还剩28页未读,
继续阅读
所属成套资源:人教版高中数学必修第一册习题课件(含答案)
成套系列资料,整套一键下载
高中数学3.1 函数的概念及其表示教课内容课件ppt
展开
这是一份高中数学3.1 函数的概念及其表示教课内容课件ppt,共36页。PPT课件主要包含了点击右图进入等内容,欢迎下载使用。
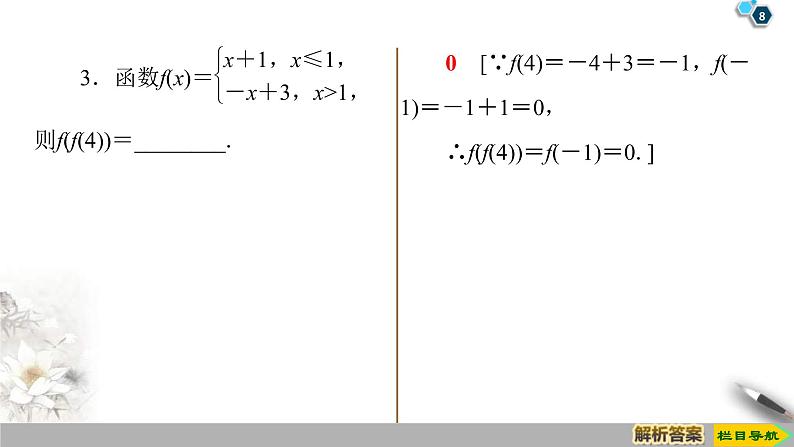
第三章 函数的概念与性质3.1 函数的概念及其表示3.1.2 函数的表示法第2课时 分段函数12345678910111213141516171819202122232425262728293031323334点击右图进入…35Thank you for watching !36
相关课件
数学必修 第一册3.1 函数的概念及其表示教学演示课件ppt:
这是一份数学必修 第一册3.1 函数的概念及其表示教学演示课件ppt,共35页。
高中数学人教A版 (2019)必修 第一册第三章 函数概念与性质3.1 函数的概念及其表示评课ppt课件:
这是一份高中数学人教A版 (2019)必修 第一册第三章 函数概念与性质3.1 函数的概念及其表示评课ppt课件,共20页。PPT课件主要包含了目标认知,知识点分段函数,图3-1-5等内容,欢迎下载使用。
高中数学人教A版 (2019)必修 第一册3.1 函数的概念及其表示教案配套ppt课件:
这是一份高中数学人教A版 (2019)必修 第一册3.1 函数的概念及其表示教案配套ppt课件,共31页。PPT课件主要包含了不同的对应关系,分段函数,答案-2-1等内容,欢迎下载使用。

