还剩33页未读,
继续阅读
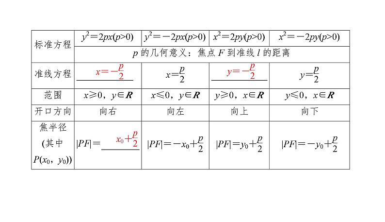
2025高考数学一轮复习-8.7-抛物线【课件】
展开
这是一份2025高考数学一轮复习-8.7-抛物线【课件】,共41页。PPT课件主要包含了课前双基巩固,课堂考点突破等内容,欢迎下载使用。
——整合知识 夯实基础
——精析考题 提升能力
相关课件
2025年高考数学一轮复习-8.7-利用空间向量研究距离问题【课件】:
这是一份2025年高考数学一轮复习-8.7-利用空间向量研究距离问题【课件】,共48页。PPT课件主要包含了命题说明,必备知识·逐点夯实,基础诊断·自测,核心考点·分类突破等内容,欢迎下载使用。
2025年高考数学一轮知识点复习-第8课时-抛物线(一)【课件】:
这是一份2025年高考数学一轮知识点复习-第8课时-抛物线(一)【课件】,共60页。PPT课件主要包含了授人以渔,课外阅读等内容,欢迎下载使用。
2025年高考数学一轮复习-第9课时-抛物线(二)【课件】:
这是一份2025年高考数学一轮复习-第9课时-抛物线(二)【课件】,共60页。PPT课件主要包含了授人以渔,教师备用资料等内容,欢迎下载使用。

