人教版(2024)七年级上册数学期中学业质量评价试卷(含答案)
展开
这是一份人教版(2024)七年级上册数学期中学业质量评价试卷(含答案),共15页。试卷主要包含了选择题,填空题,解答题等内容,欢迎下载使用。
班级:________ 姓名:________ 分数:________
一、选择题(本大题有8小题,每小题3分,共24分。每小题只有一个选项符合题意)
1.-3的倒数为( )
A. ﹣3B. ﹣C. D. 3
2.2023杭州亚运会主场馆,位于钱塘江畔,会场由钢结构制成28片大花瓣和27片小花瓣组成,其造型独特,动感飘逸,犹如绽放的“莲花碗”,据统计,主会场内座位数共有80800个座位.数字80800用科学记数法表示是( )
A. B. C. D.
3.下列各组单项式中,不是同类项的是( )
A. 与B. 与C. 与D. 与
4.下列各式正确的是( )
A. B.
C. D.
5.数轴上一点,一只蚂蚁从出发爬了4个单位长度到了原点,则点所表示的数是( )
A. 4B. -4C. ±4D. ±8
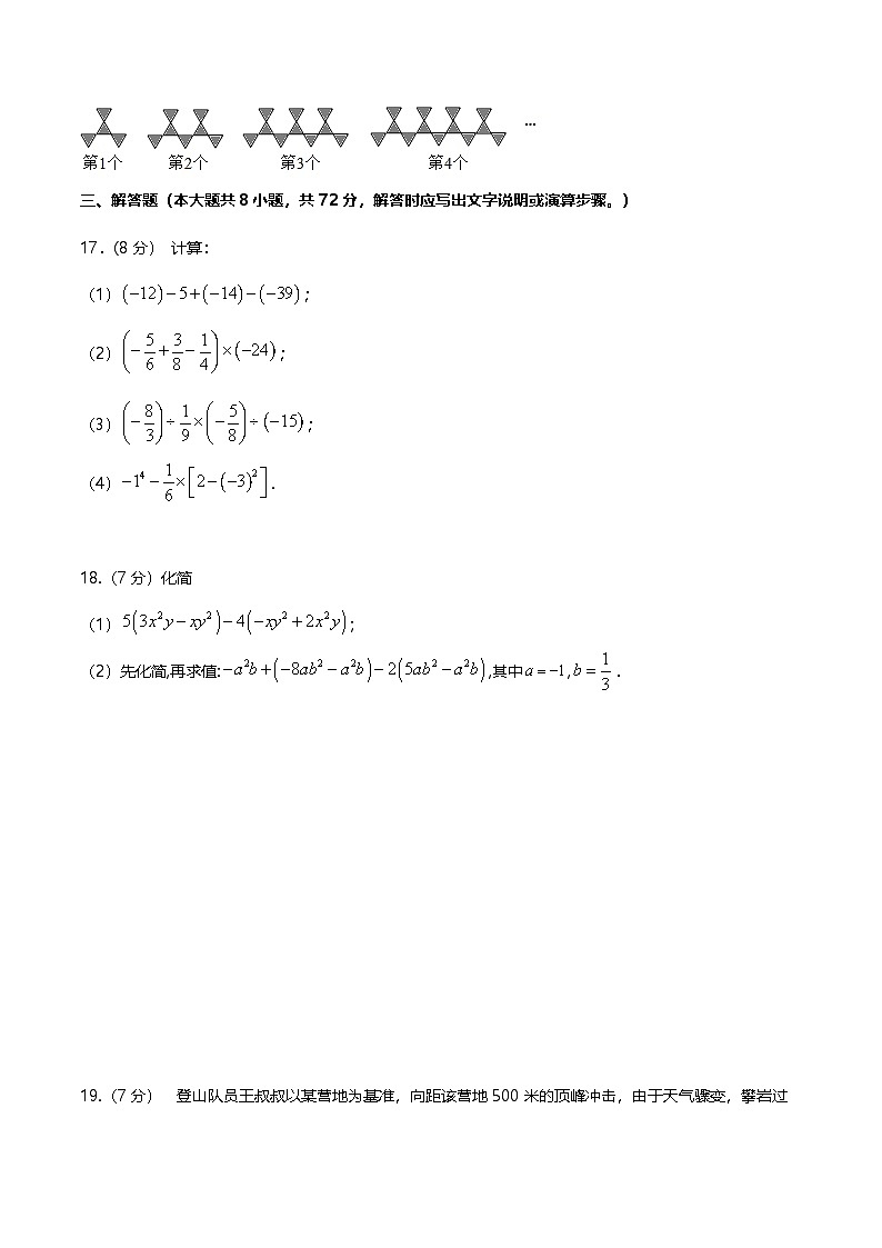
6.已知m是最小的正整数,n是最大的负整数,a,b互为相反数,x,y互为倒数,则的值是( )
A. B. C. 0D. 1
7.已知a、b、c三个有理数在数轴上的对应点的位置如图所示,则下列几个判断:①|a|<|c|<|b|;②abc>0;③a+b>0;④c﹣a>0,其中结论正确的有( )
A. 1个B. 2个C. 3个D. 4个
8.1202年数学家斐波那契在《计算之书》中记载了一列数:1,1,2,3,5,……,这一列数满足:从第三个数开始,每一个数都等于它的前两个数之和.则在这一列数的前2024个数中,奇数的个数为( )
A.676B.674C.1348D.1350
二、填空题(本大题有8小题,每小题3分,共24分)
9.中国人很早开始使用负数,中国古代数学著作《九章算术》的“方程”一章,在世界数学史上首次正式引入负数,用正、负数来表示具有相反意义的量.一次数学测试,以80分为基准简记,90分记作分,那么70分应记作 .
