资料中包含下列文件,点击文件名可预览资料内容
还剩4页未读,
继续阅读
所属成套资源:备战2025年高考数学必刷100讲+中挡板全专题精讲+练习(全国通用)
成套系列资料,整套一键下载
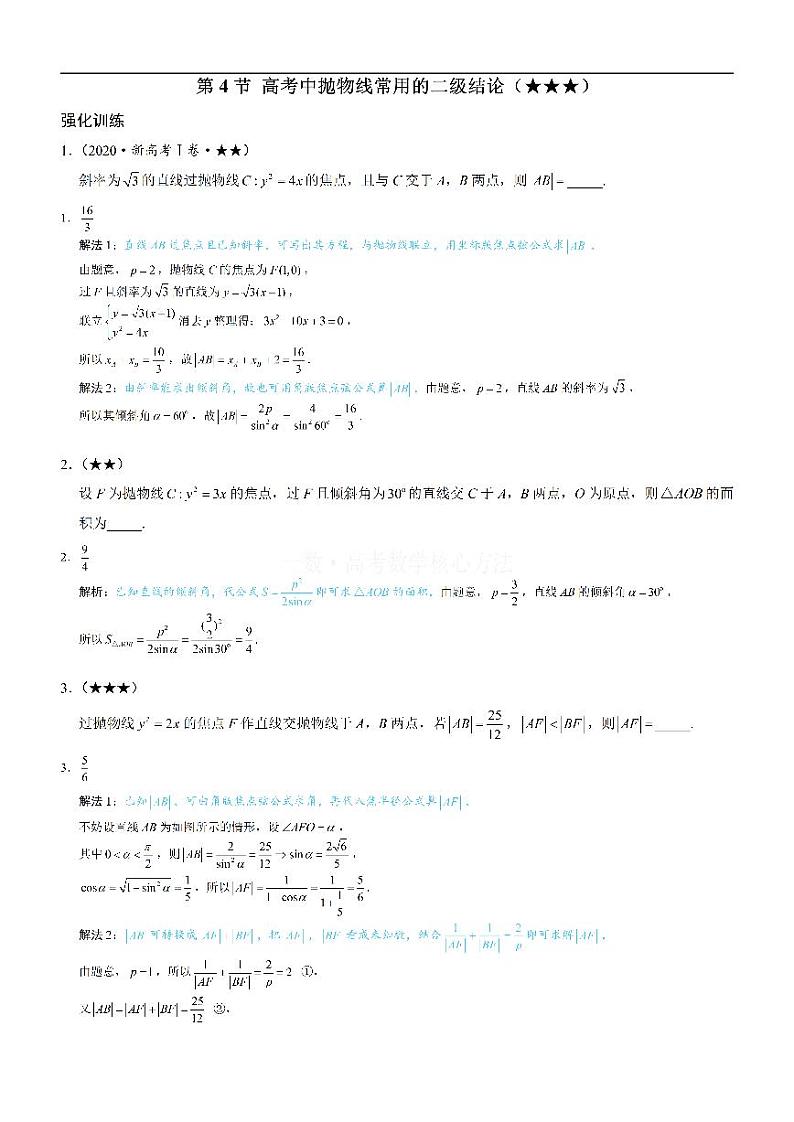
第4节 高考中抛物线常用的二级结论-高考数学第10章 解析几何-模块5 抛物线与方程专题
展开
这是一份第4节 高考中抛物线常用的二级结论-高考数学第10章 解析几何-模块5 抛物线与方程专题,文件包含第4节高考中抛物线常用的二级结论方法册+练习册pdf、第4节高考中抛物线常用的二级结论练习册答案+解析pdf等2份试卷配套教学资源,其中试卷共11页, 欢迎下载使用。
相关试卷
第4节 高考中椭圆常用的二级结论-高考数学第10章 解析几何-模块3 椭圆与方程专题:
这是一份第4节 高考中椭圆常用的二级结论-高考数学第10章 解析几何-模块3 椭圆与方程专题,文件包含第4节高考中椭圆常用的二级结论方法册+练习册pdf、第4节高考中椭圆常用的二级结论练习册答案+解析pdf等2份试卷配套教学资源,其中试卷共12页, 欢迎下载使用。
高考数学微专题集专题21抛物线的焦点弦微点2抛物线的焦点弦常用结论及其应用综合训练(原卷版+解析):
这是一份高考数学微专题集专题21抛物线的焦点弦微点2抛物线的焦点弦常用结论及其应用综合训练(原卷版+解析),共30页。试卷主要包含了单选题,多选题,填空题,解答题等内容,欢迎下载使用。
高考数学微专题集专题21抛物线的焦点弦微点1抛物线的焦点弦常用结论及其应用(原卷版+解析):
这是一份高考数学微专题集专题21抛物线的焦点弦微点1抛物线的焦点弦常用结论及其应用(原卷版+解析),共42页。

