所属成套资源:勇哥大招高考数学二轮专题复习——七大模块
- 高考数学二轮专题复习不等式 试卷 0 次下载
- 高考数学二轮专题复习函数 试卷 0 次下载
- 高考数学二轮专题复习向量 试卷 0 次下载
- 高考数学二轮专题复习导数 试卷 0 次下载
- 高考数学二轮专题复习数列 试卷 0 次下载
高考数学二轮专题复习圆锥曲线
展开
这是一份高考数学二轮专题复习圆锥曲线,文件包含大招1齐次化妙解圆锥曲线斜率问题docx、大招14第三定义与点差法docx、大招22定比点差法docx、大招10圆雉曲线切线方程docx、大招21椭圆与双曲线焦点问题docx、大招11极点与极线docx、大招3极坐标秒解圆锥曲线2焦半径大题篇docx、大招8阿波罗尼斯圆及其应用docx、大招12焦点三角形面积公式docx、大招9蒙日圆及其证明docx、大招13椭圆中的两个最大张角docx、大招19阿基米德三角形的性质docx、大招2圆锥曲线第二定义docx、大招6圆锥曲线硬解定理docx、大招7仿射变换docx、大招15双曲线与角平分线定理docx、大招17双曲线焦点三角形内切圆问题docx、大招18抛物线的结论docx、大招5焦半径公式docx、大招4极坐标秒解圆锥曲线3原点篇docx、大招16圆锥曲线通1docx、大招20焦点三角形角度与离心率docx、大招16圆锥曲线通径docx等23份试卷配套教学资源,其中试卷共413页, 欢迎下载使用。
结论1:经过圆上一点的切线方程为.
当在圆外时,过点引切线有且只有两条,过两切点的弦所在直线方程为.
结论2:若圆心不在原点,圆的方程:,若为圆上一点,则过切线方程:
若在圆外,过点切线有两条:切点弦所在直线方程:
方便记忆,求切线和切点弦的方法,统一称为“代一留一”.
结论3:过椭圆上一点切线方程为.
当在椭圆的外部时,过引切线有两条,过两切点的弦所在直线方程为.
证明:(1)的两边对求导,得,得,由点斜式得切线方程为,即.
(2)设过椭圆外一点引两条切线
切点分别为.
由(1)可知过、两点的切线方程分别为:、
又因是两条切线的交点,所以有、
观察以上两个等式,发现、满足直线
所以过两切点、两点的直线方程为.
结论4:过双曲线上一点处的切线方程为.
当在双曲线的外部时,过引切线有两条过两切点的弦所在直线方程为:.
结论5:(1)过抛物线上一点处的切线方程为;过抛物线的外部一点引两条切线,过两切点的弦所在直线方程为:
(2)过抛物线上一点处的切线方程为;过抛物线的外部一点引两条切线,过两切点的弦所在直线方程为:.
典型例题
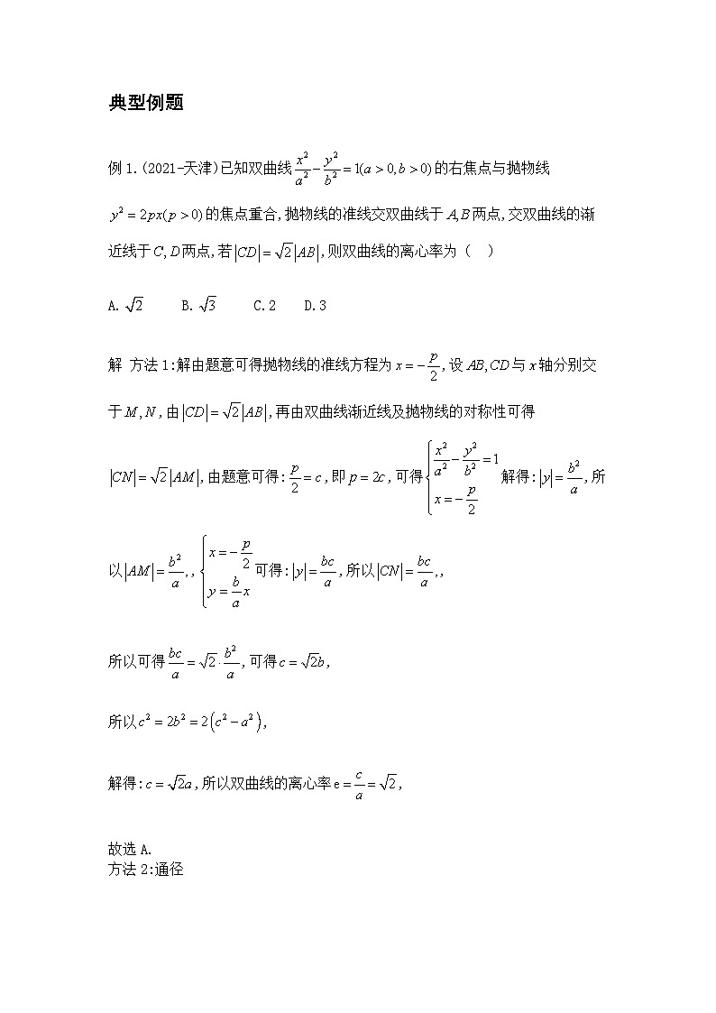
例1.(2021·乙卷理科)已知抛物线的焦点为,且与圆上点的距离的最小值为4.