10.单项式的系数是______.
11.已知,,且,则________
12. 若“”是一种新的运算符号,并且规定,则_________
13.若代数式,则代数式的值是
14.根据如图所示的程序计算,若输入的值为,则输出的值为_____.
15. 如果、都是不为0的有理数,则代数式的值是
16.如图是一组有规律的图案,它们是由边长相等的正三角形组合而成,第1个图案有4个三角形,第2个图案有7个三角形,第3个图案有10个三角形…按此规律摆下去,第n个图案有 个三角形(用含n的代数式表示).
三、解答题(本大题共8小题,共72分,解答时应写出文字说明或演算步骤。)
17.(8分) 计算:
(1);
(2);
(3);
(4).
18.(7分)化简
(1);
(2)先化简,再求值:,其中,.
19.(7分) 登山队员王叔叔以某营地为基准,向距该营地500米的顶峰冲击,由于天气骤变,攀岩过程中不得不几次下撤躲避强高空风记王叔叔向上爬升的海拔高度为正数,向下撤退时下降的海拔高度为负数,这次登山的行进过程记录如下:(单位:米)
+260,﹣50,+90,﹣20,+80,﹣25,+105.
(1)这次登山王叔叔有没有登上顶峰?若没有,最终距顶峰还有多少米?
(2)这次登山过程中,每上升或下降1米,平均消耗8千卡的能量,求王叔叔这次登山过程中共消耗了多少能量?
20.(8分)阅读材料:我们知道,4x﹣2x+x=(4﹣2+1)x=3x,类似地,我们把(a+b)看成一个整体,则4(a+b)﹣2(a+b)+(a+b)=(4﹣2+1)(a+b)=3(a+b).“整体思想”是中学教学解题中的一种重要的思想方法,它在多项式的化简与求值中应用极为广泛.
尝试应用:
(1)把(a﹣b)2看成一个整体,合并3(a﹣b)2﹣6(a﹣b)2+2(a﹣b)2的结果是 .
(2)已知x2﹣2y=4,求3x2﹣6y﹣21的值;
21.(8分)定义一种新运算,观察下列各式并完成问题:
,,,
(1)想一想: _________;
(2)若,那么______(填“=”或“≠”);
(3)计算和,并判断它们是否相等.
22.(8分)如图1,将一个边长为厘米的正方形纸片剪去两个完全相同的小长方形,得到图案,如图2所示,再将剪下的两个小长方形拼成一个新的长方形,如图3所示
(1)图3中新的长方形的长为__________厘米,宽__________厘米;
(2)求图3中新的长方形的周长.
(3)如果正方形纸片的边长为8厘米,剪去的小矩形的宽为1厘米,求图2的周长
23.(8分)将一张等边三角形纸片剪成四个大小、形状一样的小等边三角形(如图所示),记为第一次操作,然后将其中右下角的等边三角形又按同样的方法剪成四小片,记为第二次操作,若每次都把右下角的等边三角形按此方法剪成四小片,如此循环进行下去.
(1)如果剪n次共能得到______个等边三角形.
(2)若原等边三角形的边长为1,设表示第n次所剪出的小等边三角形的边长,如.
