还剩80页未读,
继续阅读
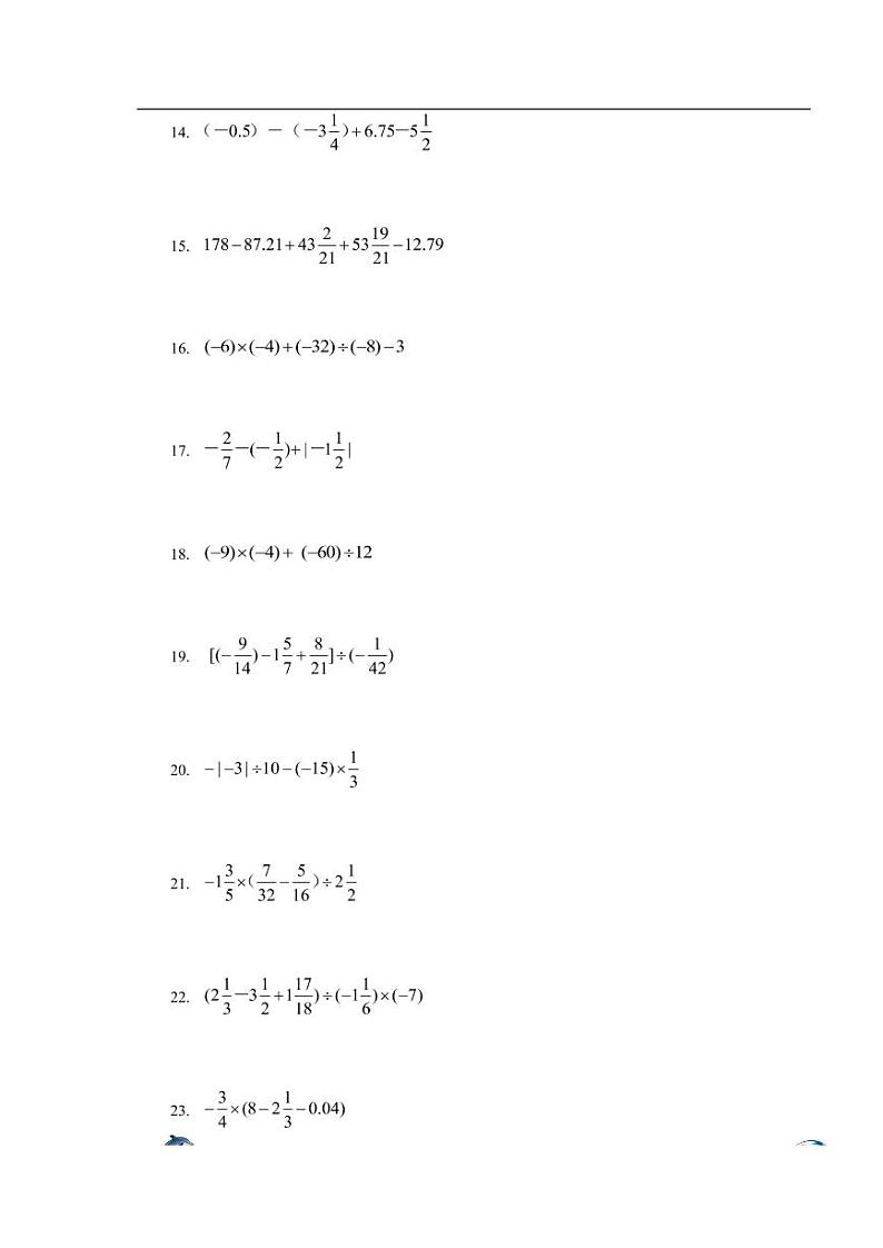
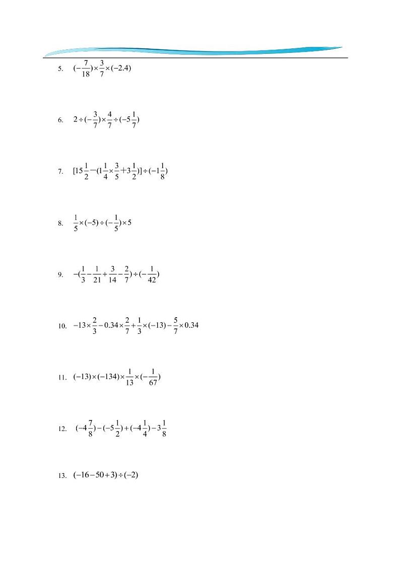
初中计算题500题
展开
这是一份初中计算题500题,共83页。
相关试卷
初中数学中考复习 专练07(计算题)(30题)2022中考数学考点必杀500题(通用版)(原卷版):
这是一份初中数学中考复习 专练07(计算题)(30题)2022中考数学考点必杀500题(通用版)(原卷版),共5页。试卷主要包含了计算, 计算等内容,欢迎下载使用。
初中数学中考复习 专练07(计算题)(30题)2022中考数学考点必杀500题(通用版)(解析版):
这是一份初中数学中考复习 专练07(计算题)(30题)2022中考数学考点必杀500题(通用版)(解析版),共20页。试卷主要包含了计算, 计算等内容,欢迎下载使用。
初中数学中考复习 专练05(填空题-提升)(45题)2022中考数学考点必杀500题(通用版)(解析版):
这是一份初中数学中考复习 专练05(填空题-提升)(45题)2022中考数学考点必杀500题(通用版)(解析版),共43页。试卷主要包含了分解因式等内容,欢迎下载使用。