(1)求;
(2)若点在上,为的两条切线,是切点,求面积的最大值.
【解析】(1)点到圆上的点的距离的最小值为,解得;
(2)方法1:由(1)知,抛物线的方程为,即,则,设切点,则易得,从而得到,设,联立拋物线方程,消去并整理可得,
∴,即,且,∴,
∵,
∴,又点在圆上
故,代入(1)得,,
而,∴当时,.
方法2:由(1)知,抛物线的方程为,即,则
设点
则易得,即,即
则所以,即
联立拋物线得
,得
,当时,.
例2.(2021•天津)已知椭圆的右焦点为,上顶点为,离心率为,且.
(1)求椭圆的标准方程;
(2)直线与椭圆有唯一的公共点,与轴的正半轴交于点,过与垂直的直线交轴于点.若,求直线的方程.
解方法(1)因为离心率
所以,解得,所以椭圆的方程为.
(2)先证明椭圆上过点的椭圆的切线方程为:.
由于椭圆过点,则,
对椭圆求导得,即切线的斜率,
故切线的方程,
将(1)代入得,则切线的方程为,
令,得,
因为,所以,所以,解得,
设,则,即,
因为,所以,所以,即,所以
又因为,所以,解得,
因为,所以,所以,
所以,即.
例3.(2021·桃城区校级模拟)已知圆,直线为直线上的动点,过点作圆的切线,切点分别为,则直线过定点()
A.B.C.D.
解方法1:根据题意,因为为直线上的动点,设,
圆,其圆心的坐标为,半径为1,
以线段为直径的圆的方程为,
则有,联立可得,
令,则.所以直线过定点.故选A.
方法2:设,圆
根据结论1,切点弦为,即.所以直线过定点.故选.
例4.(2021·聊城一模)已知圆,直线为直线上的动点,过点作圆的两条切线,切点分别为,则直线过定点()
A.B.C.D.
解方法1:根据题意,为直线上的动点,设的坐标为,
过点作圆的两条切线,切点分别为,则,
则点、在以为直径的圆上,
又由,则以为直径的圆的方程为,
变形可得:,
则有,联立可得:,变形可得:,
即直线的方程为,
变形可得:,则有,解可得
故直线过定点,故选A.
方法2:设的坐标为,圆,根据结论1,切点弦为,即,则有,解可得,故直线过定点.
例5.(2021秋·迎泽区校级月考)已知圆.动点在直线上,过点引圆的切线,切点分别为,则直线过定点
解方法1:根据题意,动点在直线上,设的坐标为,
圆,圆心为,
过点引圆的切线,切点分别为,则,
则、在以为直径的圆上,该圆的方程为,
变形可得:,
又由、在圆上,即直线为两圆的公共弦所在直线的方程,
则有,则直线的方程为,
则有,解可得:;
故直线恒过定点;故答案为:.
方法2:设的坐标为,圆,
根据结论2,切点弦为,化为关于的方程,即,故直线恒过定点,故答案为:.
例6.过圆外一点向圆引切线.
(1)求过点的圆的切线方程;
(2)若过点的直线截圆所得的弦长为,求该直线的方程;
(3)若过点引圆的两条切线,切点分别为、,求过切点、的直线方程.
解:(1)当切线斜率不存在时,切线方程为.
当切线的斜率存在时,设切线方程为,即.
由,解得:.此时切线方程为.
∴过点的圆的切线方程为或;
(2)由(1)知,所求切线斜率存在,且设直线方程为.
∵,且弦长为,∴圆心到直线的距离,
解得或.
∴所求直线方程为或;
(3)∵,∴以为直径的圆的方程为,
即,与圆联立,
可得过忉点、的直线方程为.
方法2:根据结论1当在圆外时,过点引切线有且只有两条,过两切点的弦所在直线方程为.故此题切点弦为,即.
例7.(2021春-黑龙江期中)已知点在椭圆上.若点在圆上,则圆过点的切线方程为.由此类比得椭圆在点处的切线方程为()
A.B.C.D.
解:把点代入椭圆得:,
∴椭圆的方程为:,
∵若点在圆上,则圆过点的切线方程为,
∴由此类比得椭圆在点处的切线方程为:,即.故选C.
例8.(2020·新课标I)已知,直线为上的动点.过点作的切线,切点为,当最小时,直线的方程为
A.B.C.D.
解:方法化圆为,圆心,半径.
∵.
∴要使最小,则需最小,此时与直线垂直.
直线的方程为,即,
联立,解得.则以为直径的圆的方程为.
联立,可得直线的方程为.故选D.
方法2:解得,则切点弦为,即
若在圆外,过点切线有两条:
切点弦所在直线方程:
故此题切点弦为4,选项中系数都为2,故令或,验证后,选D.
