专题21 抛物线的焦点弦 微点1 抛物线的焦点弦常用结论试题及答案
展开
这是一份专题21 抛物线的焦点弦 微点1 抛物线的焦点弦常用结论试题及答案,共32页。学案主要包含了微点综述,强化训练等内容,欢迎下载使用。
专题21 抛物线的焦点弦 微点1 抛物线的焦点弦常用结论及其应用
专题21 抛物线的焦点弦
微点1 抛物线的焦点弦常用结论及其应用
【微点综述】
在抛物线与直线的关系中,过抛物线焦点的直线与抛物线的关系尤为重要,这是因为在这一关系中具有一些很有用的性质,这些性质常常是高考命题的切入点.本文对此作一些介绍.
一、常用结论
不妨设抛物线方程为,如图1,准线与轴相交于点,过焦点的直线与抛物线相交于两点,为原点,为与对称轴正向所成的角,的中点为,又作,垂足分别为,则有如下结论(1)~(9):
(1).
(2)焦半径长公式:(坐标式);夹角式:(在轴上方,在轴下方).
(3)焦点弦长公式:.
(4)通径长公式:(通径最短).
(5)AF,BF的数量关系:.
(6)三角形AOB的面积:.
(7)中点弦斜率:若斜率为,,则.
(8)直线的斜率之和为零,即.
(9)焦点弦与圆有关的结论,如图2,
①以为直径的圆与准线相切;
②以为直径的圆与轴相切;
③以为直径的圆与轴相切;
④分别以为直径的圆之间的关系:圆与圆外切;圆与圆既与轴相切,又与圆相内切.
(10)由焦点弦得出有关直线垂直关系的结论,如图3,
①以为直径的圆的圆心在准线上的射影与两点的连线互相垂直,即;
②以为直径的圆的圆心在轴上的射影与两点的连线互相垂直,即;
③以为直径的圆的圆心在轴上的射影与两点的连线互相垂直,即;
④以为直径的圆必过原点,即;
⑤.
(11)点三点共线;点三点共线.
(12)如图4,点A,B是抛物线,O为原点,若,则直线AB过定点.
图4
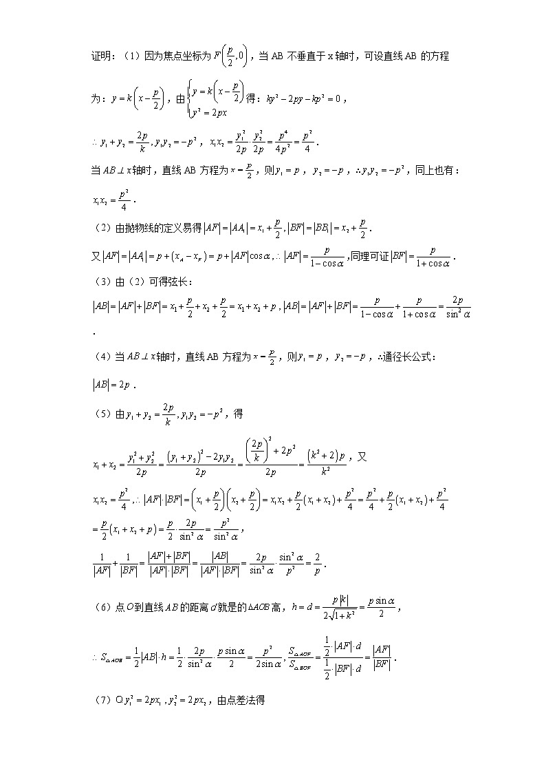
证明:(1)因为焦点坐标为,当AB不垂直于x轴时,可设直线AB的方程为:,由得:,,.
当轴时,直线AB方程为,则,,∴,同上也有:.
(2)由抛物线的定义易得.
又,同理可证.
(3)由(2)可得弦长:
.
(4)当轴时,直线AB方程为,则,,∴通径长公式:.
(5)由,得,又
,
.
(6)点到直线的距离就是的高,,
.
(7),由点差法得.
(8),,
,
分子,
直线的斜率之和为零:,即.
(9)①如图2,过点作于,则是梯形的中位线,由抛物线的定义知
,
即以为直径的圆与准线相切,同理可证②,③.
④分别以为直径的圆有以下关系:圆与圆外切;圆与圆既与轴相切,又与圆相内切.
(10)①准线与圆相切,圆的圆心在准线上的射影就是切点,
直径所对的圆周角是直角,.同理可证②,③:.
