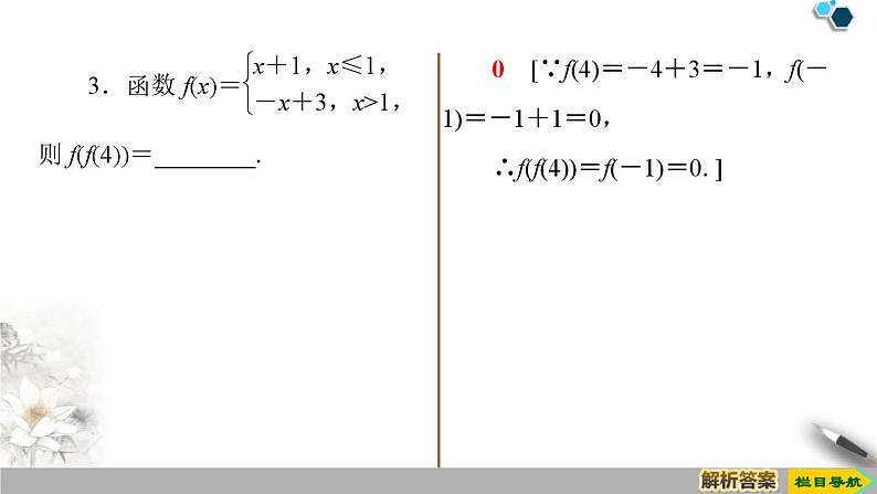
还剩27页未读,
继续阅读
高中3.1 函数的概念及其表示授课课件ppt
展开
这是一份高中3.1 函数的概念及其表示授课课件ppt,共35页。
第三章 函数的概念与性质3.1 函数的概念及其表示第二课时 分段函数2345678910111213141516171819202122232425262728293031323334Thank you for watching !
相关课件
人教A版 (2019)必修 第一册3.1 函数的概念及其表示课文内容课件ppt:
这是一份人教A版 (2019)必修 第一册3.1 函数的概念及其表示课文内容课件ppt,共38页。
高中数学人教B版 (2019)必修 第一册3.1.1 函数及其表示方法评课课件ppt:
这是一份高中数学人教B版 (2019)必修 第一册3.1.1 函数及其表示方法评课课件ppt,共39页。PPT课件主要包含了第3课时分段函数,y2x2-x+1,-12,-11,-∞-3,求分段函数的解析式,完成课后相关练习等内容,欢迎下载使用。
高中人教A版 (2019)3.2 函数的基本性质教学演示ppt课件:
这是一份高中人教A版 (2019)3.2 函数的基本性质教学演示ppt课件,共35页。