例9.(2021秋·宿州期末)定义:若点在椭圆上,则以为切点的切线方程为:.已知椭圆,点为直线上一个动点,过点作椭圆的两条切线,切点分别为,则直线恒过定点
A.B.C.D.
解:方法1:因为在直线上
则可设点的坐标为,设
所以直线的方程分别为:
显然点的坐标适合两个方程,代入可得:
则直线的方程为:,即,即,
令,解得,所以直线过定点,故选C.
方法2:利用结论3,当在椭圆的外部时,过引切线有两条,过两切点的弦所在直线方程为,因为在直线上,则可设点的坐标为,则直线的方程为:,即,即,令,解得,
所以直线过定点,故选C.
方法3:设直线恒过定点,利用极点极线定义可知的极线为
解得,故选.
例10.(2021秋·金安区校级期末)已知椭圆具有如下性质:若椭圆的方程为,则椭圆在其上一点处的切线方程为,试运用该性质解决以下问题;椭圆,点为在第一象限中的任意一点,过作的切线分别与轴和轴的正半轴交于两点,则面积的最小值为()
A.1B.C.D.2
解:设,则椭圆在点处的切线方程为,
令,得,令,得,
又点在椭圆的第一象限上,所以,所以,
又点在椭圆的第一象限上,所以,所以,
所以,即,当且仅当,即时取等号,
所以当时,三角形的面积的最小值为.故选C.
例11.(2021秋·吉安期末理)过圆上一定点的圆的切线方程为.此结论可推广到圆雉曲线上.过椭圆上的点作椭圆的切线.则过点且与直线垂直的直线方程为()
A.B.C.D.
解:过椭圆上的点,作椭圆的切线的方程为,
即,切线的斜率为1,与直线垂直的直线的斜率为,
过点且与直线垂直的直线方程为,即.故选A.
例2.(2021秋-大连期末)已知为圆上一点,则过上点的切线方程为________.若为椭圆上一点,则过上点的切线方程为__________.
解:方法1:圆的圆心,当时,
则,∴过点的切线的斜率为,
则切线方程为,即;
当时,切线方程为,符合;
当时,忉线方程为,符合.
综上所述,过上点的切线方程为;
当时,设,由,得,
∴,
∴过的切线的斜率为
过的切线方程为,
∵点在椭圆上,∴,则,,
∴,即,
整理得:,即;
当时,同理可得切线方程为;
当时,,此时切线方程为,符合.
综上所述,若为椭圆上一点,
则过上点的切线方程为.故答案为:.
方法2:结论直接填答案.
例13.(2021·泸县校级一模)椭圆上点处的切线方程是
解:方法椭圆,∴时,,∴
∴时,,∴椭圆上点处的切线方程是
即.故答案为:.
方法2:结论3直接填答案,故答案为:.
例14.(2021-金安区校级模拟)一般情况下,过二次曲线上一点的切线方程为,若过双曲线上一点作双曲线的切线,已知直线过点,且斜率的取值范围是,则该双曲线离心率的取值范围是___________.
解:由双曲线的在切线方程:,将代入切线方程,解得:,代入双曲线方程解得:,
则切线方程:,即
由斜率的取值范围是,即
由双曲线的离心率,∴双曲线离心率的取值范围,
故答案为:.
例15.(2021-兴庆区校级一模)已知是抛物线上的一点,过点的切线方程的斜率可通过如下方式求得:
在两边同时对求导,得:,则,所以过的切线的斜率:试用上述方法求出双曲线在处的切线方程为___________.
解:方法1:由双曲线,得到,
根据题意,两边同时对求导得:,解得
由,得到过得切线的斜率,
则所求的切线方程为:,即.故答案为:
方法2:结论4:过双曲线上一点切线方程为
即,故答案为:.
例16.(2021秋·毫州期末)已知椭圆的方程为离心率,点在椭圆上.
(I)求椭圆的方程
(II)求过点的椭圆的切线方程
(III)若从椭圆一个焦点发出的光线照到点被椭圆反射,证明:反射光线经过另一个焦点.
解:(I)由题意可得,解得
∴椭圆的方程为:;
(II)解:设切线的斜率为,∴,
由得:,
由 Δ=64k2(2k-3)2-43+4k216k2+48k-12=0,
化为: 4k2+4k+1=0,
解得 k=-12.
∴ 求过点 P 的椭圆切线方程为 x+2y-8=0.
方法 2 : 结论3 : 过椭圆 x2a2+y2b2=1(a>b>0) 上一点 Mx0,y0 切线方程为 x0xa2+y0yb2=1,2x16+ 3y12=1∴ 求过点 P 的椭圆切线方程为 x+2y-8=0. 注意此方法只可快速秒出答案, 过程还是按常规方法书写.