④由抛物线的定义知,////,
,而,即.
⑤易知,又.
(11)由(1)知.
点三点共线.同理可证:点三点共线.
(12).设,则
,直线方程为,
即,直线AB过定点.
二、应用举例
例1.(2022太原一模)
1.已知抛物线的焦点为,过焦点的直线交抛物线于两点,为坐标原点,若6,则的面积为
A. B. C. D.4
例2.(2022晋中二模)
2.已知抛物线的焦点为,过焦点的直线交抛物线于两点,坐标原点,若的面积为,则
A. B. C. D.
3.过抛物线(>0)的焦点F作一直线交抛物线于P、Q两点,若线段PF与FQ的长分别为p、q,则等于
A.2 B. C. D.
4.直线过抛物线的焦点F且交抛物线于A,B两点,A在x轴上方,若,求.
5.直线过抛物线的焦点F且交抛物线于A,B两点,A在x轴上方,直线倾斜角为,求.
6.若抛物线,过焦点F作倾斜角为的直线与抛物线交于A,B,求.
7.直线过抛物线的焦点F且交抛物线于A,B两点,若,求.
8.若抛物线,过焦点F作两条互相垂直的直线分别于抛物线交于A,B和C,D,求.
9.若抛物线,过焦点F作直线与抛物线交于A,B,若,求直线l方程.
10.若抛物线,过焦点F且倾斜角为的直线交抛物线于A,B两点,求.
11.斜率为k的直线过抛物线的焦点且与抛物线交于A,B两点,O为原点,M为AB中点,且,求k.
【强化训练】
(2022·云南玉溪·高二期末)
12.直线与抛物线交于,两点,则( )
A. B. C. D.
13.过抛物线的焦点F的直线与其交于A,B两点,,如果,那么( )
A. B. C. D.
14.过抛物线的焦点作两条互相垂直的弦AB、CD,则( )
A.2 B.4 C. D.
15.设抛物线的焦点为 ,点在 上,,若以 为直径的圆过点(0,2),则的方程为
A.或
B.或
C.或
D.或
(2022·黑龙江·哈尔滨三中模拟预测)
16.已知直线l过抛物线的焦点,并且与抛物线C交于不同的两点A、B,若为线段的中点,则的值为( )
A.4 B.5 C.6 D.8
(2022·广东佛山·模拟预测)
17.已知抛物线C:的焦点为F,过焦点且斜率为的直线l与抛物线C交于A,B(A在B的上方)两点,若,则的值为( )
A. B. C.2 D.
18.已知抛物线,点,是曲线W上两点,若,则的最大值为( )
A.10 B.14 C.12 D.16
(2022·江苏·南京市第一中学高三开学考试)
19.已知以F为焦点的抛物线上的两点A,B,满足,则弦AB的中点到C的准线的距离的最大值是( )
A.2 B. C. D.4
(2022全国·高二月考)
20.已知抛物线C∶,过抛物线焦点的直线交抛物线于A,B两点,若直线AO,BO分别交直线y=x-2于E,F两点,则|EF|的最小值( )
A. B.
C. D.
(2022·辽宁实验中学模拟预测)
21.已知抛物线的焦点为F,过F的直线交抛物线于A,B两点,准线为l,过点A作,垂足为,的角平分线交l于点M,过B作抛物线的切线交l于点N,则_________.
(2022·青海·海东市第一中学模拟预测)
22.已知抛物线C:(p>0)的焦点为F,过点F且斜率为1的直线与抛物线C相交于A,B两点,与抛物线C的准线交于点E,若,则p=________.
(2022·江苏南通·高二期末)
23.直线过抛物线的焦点为,且与抛物线交于、两点,则的最小值为_______.
(2022·四川省内江市第六中学高二月考)
24.如图,已知抛物线的顶点在坐标原点,焦点在x轴上,且过点,圆,过圆心的直线l与抛物线和圆依次交于P,M,N,Q,则的最小值为___________.
(2022·广东广州·高二期末)
25.已知抛物线的焦点F到准线的距离为2,过点F的直线l与抛物线C交于,两点,若,则线段的长度为__________.
(2022·全国·高二月考)
26.已知抛物线:的焦点为点在抛物线上,且三点共线;点在准线上, 则 __.
27.已知抛物线,直线l经过抛物线C的焦点,且垂直于抛物线C的对称轴,直线l与抛物线C交于M,N两点,且.
