(新高考)高考数学一轮复习课件第6章§6.6《数列中的综合问题》(含解析)
展开这是一份(新高考)高考数学一轮复习课件第6章§6.6《数列中的综合问题》(含解析),共60页。PPT课件主要包含了考试要求,思维升华,依题意可知,课时精练,当n≥2时,当n为偶数时等内容,欢迎下载使用。
1.了解数列是一种特殊的函数,会解决等差、等比数列的综合问题.2.能在具体问题情境中,发现等差、等比关系,并解决相应的问题.
例1 (1)(2020·全国Ⅱ)北京天坛的圜丘坛为古代祭天的场所,分上、中、下三层.上层中心有一块圆形石板(称为天心石),环绕天心石砌9块扇面形石板构成第一环,向外每环依次增加9块.下一层的第一环比上一层的最后一环多9块,向外每环依次也增加9块,已知每层环数相同,且下层比中层多729块,则三层共有扇面形石板(不含天心石)A.3 699块 B.3 474块C.3 402块 D.3 339块
数学文化与数列的实际应用
设每一层有n环,由题意可知,从内到外每环之间构成公差为d=9,首项为a1=9的等差数列.由等差数列的性质知Sn,S2n-Sn,S3n-S2n成等差数列,且(S3n-S2n)-(S2n-Sn)=n2d,则9n2=729,解得n=9,
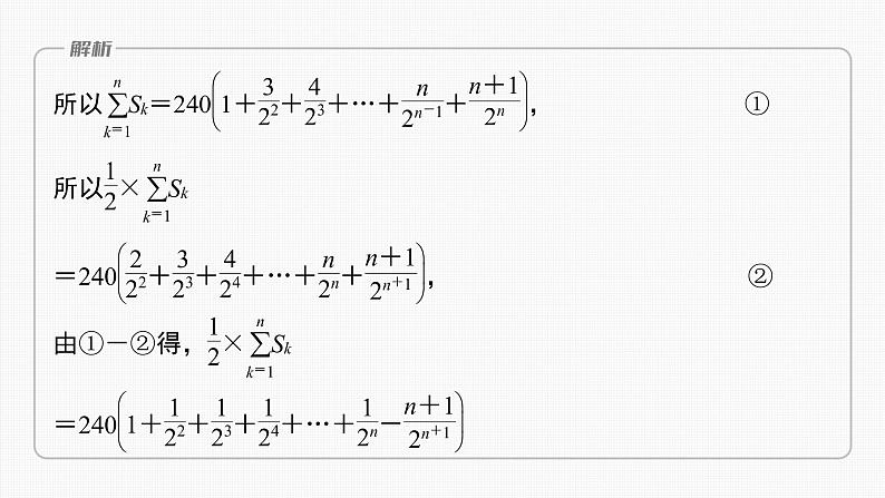
(2)(2021·新高考全国Ⅰ)某校学生在研究民间剪纸艺术时,发现剪纸时经常会沿纸的某条对称轴把纸对折.规格为20 dm×12 dm的长方形纸,对折1次共可以得到10 dm×12 dm,20 dm×6 dm两种规格的图形,它们的面积之和S1=240 dm2,对折2次共可以得到5 dm×12 dm,10 dm×6 dm,20 dm×3 dm三种规格的图形,它们的面积之和S2=180 dm2,以此类推,则对折4次共可以得到不同规格图形的种数为______;如果对折n次,那么 =____________ dm2.
依题意得,S1=120×2=240;S2=60×3=180;
所以对折4次共可以得到不同规格图形的种数为5,
所以S4=15×5=75;……
1.《周髀算经》中有这样一个问题:冬至、小寒、大寒、立春、雨水、惊蛰、春分、清明、谷雨、立夏、小满、芒种这十二个节气,自冬至日起,其日影长依次成等差数列,前三个节气日影长之和为28.5尺,最后三个节气日影长之和为1.5尺,今年3月20日为春分时节,其日影长为A.4.5尺 B.3.5尺C.2.5尺 D.1.5尺
冬至、小寒、大寒、立春、雨水、惊蛰、春分、清明、谷雨、立夏、小满、芒种这十二个节气日影长构成等差数列{an},设公差为d,
所以an=a1+(n-1)d=11.5-n,所以a7=11.5-7=4.5,即春分时节的日影长为4.5尺.