(III) 证明: ∵ 椭圆 C 的方程为: x216+y212=1,
设椭圆左右焦点分别为 F1(-2,0),F2(2,0),
∵ 过点 P 的椭圆切线方程为 x+2y-8=0,
∴ 过点 P 的椭圆法线方程为 m:2x-y-1=0,
法线的方向向量 m=(-1,-2),
∵PF1=(-4,-3),PF2=(0,-3),
∴cs=PF1⋅mPF1|m|=-25,
cs=PF2⋅mPF2|m|=-25,
∴ 直线 PF1,F2P 关于直线 m 对称;
∴ 从椭圆一个焦点发出的光线照到点 P, 被椭圆反射后, 反射光线一定经过另一个焦点.
例 17. (2021•福州二模) 已知椭圆 C:x2a2+y2b2=1(a>b>0) 的离心率为 12, 点 1,32 在椭圆 C 上.
(I )求椭圆 C 的方程;
(II) 若椭圆 C 的两条切线交于点 M(4,t), 其中 t∈R, 切点分别是 A、B, 试利用结论: 在椭圆 x2a2+y2b2=1 上的点 x0,y0 处的椭圆切线方程是 x0xa2+y0yb2=1, 证明直线 AB 恒过椭圆的右焦点 F2;
(III) 试探究 1AF2+1BF2 的值是否恒为常数, 若是, 求出此常数; 若不是, 请说明理由.
解 ( I ) 解: ∵ 椭圆 C:x2a2+y2b2=1(a>b>0) 的离心率为 12, 点 1,32 在椭圆 C 上.
∴b2a2=1-e2=34, ①
1a2+94b2=1,②,
由①②得: a2=4,b2=3,
∴ 椭圆 C 的方程为 x24+y23=1.⋯ (4 分)
(II) 证明 : 设切点坐标 Ax1,y1,Bx2,y2,
则切线方程分别为 x1x4+y1y3=1,x2x4+y2y3=1.
又两条切线交于点 M(4,t), 即 x1+t3y1=1,x2+t3y2=1,
即点 A、B 的坐标都适合方程 x+t3y=1,
由题意知对任意实数 t, 点 (1,0) 都适合这个方程,
故直线 AB 恒过椭圆的右焦点 F2(1,0). ⋯ (7 分)
(III) 解: 方法 1 : 将直线 AB 的方程 x=-t3y+1, 代入椭圆方程, 得
3-t3y+12+4y2-12=0, 即 t23+4y2-2ty-9=0,
∴y1+y2=6tt2+12,y1y2=-27t2+12,⋯ (10 分)
不妨设 y1>0,y2b>0), 离心率为 32, (I) 中直线AB与椭圆交于点P,Q, 直线 PQ,OP,OQ 的 斜率分别为 k,k1,k2, 若 k1+k2=3k. 求椭圆的方程.
(解) (1) 方法 1 : 设切点 Ax1,y1,Bx2,y2,
因为 y'=2x, 所以拋物线 Ax1,y1 点的切线的斜率为 2x1, 切线方程为 y=2x1x-x12
拋物线Bx2,y2点的切线的斜率为2x2, 切线方程为y=2x2x-x22,
两切线交点 x1+x22,x1x2
xD=x1+x22=12yD=x1x2=-2 解得 x1=-1y1=1,x2=2y2=4
所以 A(-1,1),B(2,4),
所以直线 AB 方程为 y-1=4-12-(-1)(x+1), 即 y=x+2,
方法 2 : 设切点 Ax1,y1,Bx2,y2,
因为 y'=2x, 所以拋物线 Ax1,y1 点的切线的斜率为 2x1, 切线方程为 y=2x1x-x12=2x1x -y1
抛物线 Bx2,y2 点的切线的斜率为 2x2, 切线方程为 y=2x2x-x22=2x2x-y2, 两切线都过点 D12,-2,-2=2x112-y1-2=2x212-y2 所以直线 AB 方程为 -2=2x⋅12-y, 即 y=x +2,
方法 3: 利用结论 5 秒出答案: 12⋅x=-2+y2 即 y=x+2, 解答题过程采用常规法.
(2) 设 Px3,y3,Qx4,y4,
直线 AB 方程为 y=x+2,
由 e=32 得 c2a2=34 又 c2=a2-b2,
所以 a2=4b2.
所以椭圆方程为 x24b2+y2b2=1,
由 y=x+2x2+4y2=4b2 得 5x2+16x+16-4b2=0,
所以 x3+x4=-165x3x4=16-4b25,,
又因为 k1+k2=3k,
所以y3x3+y4x4=3y4-y3x4-x3,
所以x3+2x3+x4+2x4=3x4+2-x3+2x4-x3,
所以2+2x3+2x4=3,
所以2x3+x4x3x4=1,
所以2x3+x4=x3x4,
2×-165=16-4b25, 解得 b2=12,
所以椭圆方程为: x248+y212=1.
例19.(2021 秋•渝中区校级月考) 已知椭圆 C1x2a2+y2b2=1(a>b>0) 的离心率为 12, 过点 E(7,0) 的椭圆 C1 的两条切线相互垂直.
(I) 求椭圆 C1 的方程;
(II) 在椭圆 C1 上是否存在这样的点 P, 过点 P 引抛物线 C2:x2=4y 的两条切线 l1,l2, 切点分别为 B, C, 且直线 BC 过点 A(1,1) ? 若存在,指出这样的点 P 有几个 (不必求出点的坐标); 若不存在, 请说明 理由.
