







2025版高考数学全程一轮复习第四章三角函数与解三角形第四节简单的三角恒等变换课件
展开
这是一份2025版高考数学全程一轮复习第四章三角函数与解三角形第四节简单的三角恒等变换课件,共32页。PPT课件主要包含了答案B,答案D,答案C,答案A等内容,欢迎下载使用。
1.会根据相关公式进行化简求值.2.会利用三角函数式的化简与求值解决一些简单的问题.
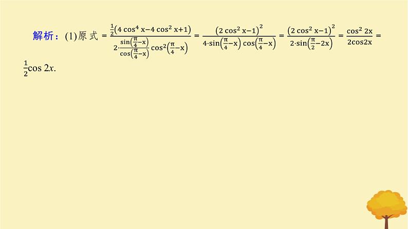
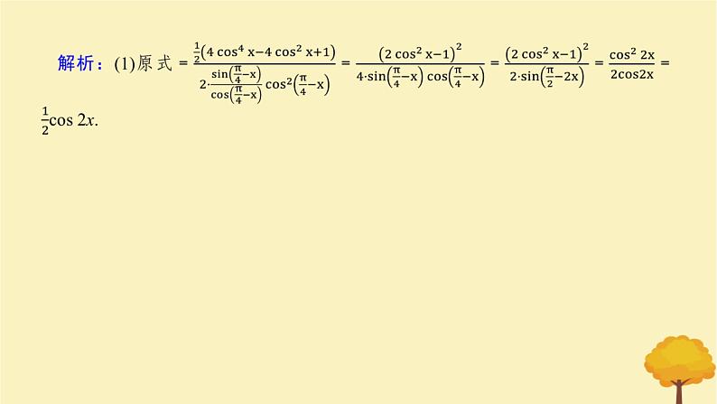
题后师说三角函数式的化简要遵循“三看”原则
(2)计算sin 10°·sin 30°·sin 50°·sin 70°=________.
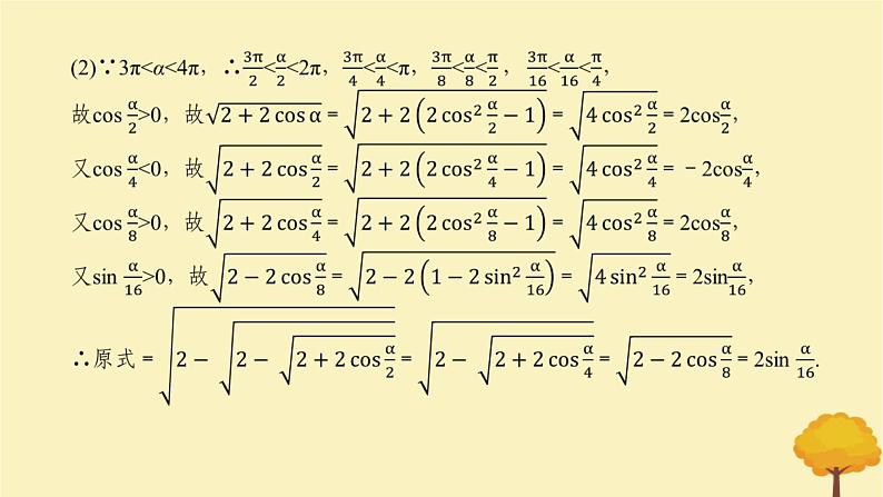
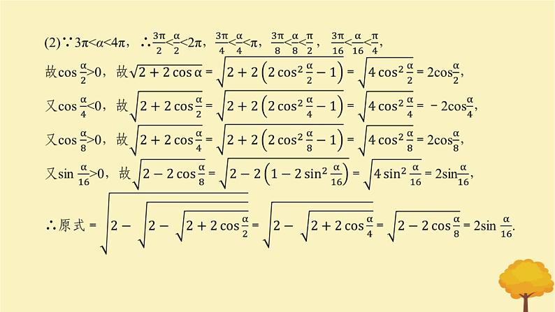
题后师说观察所给角与特殊角之间的关系,利用和、差、倍角公式等非特殊角的三角函数值转化为:(1)特殊角的三角函数值;(2)正、负相消的项和特殊角的三角函数值;(3)可约分的项和特殊角的三角函数值等.
题后师说三角恒等变换的综合应用主要是将三角变换与三角函数的性质相结合,通过变换把函数化为f(x)=A sin (ωx+φ)+b的形式,再研究其性质,解题时注意观察角、函数名、结构等特征,注意利用整体思想解决相关问题.
相关课件
这是一份2025版高考数学全程一轮复习第四章三角函数与解三角形第二节同角三角函数的基本关系式及诱导公式课件,共38页。PPT课件主要包含了课前自主预习案,课堂互动探究案,sinα,cosα,tanα,-sinα,-tanα,-cosα,答案C,答案3等内容,欢迎下载使用。
这是一份2025版高考数学全程一轮复习第四章三角函数与解三角形第八节正弦余弦定理应用举例课件,共38页。PPT课件主要包含了课前自主预习案,课堂互动探究案,答案B,答案A,答案C等内容,欢迎下载使用。
这是一份2024届高考数学一轮复习(新教材人教A版强基版)第四章三角函数与解三角形4.4简单的三角恒等变换课件,共60页。PPT课件主要包含了落实主干知识,探究核心题型,课时精练,cos2α-1,-2sin2α,-cosθ,命题点2给值求值,命题点3给值求角,化简并求值等内容,欢迎下载使用。