(1)求抛物线C的方程;
(2)已知点,直线与抛物线C相交于不同的两点A,B,设直线PA与直线PB的斜率分别为和,求证:为定值.
(2022·湖南衡阳·三模)
28.已知抛物线:的焦点是,若过焦点的直线与相交于,两点,所得弦长的最小值为2.
(1)求实数的值;
(2)设,是抛物线上不同于坐标原点的两个不同的动点,且以线段为直径的圆经过点,作,为垂足,试探究是否存在定点,使得为定值,若存在,则求出该定点的坐标及定值,若不存在,请说明理由.
(2022·河北秦皇岛·三模)
29.已知抛物线上的点与焦点的距离为9,点到轴的距离为.
(1)求抛物线的方程.
(2)经过点的直线与抛物线交于两点,为直线上任意一点,证明:直线的斜率成等差数列.
(2022·浙江省杭州学军中学模拟预测)
30.如图,在平面直角坐标系中,已知抛物线的焦点为F,准线为l,过点F且斜率大于0的直线交抛物线C于A,B两点,过线段的中点M且与x轴平行的直线依次交直线,,l于点P,Q,N.
(1)求证:;
(2)若线段上的任意一点均在以点Q为圆心、线段长为半径的圆内或圆上,若,求实数的取值范围;
(2022·江苏·扬州中学模拟预测)
31.已知抛物线H:的焦点为F,抛物线H上的一点M的横坐标为5,O为坐标原点..
(1)求抛物线H的方程;
(2)若一直线经过抛物线H的焦点F,与抛物线H交于A,B两点,点C为直线上的动点,求证:.
(2022·江西·上饶市第一中学模拟预测)
32.已知抛物线的焦点为F,过焦点F斜率为的直线交抛物线于A、B两点(点A在第一象限),交抛物线准线于G,且满足.
(1)求抛物线的标准方程;
(2)已知C,D为抛物线上的动点,且,求证直线CD过定点P,并求出P点坐标;
(3)在(2)的条件下,求的最大值.
(2022·江苏南京·模拟预测)
33.已知圆:,动圆与圆内切,且与定直线相切,设动点的轨迹为.
(1)求的方程;
(2)若直线过点,且与交于,两点,与轴交于点,满足,(,),试探究与的关系.
参考答案:
1.A
【详解】解:设直线 的方程为: ,
与抛物线方程联立可得: ,
则: ,
由弦长公式可得: ,
三角形的面积为: .
本题选择A选项.
2.A
【详解】抛物线 的焦点 坐标为 ,过焦点的直线设为 ,设 ,联立 有 ,所以有 ,由 ,所以有 , ,
故选A.
3.C
【分析】设PQ直线方程是则x1,x2是方程的两根,借助韦达定理即可得到的值.
【详解】抛物线转化成标准方程:,
焦点坐标,准线方程为,
设过的直线方程为,
,整理得.
设,,,
由韦达定理可知:,,
,
,
根据抛物线性质可知,,,
,
的值为,
故选:C.
【点睛】涉及直线与圆锥曲线相交时,未给出直线时需要自己根据题目条件设直线方程,要特别注意直线斜率是否存在的问题,避免不分类讨论造成遗漏,然后要联立方程组,得一元二次方程,利用根与系数关系写出,再根据具体问题应用上式,其中要注意判别式条件的约束作用.
4.
【分析】根据抛物线的焦点弦性质计算.
【详解】由对称性,不妨设的倾斜角为锐角,,
由结论2可得:.
5.
【分析】由焦点弦的性质求得,
【详解】由题意.
6.12
【分析】由抛物线的焦点弦长公式(是焦点弦所在直线倾斜角)计算.
【详解】.
7.
【分析】根据抛物线的焦点弦长公式(为焦点弦所在直线的倾斜角,由对称性,设为锐角)求出弦所在直线的倾斜角的正弦,再由焦半径公式较短的,较长的计算.
【详解】设倾斜角为,且为锐角,则
.
8.16
【分析】设出直线的倾斜角为,根据抛物线焦点弦的结论得到与,利用三角函数的恒等变换及有界性求出最小值.
【详解】设直线的倾斜角为,则,,
所以,
当或时,,
9.或.
【分析】由焦点弦性质求得直线的倾斜角的余弦值,从而得直线斜率,得直线方程.