解 ( I ) 由椭圆的对称性, 不妨设在 x 轴上方的切点为 M,x 轴下方的切点为 N,
则 kNE=1,NE 的方程为 y=x-7.
∵ 椭圆 C1 的 x2a2+y2b2=1(a>b>0) 的离心率为 12, 即 ca=12,
则 a=2c,b=3c,
∴ 椭圆 C1 的方程: x24c2+y23c2=1,
联立 y=x-7x24c2+y23c2=1, 得 7x2-87x+28-12c2=0.
由 Δ=(-87)2-2828-12c2=0, 得 c=1.
∴ 椭圆 C1 的方程为 x24+y23=1;
(II) 方法 1 : 设 Bx1,y1,Cx2,y2,Px0,y0,
由 x2=4y, 得 y=14x2,y'=12x,
∴ 抛物线 C2:x2=4y 在点 B 处的切线 l1 为 y-y1=x12x-x1,
即 y=x12x+y1-12x12,
∵y1=14x12,∴y=x12x-y1.
∵ 点 Px0,y0 在切线 l1 上, ∴y0=x12x0-y1, ①
同理 y0=x22x0-y2,②
综合①②得, 点 B,C 的坐标都满足方程 y0=x2x0-y.
∵ 经过 B,C 两点的直线是唯一的,
∴ 直线 BC 的方程为 y0=x2x0-y.
∵ 点 A(1,1) 在直线 BC 上, ∴y0=12x0-1,
∴ 点 P 的轨迹方程为 y=12x-1.
又 ∵ 点 P 在椭圆 C1 上, 又在直线 y=12x-1 上,
∴ 直线 y=12x-1 经过椭圆 C1 内一点 (0,-1),
∴ 直线 y=12x-1 与椭圆 C1 有两个交点,
∴ 满足条件的 P 有两个.
方法 2 : 利用结论 5 可知直线 BC 的方程为 x0x=2y+2y0.
∵ 点 A(1,1) 在直线 BC 上, ∴y0=12 x0-1
∴ 点 P 的轨迹方程为 y=12x-1. 又 ∵ 点 P 在椭圆 C1 上, 又在直线 y=12x-1 上,
∴ 直线 y=12x-1 经过椭圆 C1 内一点 (0,-1),∴ 直线 y=12x-1 与椭圆 C1 有两个交点,
∴ 满足条件的 P 有两个. (过程还是常规写法)
例20.(2021•杭州模拟) 已知曲线 C1 上任意一点到 F(0,1) 的距离比到 x 轴的距离大 1 , 椭圆 C2 的中心在原点, 一个焦点与 C1 的焦点重合, 长轴长为 4 .
(I) 求曲线 C1 和椭圆 C2 的方程;
(II) 椭圆 C2 上是否存在一点 M, 经过点 M 作曲线 C1 的两条切线 MA,MB(A,B 为切点) 使得直线 AB 过椭圆的上顶点, 若存在, 求出切线 MA,MB 的方程, 不存在, 说明理由.
解 (1) 由曲线 C1 上任意一点到 F(0,1) 的距离比到 x 轴的距离大 1 , 根据抛物线的定义, 曲线 C1 为以 F(0,1) 为焦点的抛物线, 则曲线 C1:x2=4y;
设椭圆 C2 的方程 y2a2+x2b2=1(a>b>0), 由 2a=4,a=2,
c=1,b2=a2-c2=3,
∴ 曲线 C2:y24+x23=1 ;
(II) 方法 1 : 若存在, 由题意设 AB 方程: y=kx+2 代入 x2=4y, 化简得 x2-4kx-8=0,
设 Ax1,y1,Bx2,y2, 则 x1+x2=4k,x1x2=-8, ①
由于 y'=12x, 所以切线 MA 方程为: y-y1=12x1x-x1,
即: y=12x1x-14x12, ②
同理切线 MB 方程为: y=12x2x-14x22, ③
由②③得Mx1+x22,x1x24,∴M(2k,-2),
又 M(2k,-2) 在椭圆上, 可得: k=0,
∴M0,-2,k=0 代入①有: x1=22,x2=-22,
所以椭圆 C2 上存在一点 M(0,-2) 符合题意, 此时两条切线的方程为 y=±2x-2.