A.30.3 m B.30.1 mC.27 m D.29.2 m
设|AB|=x,a≈0.618,因为矩形ABCD,EBCF,FGHC,FGJI,LGJK,MNJK均为黄金矩形,所以有|BC|=ax,|CF|=a2x,|FG|=a3x,|GJ|=a4x,|JK|=a5x,|KM|=a6x.
解得26.786
跟踪训练1 (1)(2022·佛山模拟)随着新一轮科技革命和产业变革持续推进,以数字化、网络化、智能化以及融合化为主要特征的新型基础设施建设越来越受到关注.5G基站建设就是“新基建”的众多工程之一,截至2020年底,我国已累计开通5G基站超70万个,未来将进一步完善基础网络体系,稳步推进5G网络建设,实现主要城区及部分重点乡镇5G网络覆盖.2021年1月计划新建设5万个5G基站,以后每个月比上一个月多建设1万个,预计我国累计开通500万个5G基站时要到A.2022年12月 B.2023年2月C.2023年4月 D.2023年6月
每个月开通5G基站的个数是以5为首项,1为公差的等差数列,设预计我国累计开通500万个5G基站需要n个月,
化简整理得,n2+9n-860=0,解得n≈25.17或n≈-34.17(舍),所以预计我国累计开通500万个5G基站需要25个月,也就是到2023年2月.
(2)(多选)(2022·潍坊模拟)南宋数学家杨辉所著的《详解九章算法·商功》中出现了如图所示的形状,后人称为“三角垛”.“三角垛”的最上层有1个球,第二层有3个球,第三层有6个球,…,设各层球数构成一个数列{an},则 A.a4=12B.an+1=an+n+1C.a100=5 050D.2an+1=an·an+2
由题意知,a1=1,a2=3,a3=6,…,
an+1=an+n+1,故B正确;
2an+1=(n+1)(n+2),
显然2an+1≠an·an+2,故D错误.
例2 (2022·滨州模拟)已知等差数列{an}和等比数列{bn}满足a1=2,b2=4,an=2lg2bn,n∈N*.(1)求数列{an},{bn}的通项公式;
等差数列、等比数列的综合运算
设等差数列{an}的公差为d,因为b2=4,所以a2=2lg2b2=4,所以d=a2-a1=2,所以an=2+(n-1)×2=2n.又an=2lg2bn,即2n=2lg2bn,所以n=lg2bn,所以bn=2n.
(2)设数列{an}中不在数列{bn}中的项按从小到大的顺序构成数列{cn},记数列{cn}的前n项和为Sn,求S100.
由(1)得bn=2n=2·2n-1=a2n-1,即bn是数列{an}中的第2n-1项.设数列{an}的前n项和为Pn,数列{bn}的前n项和为Qn,因为b7= =a64,b8= =a128,所以数列{cn}的前100项是由数列{an}的前107项去掉数列{bn}的前7项后构成的,所以S100=P107-Q7
(1)若{bn}为等比数列,公比q>0,且b1+b2=6b3,求q的值及数列{an}的通项公式;
∴an+1-an=4n-1,
可得bn+2·cn+1=bn·cn,两边同乘bn+1,可得bn+1·bn+2·cn+1=bn·bn+1·cn,∵b1b2c1=b2=1+d,∴数列{bnbn+1cn}是一个常数列,且此常数为1+d,即bnbn+1cn=1+d,
又∵b1=1,d>0,∴bn>0,∴c1+c2+…+cn
对等差、等比数列的综合问题,应重点分析等差、等比数列项之间的关系.数列的求和主要是等差、等比数列的求和及裂项相消法求和与错位相减法求和,本题中利用裂项相消法求数列的和,然后利用b1=1,d>0证明不等式成立.另外本题在探求{an}与{cn}的通项公式时,考查累加、累乘两种基本方法.
