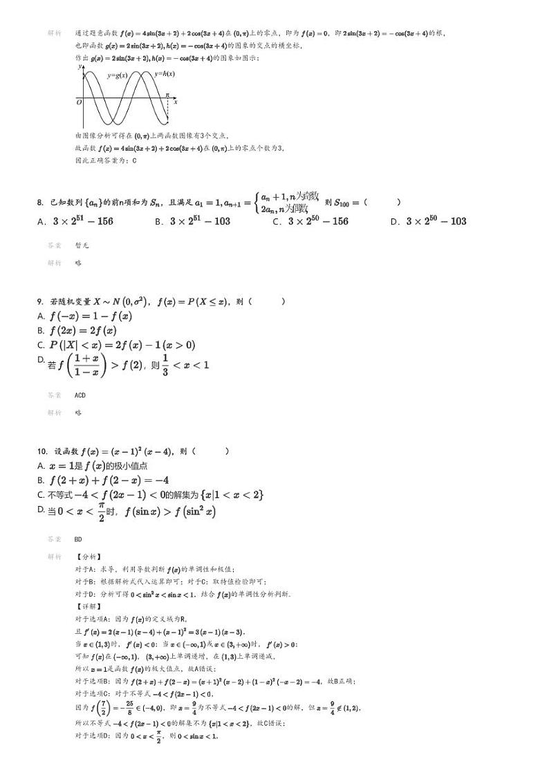
[数学]2024~2025学年8月湖北襄阳樊城区襄阳五中高三下学期月考数学试卷(原题版+解析版)
展开2025届湖北省襄阳市第五中学高三8月月考数学试题: 这是一份2025届湖北省襄阳市第五中学高三8月月考数学试题,共18页。试卷主要包含了单选题,多选题,填空题,解答题等内容,欢迎下载使用。
湖北省襄阳市第五中学2025届高三上学期8月月考数学试卷: 这是一份湖北省襄阳市第五中学2025届高三上学期8月月考数学试卷,共12页。
2023~2024学年9月湖北襄阳市樊城区襄阳五中高一上学期月考数学试卷(含答案与解析): 这是一份2023~2024学年9月湖北襄阳市樊城区襄阳五中高一上学期月考数学试卷(含答案与解析),共13页。