方法 2: Mx0,y0 利用结论 5 可知直线 AB 方程: x0x=2y0+2y ,又直线 AB 过椭圆的上顶点 (0,2) ,代入直线 AB 得 y0=-2 ,代入椭圆可知 M(0,-2) 可知直线 AB 方程: y=2 代入曲线 C1 : x2=4y 得 AB 坐标解得两条切线的方程为 y=±2x-2. (此法快速求出正确答案, 解答题过 程还是采用常规方法)
自我检测
1.若椭圆 x2a2+y2b2=1 的焦点在 x 轴上, 过点 1,12 作圆 x2+y2=1 的切线, 切点分别为 A、B, 直线 AB 恰好经过椭圆的右焦点和上顶点, 则椭圆方程是 ( )
A.x29+y24=1
B. x24+y25=1
C. x25+y24=1
D. x29+y25=1
解: 设过点 1,12 的圆 x2+y2=1 的切线为 l:y-12=k(x-1), 即 kx-y-k+12=0
①当直线 l 与 x 轴垂直时, k 不存在, 直线方程为 x=1, 恰好与圆 x2+y2=1 相切于点 A(1,0);
②当直线 l 与 x 轴不垂直时, 原点到直线 l 的距离为: d=-k+12k2+1=1, 解之得 k=-34,
此时直线 l 的方程为 y=-34x+54,l 切圆 x2+y2=1 相切于点 B35,45;
因此, 直线 AB 斜率为 k1=0-451-35=-2, 直线 AB 方程为 y=-2(x-1)
∴ 直线 AB 交 x 轴交于点 A(1,0), 交 y 轴于点 C(0,2).
椭圆 x2a2+y2b2=1 的右焦点为 (0,1), 上顶点为 (0,2)
∴c=1,b=2, 可得 a2=b2+c2=5, 椭圆方程为 x25+y24=1
故选 C.
大招解法: 由切点弦方程 x0x+y0y=1 可知 AB 方程: x+12y=1
故右焦点为 (1,0) 上顶点为 (0,2).∴b=2 c=1 a=5
∴ 椭圆的方程 x25+y24=1
2.过点 (3,1) 作圆 (x-1)2+y2=1 的两条切线, 切点分别为 A,B, 则直线 AB 的方程为 ( )
A. 2x+y-3=0
B. 2x-y-3=0
C. 4x-y-3=0
D. 4x+y-3=0
解: 因为过点 (3,1) 作圆 (x-1)2+y2=1 的两条切线, 切点分别为 A,B,
所以圆的一条切线方程为 y=1, 切点之一为 (1,1),
显然 B、D 选项不过 (1,1),B、D 不满足题意;
另一个切点的坐标在 (1,1) 的右侧, 所以切线的斜率为负, 选项 C 不满足, A 满足. 故选 A.
大招解法 : 由切点弦方程 x0-a(x-a)+y0-b(y-b)=1
可得: 2(x-1)+y=1 故 A、B 所在直线方程 2x+y-3=0
3.过点 P(4,-3) 作抛物线 y=14x2 的两切线, 切点分别为 A,B, 则直线 AB 的方程为 ()
A. 2x-y+3=0
B. 2x+y+3=0
C. 2x-y-3=0
D. 2x+y-3=0
解: 设切点为 Ax1,y1,Bx2,y2, 又 y'=12x,
则切线 PA 的方程为: y-y1=12x1x-x1, 即 y=12x1x-y1,
切线 PB 的方程为: y-y2=12x2x-x2 即 y=12x2x-y2,
由 P(4,-3) 是 PA、PB 交点可知: -3=2x1-y1,-3=2x2-y2,
由两点确定一条直线,
可得过 A、B 的直线方程为 -3=2x-y, 即 2x-y+3=0.
故选 A.
大招解法:
由切点弦方程可知: x0x=py+y0, 将 P(4,-3) 带人可得 4x=2(y+3) ∴2x-y-3=0
4.(2021 ·全国高三专题练习 (文)) 已知圆 O:x2+y2=4, 点 P 为直线 x+2y-9=0 上一动点, 过点 P 向圆 O 引两条切线 PA、PB,A、B 为切点, 则直线 AB 经过定点______
解: 设 P(9-2t,t)
∵ 圆 O:x2+y2=4 的两条切线分别为 PA、PB, 切点分别为 A、B,
∴OA⊥PA,OB⊥PB, 则点 A、B 在以 OP 为直径的圆上, 设这个圆为圆 C,
即 AB 是圆 O 与圆 C 的公共弦,则圆心 C 的坐标是 9-2t2,t2,
且半径的平方是 r2=(9-2t)2+t24,
∴ 圆 C 的方程是 x-9-2t22+y-t22=(9-2t)2+t24,
则公共弦 AB 所在的直线方程为: (2t-9)x-ty+4=0, 即 t(2x-y)+(-9x+4)=0,
则 2x-y=0-9x+4=0, 得 x=49,y=89,∴ 直线 AB 经过定点 49,89.
故答案为: 49,89.
大招解法:
由切点弦方程可知: x0x+y0y=r2, 将 P(9-2t,t) 带入可得 (9-2t)x+ty=4⇒
(y-2x)t+9x-4=0⇒ y-2x=09x-4=0 得 x=49,y=89,∴ 直线 AB 经过定点 49,89.
故答案为: 49,89
5.已知抛物线 C 的顶点为原点, 其焦点 F(0,c)(c>0) 到直线 l:x-y-2=0 的距离为 322. 设 P 为直 线 l 上的点, 过点 P 作抛物线 C 的两条切线 PA,PB, 其中 A,B 为切点.