跟踪训练2 已知等差数列{an}和等比数列{bn}满足a1=b1=1,a2+a4=10,b2b4=a5.(1)求{an}的通项公式;
设等差数列{an}的公差为d.因为a1=1,a2+a4=10,所以2a1+4d=10,解得d=2.所以an=2n-1.
(2)求b1+b3+b5+…+b2n-1.
设等比数列{bn}的公比为q.因为b2b4=a5,所以b1q·b1q3=9.又b1=1,所以q2=3.所以b2n-1=b1q2n-2=3n-1.
(1)求数列{an}的通项公式;
数列与其他知识的交汇问题
命题点1 数列与不等式的交汇
命题点2 数列与函数的交汇
得f′(x)=x2-12x+32,
所以a2,a3是函数f′(x)=x2-12x+32的两个零点,
因为q>1,所以a2=4,a3=8,故q=2,
1.已知函数f(x)=lg2x,若数列{an}的各项使得2,f(a1),f(a2),…,f(an),2n+4成等差数列,则数列{an}的前n项和Sn=_________.
设等差数列的公差为d,则由题意,得2n+4=2+(n+1)d,解得d=2,于是lg2a1=4,lg2a2=6,lg2a3=8,…,从而a1=24,a2=26,a3=28,…,
数列与函数、不等式的综合问题关键在于通过函数关系寻找数列的递推关系,求出数列的通项或前n项和,再利用数列或数列对应的函数解决最值、范围问题,通过放缩进行不等式的证明.
设等比数列{an}的公比为q,
解得a1=4,q=4,故{an}的通项公式为an=4n,n∈N*.bn=lg2an=lg24n=2n,
(2)若Sn是公差不为0的等差数列{an}的前n项和,且S1,S2,S4成等比数列,S2=4.①求数列{an}的通项公式;
设{an}的公差为d(d≠0),则S1=a1,S2=2a1+d,S4=4a1+6d.因为S1,S2,S4成等比数列,所以a1·(4a1+6d)=(2a1+d)2.所以2a1d=d2.因为d≠0,所以d=2a1.又因为S2=4,所以a1=1,d=2,所以an=2n-1.
因为m∈N*,所以m的最小值为30.
KESHIJINGLIAN
已知等差数列{an}的前n项和为Sn,公差d≠0,________,n∈N*.(1)求数列{an}的通项公式;
所以Sn=n2+n.当n≥2时,Sn-1=(n-1)2+n-1,当n≥2时,an=Sn-Sn-1=2n,又a1=2,满足上式,所以an=2n.
选②:由S2=a3,得a1+a2=a3,得a1=d,又由a4=a1a2,得a1+3d=a1(a1+d),因为d≠0,则a1=d=2,所以an=2n.选③:由a4是a2,a8的等比中项,得 =a2a8,则(a1+3d)2=(a1+d)(a1+7d),因为a1=2,d≠0,所以d=2,则an=2n.
(2)若bn= ,数列{bn}的前n项和为Wn,求Wn.注:如果选择多个条件分别解答,按第一个解答计分.
Sn=n2+n,bn=(2n+1)2+2n+1-(2n)2-2n=3·22n+2n,所以Wn=3×22+2+3×24+22+…+3×22n+2n
2.(2022·沈阳模拟)已知正项数列{an}的前n项和为Sn,且 =2Sn+n+1,a2=2.(1)求数列{an}的通项公式an;
∵{an}是正项数列,∴an+1=an+1.
∴a1=1,∴a2-a1=1,∴数列{an}是以a1=1为首项,1为公差的等差数列,∴an=n.
(2)若bn=an·2n,数列{bn}的前n项和为Tn,求使Tn>2 022的最小的正整数n的值.
