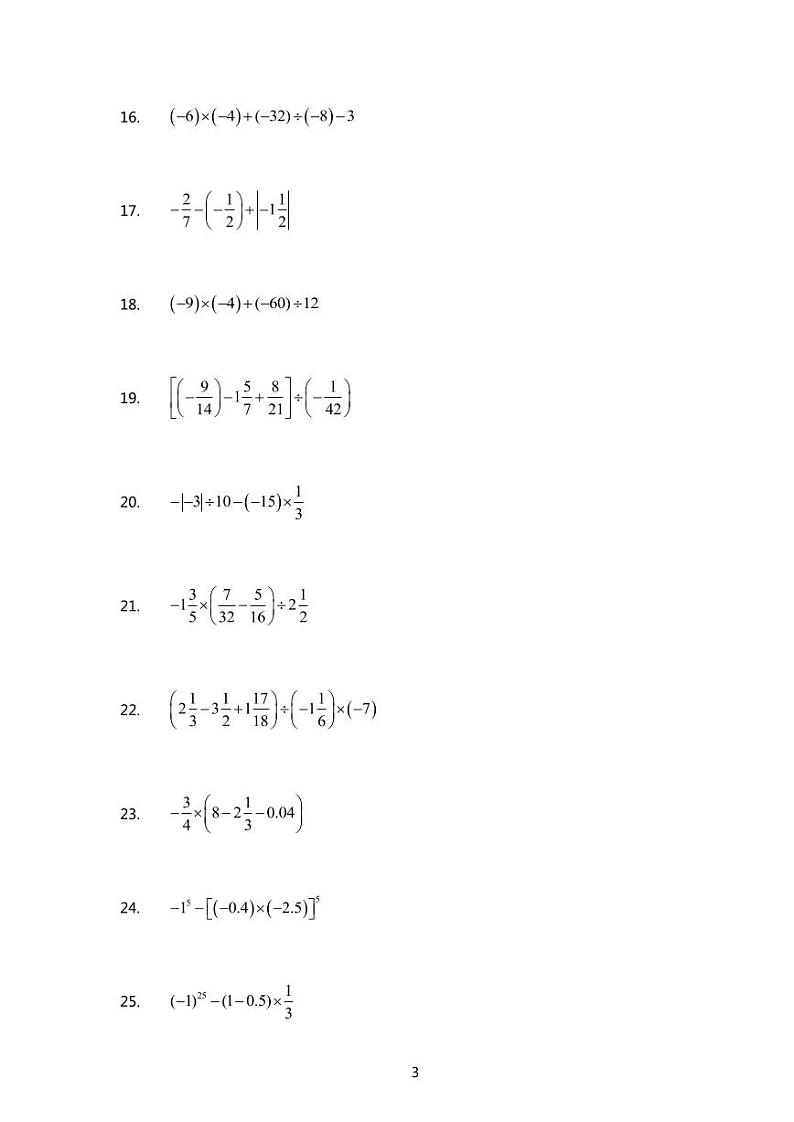
初一数学——有理数计算500题(含答案)练习
展开数学2.1 有理数课时作业: 这是一份数学<a href="/sx/tb_c77549_t7/?tag_id=28" target="_blank">2.1 有理数课时作业</a>,共64页。
初一数学有理数计算500题: 这是一份初一数学有理数计算500题,共89页。
专练07-30题(计算题)2022中考数学考点必杀500题(江苏专用): 这是一份专练07-30题(计算题)2022中考数学考点必杀500题(江苏专用),文件包含专练07-30题计算题2022中考数学考点必杀500题江苏专用解析版docx、专练07-30题计算题2022中考数学考点必杀500题江苏专用原卷版docx等2份试卷配套教学资源,其中试卷共26页, 欢迎下载使用。