(I) 求抛物线 C 的方程;
(II) 当点 Px0,y0 为直线 l 上的定点时, 求直线 AB 的方程;
(III) 当点 P 在直线 l 上移动时, 求 |AF|⋅|BF| 的最小值.
解: ( I ) 依题意, 设抛物线 C 的方程为 x2=4cy, 由 |0-c-2|2=322 结合 c>0, 解得 c=1.
所以抛物线 C 的方程为 x2=4y.
(II) 抛物线 C 的方程为 x2=4y, 即 y=14x2, 求导得 y'=12x
设 Ax1,y1,Bx2,y2 (其中 y1=x124,y2=x224 ), 则切线 PA,PB 的斜率分别为 12x1,12x2,
所以切线 PA 的方程为 y-y1=x12x-x1, 即 y=x12x-x122+y1, 即 x1x-2y-2y1=0 ,
同理可得切线 PB 的方程为 x2x-2y-2y2=0
因为切线 PA,PB 均过点 Px0,y0, 所以 x1x0-2y0-2y1=0,x2x0-2y0-2y2=0 ,
所以 x1,y1,x2,y2 为方程 x0x-2y0-2y=0 的两组解.
所以直线 AB 的方程为 x0x-2y-2y0=0.
(III) 由抛物线定义可知 |AF|=y1+1,|BF|=y2+1,
所以 |AF|⋅|BF|=y1+1y2+1=y1y2+y1+y2+1
联立方程 x0x-2y-2y0=0x2=4y, 消去 x 整理得 y2+2y0-x02y+y02=0
由一元二次方程根与系数的关系可得 y1+y2=x02-2y0,y1y2=y02
所以 |AF|⋅|BF|=y1y2+y1+y2+1=y02+x02-2y0+1
又点 Px0,y0 在直线 l 上, 所以 x0=y0+2,
所以 y02+x02-2y0+1=2y02+2y0+5=2y0+122+92
所以当 y0=-12 时, |AF|⋅|BF| 取得最小值, 且最小值为 92.
6.(2021 秋·石家庄期末) 已知椭圆 C:x2a2+y2b2=1(a>b>0) 的上顶点为 (0,2), 且离心率为 223.
(I )求椭圆 C 的方程;
(II) 从椭圆 C 上一点 M 向圆 x2+y2=1 上引两条切线, 切点分别为 A、B, 当直线 AB 分别与 x 轴、 y 轴交于 P、Q 两点时, 求 |PQ| 的最小值.
解: ( I ) :椭圆 C:x2a2+y2b2=1(a>b>0) 的上顶点为 (0,2), 且离心率为 223,
∴b=2e=ca=223, 解得 a=6,b=2,a2=b2+c2
∴ 椭圆 C 的方程为 x236+y24=1.
(II) 设切点为 x0,y0,
当切线斜率存在时, 设切线方程为 y-y0=kx-x0,
∵k=-x0y0,∴ 切线方程为 y-y0=-x0y0x-x0,∴x0x+y0y=r2,
当 k 不存在时, 切点坐标为 (±r,0), 对应切线方程为 x=±r,
符合 x0x+y0y=r2,
综上知切线方程为 x0x+y0y=r2,
设点 MxM,yM,MA,MB 是圆 x2+y2=1 的切线, 切点 Ax1,y1,Bx2,y2,
过点 A 的圆的切线为 x1x+y1y=1,
过点 B 的圆的切线为 x2x+y2y=1,
∵ 两切线都过 M 点, ∴x1xM+y1yM=1,x2xM+y2yM=1,
∴ 切点弦 AB 的方程为 xMx+yMy=1,
由题意知 xMyM≠0,
∴P1xM,0,Q0,1yM
∴|PQ|2=1xM2+1yM2=1xM2+1yM2xM236+yM24
=136+14+136⋅xM2yM2+14⋅yM2xM2⩾136+14+21144⋅xM2yM2⋅yM2xM2=49,
当且仅当 xM2=9,yM2=3 时, 取等号,
∴|PQ|⩾23,∴|PQ| 的最小值为 23.
方法 2 : 设点 MxM,yM 利用结论 1 可知切点弦 AB 的方程为 xMx+yMy=1, 由题意知 xMyM≠0,∴P1xM,0,Q0,1yM,
∴|PQ|2=1xM2+1yM2=1xM2+1yM2xM236+yM24⩾1xM2⋅xM236+1yM2⋅yM24=49
(柯西不等式) 当且仅当 xM2=9,yM2=3 时, 取等号, ∴|PQ|⩾23,∴|PQ| 的最小值为 23. (注意过程书写常规方法)
7. (2021·大连二模) 斜率为 k(k>0) 的直线 l 过定点 P(0,m)(m>0), 与抛物线 x2=2py(p>0) 交于 A,B 两点, 且 A,B 两点到 y 轴距离之差为 4k.
( I )求抛物线方程;
(II) 若此抛物线焦点为 F, 且有 |AF|+|BF|=4k2+4, 试求 m 的值;
(III)过抛物线准线上任意一点 Q 作抛物线的两条切线, 切点分别为 M,N, 试探究直线 MN 是否过 定点, 若过定点, 求出定点的坐标.