【详解】先设直线AB倾斜角为锐角,
.
由对称性直线方程还可以为,
综上,直线的方程为或.
10.
【分析】求出直线的方程,与抛物线联立后得到两根之和,两根之积,利用弦长公式求出,利用点到直线距离公式求出原点到直线的距离,从而求出三角形的面积.
【详解】由题意得:,直线的斜率为,
故直线的方程为,
将联立得:,
设,
则,
则,
点到直线的距离为,
所以
11..
【分析】由焦点弦的性质求解.
【详解】设,设,,,
,又,,
所以,由对称性,也适合.
综上,.
12.D
【分析】焦点弦长度等于.
【详解】抛物线的焦点为在直线上,故是抛物线的焦点弦,则
由得:,
所以,,
所以,
故选:D.
13.B
【分析】设,根据,利用抛物线定义求得点A的坐标,进而得到直线AF的方程,求得点B的坐标,再利用抛物线定义求解.
【详解】解:抛物线的焦点,准线方程为,
设,则,故,此时,
即,则直线AF的方程为,即,
代入得,解得(舍)或,
则,
故选:B.
14.D
【分析】根据抛物线的焦点弦长公式计算.
【详解】抛物线,可知,
设直线的倾斜角为,则的倾斜角为,显然,
过焦点的弦,,
∴,
故选:D.
15.C
【详解】∵抛物线 方程为,∴焦点,
设,由抛物线性质,可得,
因为圆心是的中点,所以根据中点坐标公式可得,圆心横坐标为,
由已知圆半径也为,据此可知该圆与y轴相切于点(0,2),故圆心纵坐标为2,则M点纵坐标为4,
即,代入抛物线方程得,所以p=2或p=8.
所以抛物线C的方程为或.
故答案C.
【点睛】本题主要考查了抛物线的定义与简单几何性质,圆的性质和解直角三角形等知识,属于中档题,本题给出抛物线一条长度为的焦半径,以为直径的圆交抛物线于点,故将圆心的坐标表示出来,半径求出来之后再代入到抛物线中即可求出的值,从而求出抛物线的方程,因此正确运用圆的性质和抛物线的简单几何性质是解题的关键.
16.C
【分析】先求出抛物线的准线方程,分别过作准线的垂线,垂足分别为,由抛物线的定义可得出答案.
【详解】抛物线的准线方程为:
分别过作准线的垂线,垂足分别为
则点到准线的距离为
根据抛物线的定义可得,且
所以
故选:C
17.C
【分析】设直线l的倾斜角为,求得.过A作准线于,过B作准线于,过B作于.由抛物线定义求出和.
在直角三角形ABC中,利用余弦的定义表示出,即可解得.
【详解】设直线l的倾斜角为,根据条件可得,则可得.
过A作准线于,过B作准线于,过B作于.
由抛物线定义可得:.
因为,所以.
而.
在直角三角形ABC中,,解得:.
故选:C
18.C
【分析】确定抛物线的准线方程,由抛物线定义可得,结合条件可得,结合抛物线的几何性质可得当且仅当A,F,B三点共线时,即可得答案.
【详解】设抛物线的焦点为F,则,焦准距,准线方程为,
根据抛物线的定义得,.
又,所以.
因为,当且仅当A,F,B三点共线时等号成立,即,
所以的最大值为12,
故选:C
19.B
【分析】根据抛物线焦点弦的性质以及,联立可得,进而可用对勾函数的性质求的最值,进而可求.
【详解】解法1:抛物线的焦点坐标为,准线方程为,
设,,则∵,由抛物线定义可知,∴,又因为,所以即,由①②可得:
所以.∵,
当时,,当时,,
∴,则弦AB的中点到C的准线的距离,d最大值是.
∴弦AB的中点到C的准线的距离的最大值是,
故选:B.
解法2:弦AB的中点到C的准线的距离,根据结论,,,
故选:B.
20.D
【分析】设AB的方程为y=kx+1代入,得x2-4kx-4=0,设,得出根与系数的关系,再得出直线OA的方程为,与联立求得点E、F的坐标,表示出线段EF,运用函数的性质可求得最小值得选项.
【详解】由抛物线C∶,得焦点为,设AB的方程为y=kx+1代入,得x2-4kx-4=0,设,
所以,,,,
直线OA的方程为,联立;
同理可得,,所以,
令,则,所以,
当时,,
当时,,当,即时,取等号,
所以|EF|的最小值为,
故选:D.
