 根是 x1 , x2 ,那么
注:根与系数关系的运用前提: b2-4ac≥0 即 ∆≥ 0 .
2、如果ax2+bx+c=0(a≠0)的两根分别为x1,x2,则有
相关课件
这是一份数学24.4 解直角三角形作业免费课件ppt,文件包含重难点30圆锥曲线中的存在性问题举一反三新高考专用教师版2025年高考数学一轮复习专练新高考专用docx、重难点30圆锥曲线中的存在性问题举一反三新高考专用学生版2025年高考数学一轮复习专练新高考专用docx等2份试卷配套教学资源,其中试卷共70页, 欢迎下载使用。
这是一份初中数学华东师大版(2024)九年级上册5.一元二次方程的根与系数的关系教课免费课件ppt,共18页。PPT课件主要包含了数学文化,解题密码,解由题意知,解由已知得,m0m-10,∴0m1,一正根一负根,△>0x1x2<0,两个正根,两个负根等内容,欢迎下载使用。
这是一份2023年华东师大版九年级上册中考一轮复习《根与系数的关系》视频+教学设计+教案+课件+试题,文件包含2复习根与系数关系ppt珠嘉镇花园九年制学校彭建新pptx、5根与系数关系教案珠嘉镇花园九年制学校彭建新doc、3根与系数的关系教学设计珠嘉镇花园九年制学校彭建新doc、4根与系数的关系课后试题珠嘉镇花园九年制学校彭建新docx、1课堂实录珠嘉镇花园九年制学校彭建新mp4等5份课件配套教学资源,其中PPT共29页, 欢迎下载使用。