解: ( I ) 设 AB 的方程为 y=kx+m,Ax1,y1,Bx2,y2
则由 x2=2pyy=kx+m, 可得 x2-2pkx-2pm=0. (2 分)
∴x1+x2=2pk,
又依题意有 x1+x2=4k=2pk,
∴p=2.
∴ 抛物线方程为 x2=4y. (4 分)
( II ) ∵|AF|+|BF|=y1+y2+p
=kx1+x2+2m+2
=4k2+2m+2
=4k2+4,
∴m=1. (6 分)
(III) 设 Mx1,x124,Nx2,x224,Qx0,-1,
∵kMQ=x12,
∴MQ 的方程为 y-x124=x12x-x1,
∴x12-2x1x+4y=0. (8 分)
∵MQ 过 Q,∴x12-2x1x0-4=0,
同理 x22-2x2x0-4=0,
∴x1,x2 为方程 x2-2x0x-4=0 的两个根,
∴x1x2=-4. (10 分)
又 kMN=x1+x24,
∴MN 的方程为 y-x124=x1+x24x-x1
∴y=x1+x24x+1,
所以直线 MN 过点 (0,1). (12 分)
方法 2: 设 Qx0,-1, 利用结论 5 可知直线 MN:x0x=2×(-1)+2y 所以直线 MN 过点 (0,1). (结论秒答案, 常规写过程)
8.已知直线 6x+2y-26=0 经过椭圆 x2a2+y2b2=1(a>b>0) 的一个顶点 E 和一个焦点 F.
(1)求椭圆的标准方程;
(2) 求过 P(5,3) 与椭圆相切的直线方程.
解: (1) 依题意可知: 椭圆 x2a2+y2b2=1(a>b>0) 焦点在 x 轴上,
直线 6x+2y-26=0 与坐标轴的交点为: (0,6),(2,0),
∴E(0,6),F(2,0),
∴b=6,c=2,
a2=b2+c2=10,
∴ 椭圆的标准方程为 x210+y26=1.
(2) 方法 1 : 由 (1) 可知椭圆 x210+y26=1,P(5,3) 在椭圆上,
求导 2x10+y'y6=0, 整理得: y'=-3x5y,
由导数的几何意义可知: 椭圆在 P(5,3) 切线方程的斜率 k=y'(x=5,y=3)=-155,
则直线的切线方程为: y-3=-155(x-5), 整理得: 510x+36y=1, .
∴P(5,3) 与椭圆相切的直线方程为 510x+36y=1.
方法 2 : 由 (1) 可知椭圆 x210+y26=1,P(5,3) 在椭圆上,
由椭圆上点 x0,y0 的切线方程为: x0x10+y0x6=1,
代人即可求得: 切线方程为 510x+36y=1, 过 P(5,3) 与椭圆相切的直线方程为 510x+36y=1.
9. (2013 山东) 椭圆 C:x2a2+y2b2=1(a>0,b>0) 的左、右焦点分别是 F1,F2, 离心率为 32, 过 F1 且垂直 于 x 轴的直线被椭圆 C 截得的线段长为 1 .
(1) 求椭圆 C 的方程;
(2) 点 P 是椭圆 C 上除长轴端点外的任一点, 连接 PF1,PF2, 设 ∠F1PF2 的角平分线 PM 交 C 的长 轴于点 M(m,0), 求 m 的取值范围;
(3) 在 (2) 的条件下, 过点 P 作斜率为 k 的直线 l, 使得 l 与椭圆 C 有且只有一个公共点, 设直线 PF1,PF2 的斜率分别为 k1,k2, 若 k≠0, 试证明 1kk1+1kk2 为定值, 并求出这个定值.
解: (1) 把 -c 代人椭圆方程得 c2a2+y2b2=1, 解得 y=±b2a,∵ 过 F1 且垂直于 x 轴的直线被椭圆 C 截得的 线段长为 1,∴2b2a=1.
又 e=ca=32, 联立得 2b2a=1a2=b2+c2 ca=32 解得 a=2,b=1c=3
∴ 椭圆 C 的方程为 x24+y2=1.
(2)如图所示, 设 PF1=t,PF2=n, 由角平分线的性质可得 tn=MF1F2M=m+33-m,
又 t+n=2a=4, 消去 t 得到 4-nn=3+m3-n, 化为 n=2(3-m)3,
∵a-c
相关试卷
这是一份【二轮复习】高考数学 专题14 圆锥曲线(考点精练),文件包含二轮复习高考数学专题14圆锥曲线考点精练原卷版docx、二轮复习高考数学专题14圆锥曲线考点精练解析版docx等2份试卷配套教学资源,其中试卷共91页, 欢迎下载使用。
这是一份高考数学二轮专题复习——圆锥曲线全技法,共36页。
这是一份2024年高考数学第二轮专题复习圆锥曲线 专题36:圆锥曲线的面积问题35页,共35页。试卷主要包含了已知椭圆的焦距为,且点在上.,已知抛物线,如图所示,、分别是椭圆,已知点,圆等内容,欢迎下载使用。