【点睛】方法点睛:(1)解答直线与抛物线的题目时,时常把两个曲线的方程联立,消去 (或)建立一元二次方程,然后借助根与系数的关系,并结合题设条件建立有关参变量的等量关系;(2)涉及到直线方程的设法时,务必考虑全面,不要忽略直线斜率为或不存在等特殊情形.有时若直线过x轴上的一点,可将直线设成横截式.
21.0
【分析】设,求出的角平分线方程,得到;求出在处的切线方程为: ,得到.由,整理得M、N重合.即可求得.
【详解】抛物线的焦点为,准线为l:.
因为过F的直线交抛物线于A,B两点,所以可设直线AB:.
设,则,消去x得:.
所以.
不妨设,则.
因为过点A作,垂足为,所以,
设的中点为E,则,所以,所以直线AE: .
令,解得:,所以.
对于点,因为,由可得:,所以.
所以在处的切线的斜率为,切线方程为:,即.
令,解得:,所以.
因为,所以所以,即
所以M、N重合.
所以0.
故答案为:0.
22.2
【分析】过点F且斜率为1的直线方程为,联立抛物线C的方程,求出,,由,即可求出的值.
【详解】过点F且斜率为1的直线方程为,
联立抛物线C的方程,得,
所以,
又因为令中,则,又因为,
所以,又因为,所以,解得p=2.
故答案为:2.
23.##
【分析】推导出抛物线的焦半径的性质,再利用基本不等式可求得的最小值.
【详解】易知,可得,所以,抛物线的方程为.
若直线与轴重合时,则该直线与抛物线只有一个交点,不合乎题意.
所以,直线的斜率存在,设直线的方程为,
联立可得,即,,
由韦达定理可得,.
所以,
,
所以,,则
,
当且仅当时,等号成立,故的最小值为.
故答案为:.
24.
【分析】设抛物线的标准方程,将点代入抛物线方程,求得抛物线方程,由抛物线的焦点弦性质,求得,根据抛物线的性质及基本不等式,即可求得答案.
【详解】解:设抛物线的方程:,焦点为F,则,则,
∴抛物线的标准方程:,焦点坐标,准线方程为,
圆的圆心为,半径为1,
由直线PQ过圆的圆心即抛物线的焦点,可设直线l的方程为:,
设P、Q坐标分别为和,
由联立,得,恒成立,
由韦达定理得:,,
∴,,
∴,
则
.
当且仅当时等号成立,
故答案为:
25.8
【分析】确定,设直线方程并和抛物线方程联立,求得,进而求出,根据抛物线的弦长公式求得答案.
【详解】由题意知,故,其焦点为,
设直线l的方程为 ,联立,得: ,
,由于,,
则,而,
故 ,
故的长为,
故答案为:8
26.
【分析】作辅助线,由可知,由三角形相似结合抛物线定义可求得,从而推得 ,从而由求得答案.
【详解】如图,设抛物线准线交x轴与点K,
分别过作垂直于抛物线的准线于
由,得 ,
由抛物线定义可知
由 得
则,
,
故答案为:.
27.(1)
(2)证明见解析
【分析】(1)将用表示,得出的值,进而得抛物线方程;
(2)联立直线与抛物线的方程,根据斜率计算公式结合韦达定理即可得结果.
(1)
由题意可得,得,
∴抛物线.
(2)
证明:,联立,得.
由,得或,
设,,则,,
∴
.
28.(1)
(2)存在,定点为,为定值1
【分析】(1)根据抛物线和过焦点的直线联立方程,根据焦点弦的计算,即可求解.
(2)联立方程,得到根与系数的关系,根据以线段为直径的圆经过点,转化成,可得直线过定点,再由,根据直角三角形的特征即可找到的位置,即可求解.
(1)
抛物线:化为标准方程为:,其焦点,因为斜率一定存在,设其方程为,
联立方程得:,整理得:,恒成立.
其中,,,,
因为焦点弦长,所以当时,弦长.
所以,实数的值为.
(2)
由题意可知直线的斜率存在,设其方程为.
联立方程得:,整理得:,.
其中,,,,
因为以为直径的圆经过点,所以.
又因为,
∵,∴.
所以直线过定点,
又因为,所以为直角三角形,
所以当为斜边中点时,为定值,
此时.
所以定点为,为定值1.
29.(1);
(2)证明见解析.
