年终活动
搜索
    上传资料 赚现金
    英语朗读宝

    [数学]2022~2023学年山东日照高二下学期月考数学试卷实验高级中学第二次(原题版+解析版)

    资料中包含下列文件,点击文件名可预览资料内容
    • 解析
      [数学]2022~2023学年山东日照高二下学期月考数学试卷实验高级中学第二次解析版.pdf
    • 原卷
      [数学]2022~2023学年山东日照高二下学期月考数学试卷实验高级中学第二次原题版.pdf
    [数学]2022~2023学年山东日照高二下学期月考数学试卷实验高级中学第二次解析版第1页
    [数学]2022~2023学年山东日照高二下学期月考数学试卷实验高级中学第二次解析版第2页
    [数学]2022~2023学年山东日照高二下学期月考数学试卷实验高级中学第二次解析版第3页
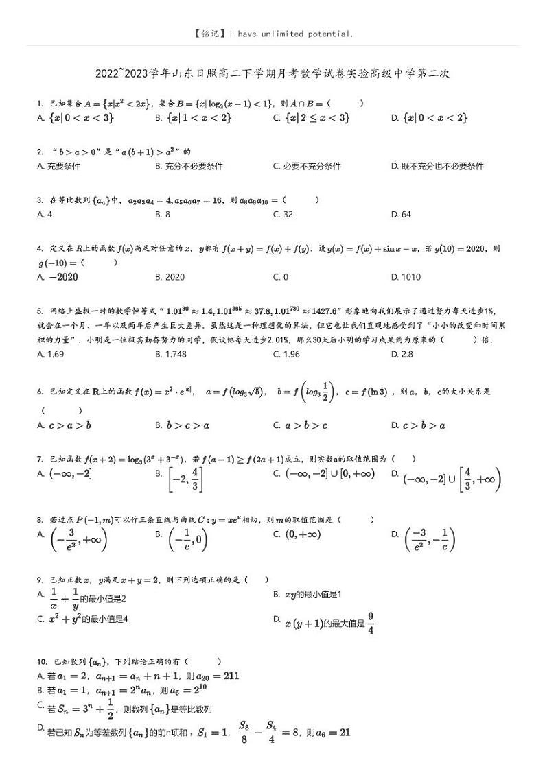
    [数学]2022~2023学年山东日照高二下学期月考数学试卷实验高级中学第二次原题版第1页
    还剩6页未读, 继续阅读
    下载需要10学贝 1学贝=0.1元
    使用下载券免费下载
    加入资料篮
    立即下载

    [数学]2022~2023学年山东日照高二下学期月考数学试卷实验高级中学第二次(原题版+解析版)

    展开

    这是一份[数学]2022~2023学年山东日照高二下学期月考数学试卷实验高级中学第二次(原题版+解析版),文件包含数学2022~2023学年山东日照高二下学期月考数学试卷实验高级中学第二次解析版pdf、数学2022~2023学年山东日照高二下学期月考数学试卷实验高级中学第二次原题版pdf等2份试卷配套教学资源,其中试卷共12页, 欢迎下载使用。

    相关试卷

    [数学]2023~2024学年10月山东济南市中区山东省实验中学(主校区)高二上学期月考数学试卷(原题版+解析版):

    这是一份[数学]2023~2024学年10月山东济南市中区山东省实验中学(主校区)高二上学期月考数学试卷(原题版+解析版),文件包含数学2023~2024学年10月山东济南市中区山东省实验中学主校区高二上学期月考数学试卷解析版pdf、数学2023~2024学年10月山东济南市中区山东省实验中学主校区高二上学期月考数学试卷原题版pdf等2份试卷配套教学资源,其中试卷共13页, 欢迎下载使用。

    [数学]2024~2025学年山东日照高三上学期开学考试数学试卷(原题版+解析版):

    这是一份[数学]2024~2025学年山东日照高三上学期开学考试数学试卷(原题版+解析版),文件包含数学2024~2025学年山东日照高三上学期开学考试数学试卷解析版pdf、数学2024~2025学年山东日照高三上学期开学考试数学试卷原题版pdf等2份试卷配套教学资源,其中试卷共13页, 欢迎下载使用。

    [数学]2023~2024学年6月山东淄博张店区高二下学期月考数学试卷(潘庄高级中学)(原题版+解析版):

    这是一份[数学]2023~2024学年6月山东淄博张店区高二下学期月考数学试卷(潘庄高级中学)(原题版+解析版),文件包含数学2023~2024学年6月山东淄博张店区高二下学期月考数学试卷潘庄高级中学解析版docx、数学2023~2024学年6月山东淄博张店区高二下学期月考数学试卷潘庄高级中学解析版pdf、数学2023~2024学年6月山东淄博张店区高二下学期月考数学试卷潘庄高级中学原题版docx、数学2023~2024学年6月山东淄博张店区高二下学期月考数学试卷潘庄高级中学原题版pdf等4份试卷配套教学资源,其中试卷共20页, 欢迎下载使用。

    欢迎来到教习网
    • 900万优选资源,让备课更轻松
    • 600万优选试题,支持自由组卷
    • 高质量可编辑,日均更新2000+
    • 百万教师选择,专业更值得信赖
    微信扫码注册
    qrcode
    二维码已过期
    刷新

    微信扫码,快速注册

    手机号注册
    手机号码

    手机号格式错误

    手机验证码 获取验证码

    手机验证码已经成功发送,5分钟内有效

    设置密码

    6-20个字符,数字、字母或符号

    注册即视为同意教习网「注册协议」「隐私条款」
    QQ注册
    手机号注册
    微信注册

    注册成功

    返回
    顶部
    Baidu
    map