





所属成套资源:新高考数学一轮复习讲义 (2份打包,原卷版+含解析)
新高考数学一轮复习讲义第6章 §6.6 数列中的综合问题(2份打包,原卷版+含解析)
展开
这是一份新高考数学一轮复习讲义第6章 §6.6 数列中的综合问题(2份打包,原卷版+含解析),文件包含新高考数学一轮复习讲义第6章§66数列中的综合问题原卷版doc、新高考数学一轮复习讲义第6章§66数列中的综合问题含解析doc等2份学案配套教学资源,其中学案共20页, 欢迎下载使用。
题型一 等差数列、等比数列的综合运算
例1 已知数列{an}的前n项和为Sn,且Sn=eq \f(3,2)n2+eq \f(1,2)n,递增的等比数列{bn}满足b1+b4=18,b2·b3=32.
(1)求数列{an},{bn}的通项公式;
(2)若cn=an·bn,n∈N*,求数列{cn}的前n项和Tn.
思维升华 数列的综合问题常将等差、等比数列结合,两者相互联系、相互转化,解答这类问题的方法:寻找通项公式,利用性质进行转化.
跟踪训练1 )记Sn为数列{an}的前n项和.已知eq \f(2Sn,n)+n=2an+1.
(1)证明:{an}是等差数列;
(2)若a4,a7,a9成等比数列,求Sn的最小值.
题型二 数列与其他知识的交汇问题
命题点1 数列与不等式的交汇
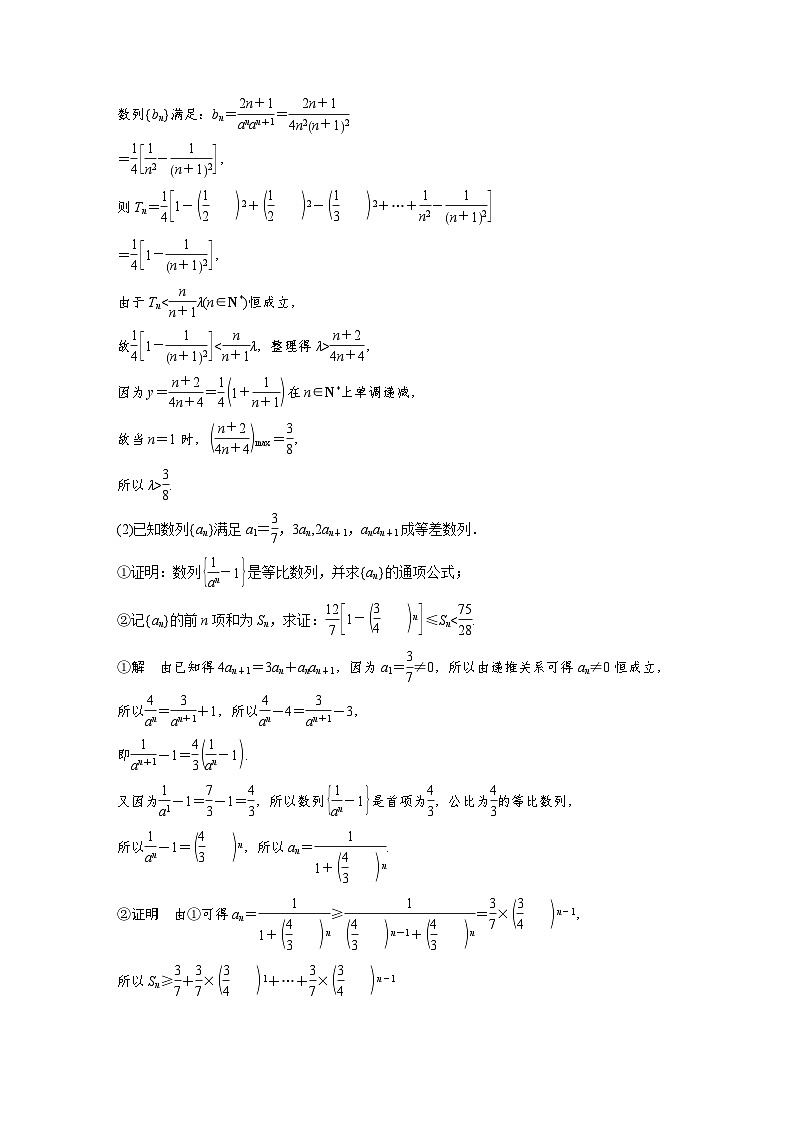
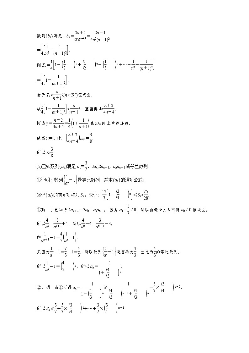
例2 (1)已知数列{an}满足a1+eq \f(1,2)a2+eq \f(1,3)a3+…+eq \f(1,n)an=n2+n(n∈N*),设数列{bn}满足:bn=eq \f(2n+1,anan+1),数列{bn}的前n项和为Tn,若Tn
相关学案
这是一份新高考数学一轮复习讲义第7章 §7.9 空间动态问题突破(2份打包,原卷版+含解析),文件包含新高考数学一轮复习讲义第7章§79空间动态问题突破培优课原卷版doc、新高考数学一轮复习讲义第7章§79空间动态问题突破培优课含解析doc等2份学案配套教学资源,其中学案共21页, 欢迎下载使用。
这是一份新高考数学一轮复习讲义第7章 §7.8 空间距离及立体几何中的探索问题(2份打包,原卷版+含解析),文件包含新高考数学一轮复习讲义第7章§78空间距离及立体几何中的探索问题原卷版doc、新高考数学一轮复习讲义第7章§78空间距离及立体几何中的探索问题含解析doc等2份学案配套教学资源,其中学案共22页, 欢迎下载使用。
这是一份新高考数学一轮复习讲义第6章 §6.4 数列中的构造问题(2份打包,原卷版+含解析),文件包含新高考数学一轮复习讲义第6章§64数列中的构造问题培优课原卷版doc、新高考数学一轮复习讲义第6章§64数列中的构造问题培优课含解析doc等2份学案配套教学资源,其中学案共15页, 欢迎下载使用。