由(1)知bn=an·2n=n·2n,∴Tn=1×21+2×22+3×23+…+n·2n,2Tn=1×22+2×23+…+(n-1)·2n+n·2n+1,
=(1-n)2n+1-2,∴Tn=(n-1)2n+1+2.∴Tn-Tn-1=n·2n>0,∴Tn单调递增.
当n=7时,T7=6×28+2=1 538<2 022,当n=8时,T8=7×29+2=3 586>2 022,∴使Tn>2 022的最小的正整数n的值为8.
3.(2022·大连模拟)已知等差数列{an}的前n项和为Sn,S5=25,且a3-1,a4+1,a7+3成等比数列.(1)求数列{an}的通项公式;
由题意知,等差数列{an}的前n项和为Sn,由S5=25,可得S5=5a3=25,所以a3=5,设数列{an}的公差为d,由a3-1,a4+1,a7+3成等比数列,可得(6+d)2=4(8+4d),整理得d2-4d+4=0,解得d=2,所以an=a3+(n-3)d=2n-1.
(2)若bn=(-1)nan+1,Tn是数列{bn}的前n项和,求T2n.
由(1)知bn=(-1)nan+1=(-1)n(2n-1)+1,所以T2n=(-1+1)+(3+1)+(-5+1)+(7+1)+…+[-(4n-3)+1]+(4n-1+1)=4n.
4.(2022·株洲质检)由整数构成的等差数列{an}满足a3=5,a1a2=2a4.(1)求数列{an}的通项公式;
由题意,设数列{an}的公差为d,因为a3=5,a1a2=2a4,
整理得(5-2d)(5-d)=2(5+d),
因为{an}为整数数列,所以d=1,又由a1+2d=5,可得a1=3,所以数列{an}的通项公式为an=n+2.
(2)若数列{bn}的通项公式为bn=2n,将数列{an},{bn}的所有项按照“当n为奇数时,bn放在前面;当n为偶数时,an放在前面”的要求进行“交叉排列”,得到一个新数列{cn},b1,a1,a2,b2,b3,a3,a4,b4,…,求数列{cn}的前(4n+3)项和T4n+3.
由(1)知,数列{an}的通项公式为an=n+2,又由数列{bn}的通项公式为bn=2n,根据题意,得新数列{cn},b1,a1,a2,b2,b3,a3,a4,b4,…,则T4n+3=b1+a1+a2+b2+b3+a3+a4+b4+…+b2n-1+a2n-1+a2n+b2n+b2n+1+a2n+1+a2n+2=(b1+b2+b3+b4+…+b2n+1)+(a1+a2+a3+a4+…+a2n+2)
5.已知等差数列{an}的公差为2,前n项和为Sn,且S1,S2,S4成等比数列.(1)求数列{an}的通项公式;
∵等差数列{an}的公差为2,前n项和为Sn,且S1,S2,S4成等比数列,∴Sn=na1+n(n-1),(2a1+2)2=a1(4a1+12),解得a1=1,∴an=2n-1.
相关课件
这是一份新高考数学一轮复习讲练测课件第6章必刷大题12数列的综合问题 (含解析),共24页。PPT课件主要包含了则当n为奇数时,综上Sn=等内容,欢迎下载使用。
这是一份新高考数学一轮复习讲练测课件第6章§6.4数列中的构造问题[培优课] (含解析),共60页。PPT课件主要包含了题型一,思维升华,n+1-n-1,题型二,n-1,题型三,倒数为特殊数列,课时精练,故选项AB错误,故选项D正确等内容,欢迎下载使用。
这是一份2024年高考数学一轮复习(新高考版) 第6章 §6.6 数列中的综合问题课件PPT,共60页。PPT课件主要包含了考试要求,题型一,思维升华,题型二,课时精练,基础保分练,∵b1=1适合上式,综合提升练,fx=x2,拓展冲刺练等内容,欢迎下载使用。

