- 2024-2025学年高中数学人教A版必修一4.2.2 指数函数的图象和性质课件PPT+导学案+分层作业(学生版+教师版)+教案(教学设计) 课件 16 次下载
- 2024-2025学年高中数学人教A版必修一4.3.1对数的概念课件PPT+导学案+分层作业(学生版+教师版)+教案(教学设计) 课件 15 次下载
- 2024-2025学年高中数学人教A版必修一4.4.1对数函数的概念课件PPT+导学案+分层作业(学生版+教师版)+教案(教学设计) 课件 14 次下载
- 2024-2025学年高中数学人教A版必修一4.4.2对数函数的图像与性质课件PPT+导学案+分层作业(学生版+教师版)+教案(教学设计) 课件 14 次下载
- 2024-2025学年高中数学人教A版必修一指数函数与对数函数 课件PPT+导学案+分层作业(学生版+教师版)+教案(教学设计) 课件 13 次下载
高中数学人教A版 (2019)必修 第一册4.3.2 对数的运算完整版教学作业课件ppt
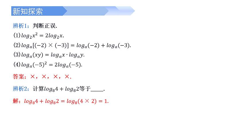
展开在引入对数后,自然应研究对数的运算性质.你认为可以怎样研究?
我们知道了对数与指数间的关系,能否利用指数幂运算性质得出相应的对数运算性质呢?
于是,我们得到如下的对数运算性质.
高中数学人教A版 (2019)必修 第一册4.3.1 对数的概念精品教学作业课件ppt: 这是一份高中数学人教A版 (2019)必修 第一册<a href="/sx/tb_c4053118_t3/?tag_id=26" target="_blank">4.3.1 对数的概念精品教学作业课件ppt</a>,文件包含2024-2025学年高中数学人教A版必修一431对数的概念PPTpptx、2024-2025学年高中数学人教A版必修一431对数的概念教案教学设计docx、2024-2025学年高中数学人教A版必修一431对数的概念分层作业教师版doc、2024-2025学年高中数学人教A版必修一431对数的概念分层作业doc、2024-2025学年高中数学人教A版必修一431对数的概念导学案doc等5份课件配套教学资源,其中PPT共14页, 欢迎下载使用。
高中数学人教A版 (2019)必修 第一册5.3 诱导公式试讲课教学作业ppt课件: 这是一份高中数学人教A版 (2019)必修 第一册<a href="/sx/tb_c4000282_t3/?tag_id=26" target="_blank">5.3 诱导公式试讲课教学作业ppt课件</a>,文件包含2024-2025学年高中数学人教A版必修一53诱导公式第1课时PPTpptx、2024-2025学年高中数学人教A版必修一53诱导公式第1课时教案教学设计docx、2024-2025学年高中数学人教A版必修一53诱导公式1分层作业教师版doc、2024-2025学年高中数学人教A版必修一53诱导公式1分层作业doc、2024-2025学年高中数学人教A版必修一53诱导公式一导学案doc等5份课件配套教学资源,其中PPT共21页, 欢迎下载使用。
数学必修 第一册3.1 函数的概念及其表示完美版教学作业课件ppt: 这是一份数学必修 第一册<a href="/sx/tb_c4000267_t3/?tag_id=26" target="_blank">3.1 函数的概念及其表示完美版教学作业课件ppt</a>,文件包含2024-2025学年高中数学人教A版必修一312函数的表示法两课时PPTpptx、2024-2025学年高中数学人教A版必修一313函数的值域分层作业教师版docx、2024-2025学年高中数学人教A版必修一313函数的值域分层作业docx、2024-2025学年高中数学人教A版必修一313函数的值域导学案docx等4份课件配套教学资源,其中PPT共34页, 欢迎下载使用。