①试用含的式子表示______;
②计算______;
24.(10分)阅读理解:若、、为数轴上三点,若点到点的距离是点到点的距离3倍,我们就称点是【,】的金点.例如,如图1,点表示的数为,点表示的数为3.表示数2的点到点的距离是3,到点的距离是1,那么点是【,】的金点,但点不是【,】的金点.
(1)如图1,点 【,】的金点(填“是”或“不是” ;点是【 , 】的金点.
(2)如图1,若点是【,】的金点,则点在数轴上表示的数是多少?
(3)如图2,、为数轴上两点,点所表示的数为,点所表示的数为20.现有一点从点出发,向左运动,若点运动到点停止,点在数轴上某处时,此时点、和中恰有一个点为其余两点的金点,则点表示的数是多少?(直接写出答案)
.
参考答案
一、选择题(本大题有8小题,每小题3分,共24分。每小题只有一个选项符合题意)
1.B 2.C 3.A 4.A 5.C
6.B 7.C 8.D
二、填空题(本大题有8小题,每小题3分,共24分)
9. 分 10. 11. 12.
13. 14. 15.2或或0 16.(3n+1)
三、解答题(本大题共9小题,共72分,解答时应写出文字说明或演算步骤。)
17.【小问1详解】
解:
.
【小问2详解】
解:
.
【小问3详解】
解:
.
小问4详解】
解:
.
18:(1)
(2);
19.【小问1详解】
解: 260﹣50+90﹣20+80﹣25+105=440(米).
500﹣440=60(米).
∴这次登山王叔叔没有登上顶峰,最终矩顶峰还有60米.
【小问2详解】
解:|+260|+|﹣50|+|+90|+|﹣20|+|+80|+|﹣25|+|+105|=630(米),
630×8=5040(千卡).
所以王叔叔这次登山过程中共消耗5040千卡的能量.
20.解:(1)∵3(a﹣b)2﹣6(a﹣b)2+2(a﹣b)2=(3﹣6+2)(a﹣b)2=﹣(a﹣b)2;
故答案为:﹣(a﹣b)2;
(2)∵x2﹣2y=4,
∴原式=3(x2﹣2y)﹣21=12﹣21=﹣9;
21.【小问1详解】
解:观察各式可得:;
故答案为:;
【小问2详解】
解:
∵
∴
故答案为:;
【小问3详解】
解:,
即:
,
即:
故和不相等.
22.【小问1详解】
解:新的矩形的长为厘米,宽为厘米,
故答案为:,;
【小问2详解】
根据题意,得:
新的矩形的周长为:厘米.
【小问3详解】
根据题意,可知
,,得.
∴图2的周长为:厘米.
23.【小问1详解】
解:由题意可知:
剪1次共得到的等边三角形个数为:;
剪2次共得到的等边三角形个数为:;
剪3次共得到的等边三角形个数为:;
…,
所以剪n次共得到的等边三角形个数为个.
故答案为:.
【小问2详解】
解:①因为原等边三角形的边长为1,
所以第1次所剪出的小等边三角形的边长为:;
第2次所剪出的小等边三角形的边长为:;
第3次所剪出的小等边三角形的边长为:;
…,
所以第n次所剪出的小等边三角形的边长为:,即,
故答案为:;
②由①题可知:
;
令①,
则②,
②-①得: ,
即.
故答案为:
24.【小问1详解】
解:点到点的距离是3,点到点的距离是1,符合金点的定义,
故点是【,】的金点;
点到点的距离是3,点到点的距离是1,
点是【,】的金点.
故答案为:是,【,】;
【小问2详解】
点是【,】的金点,则点在数轴上表示的数是.
分两种情况进行讨论:
当点在,之间时,方程为:,
解得:.
当点在点右侧时,方程为:,
解得:;
【小问3详解】
点在数轴上表示的数是.分四种情况进行讨论:
当点是【,】的金点时:方程为:,
解得:.
当点是【,】的金点时:方程为:,
解得:.
当点是【,】的金点时:方程为:,
解得:.
当点是【,】的金点时:方程为:,
解得:.
相关试卷
这是一份冀教版(2024年新教材)七年级上册数学期中学业质量评价测试卷(含答案),共8页。试卷主要包含了选择题,填空题,解答题等内容,欢迎下载使用。
这是一份冀教版(2024年新教材)七年级上册数学期末学业质量评价测试卷(含答案),共9页。试卷主要包含了选择题,填空题,解答题等内容,欢迎下载使用。
这是一份初中数学冀教版(2024)七年级上册第一章 有理数精练,共6页。试卷主要包含了选择题,填空题,解答题等内容,欢迎下载使用。