【分析】(1)由条件结合抛物线的定义列方程求即可;(2)联立方程组,利用设而不求的方法证明即可.
【详解】(1)设点,由题意可知,
所以,解得.
因为,所以.
所以抛物线的方程为.
(2)设直线的方程为,
联立方程组消去得,
所以.
设,则
,
又因为,
所以,即直线的斜率成等差数列.
【点睛】解决直线与抛物线的综合问题的一般方法为设而不求法,要证明直线的斜率成等差数列只需证明即可.
30.(1)证明见解析
(2)
【分析】(1)设,即可表示、的坐标,再由直线的方程,得到点坐标,同理可得点坐标,从而得证;
(2)依题意可得,即可求出、,再根据三角形面积求出的取值范围;
(1)
解:设,
则,
由于A,F,B三点共线,则,整理得,
又,
则,同理可得
则,
,所以,即证;
(2)
解:若线段上的任意一点均在以点Q为圆心、线段长为半径的圆内或圆上,
即,则,
化简得,,
即
可得,又因为,
,
可得,,,
,,即
31.(1);
(2)证明见解析.
【分析】(1)根据点在抛物线上的性质,结合锐角三角函数定义进行求解即可;
(2)将直线方程与抛物线方程联立,根据一元二次方程根与系数关系,结合平面向量夹角公式进行计算证明即可.
(1)
因为抛物线的方程为,M抛物线上且的横坐标为5,
所以M的纵坐标为,
当点的坐标为时,过点作,垂足为,
因为,所以,所以
又,所以,
所以,所以,又
所以,同理当点的坐标为时,所以抛物线的方程为;
(2)
设直线AB:,,,,
由,得,
则,,,.
,
,
所以,所以.
【点睛】关键点睛:利用平面向量夹角公式是解题的关键.
32.(1)
(2)证明见解析;P点坐标为(4,0)
(3)
【分析】(1)过点B作准线的垂线,垂足为H,设准线与x轴相交于点M,由直线的斜率得出倾斜角,利用三角函数及抛物线的定义求出即可得解;
(2)设直线CD的方程为:,,,联立方程组,由根与系数的关系求出,再由建立斜率的方程即可得解;
(3)由向量的数量积坐标运算化简,利用二次函数求最值.
(1)
过点B作准线的垂线,垂足为H,设准线与x轴相交于点M,如图,
由题知,直线l的倾斜角为.∴在中,,
又∵,∴,∴.
∴,∴在中,又,
∴,∴,∴抛物线的标准方程为.
(2)
由(1)可知,抛物线方程为,
设直线CD的方程为:,,,
直线与抛物线联立:,得:,
则,,
∵,且,∴则,
∴直线CD过定点(4,0),即P点坐标为(4,0),
(3)
由(2)可知P点坐标为(4,0),
∴,
∴的最大值为.
33.(1)
(2)
【分析】(1)根据直线与圆的位置关系可得,根据圆与圆的位置关系可得,列出方程,解之即可;
(2)设直线的方程为、、,法一:由平面共线向量的坐标表示和定点分比公式可得、,列出方程,解之即可;法二:联立抛物线方程,利用韦达定理和平面共线向量的坐标表示,化简计算可得、,证明即可.
【详解】(1)设,圆的半径为,由题可知,点在直线右侧,
因为圆与定直线相切,所以.
又圆与圆内切,所以,
所以,化简得,即的方程为.
(2)解法一:由(1)得,设直线的方程为,,,
则,因为,由定点分比公式可知,
因为点A在上,所以,即,所以.
同理,由,可得,
所以,,即,,
因为点在上,所以,即,所以.
由,得,
因为,,所以,即.
解法二:设直线的方程为,,,则.
由,整理得,
由韦达定理可知,.
因为,即,所以.
由,可得,所以.
所以,
即.
相关学案
这是一份专题16 圆锥曲线焦点弦 微点4 圆锥曲线焦点弦综合问题的解法,共31页。学案主要包含了微点综述,强化训练等内容,欢迎下载使用。
这是一份专题16 圆锥曲线焦点弦 微点3 圆锥曲线焦点弦长公式及其应用,共26页。学案主要包含了微点综述,强化训练等内容,欢迎下载使用。
这是一份专题16 圆锥曲线焦点弦 微点1 圆锥曲线焦点弦三角形周长,共24页。学案主要包含了微点综述,强化训练等内容,欢迎下载使用。

