2025年高考数学一轮复习-5.3.2-简单的三角恒等变换【课件】
展开
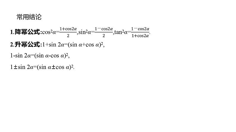
这是一份2025年高考数学一轮复习-5.3.2-简单的三角恒等变换【课件】,共41页。PPT课件主要包含了必备知识·逐点夯实,cos2α-1,-2sin2α,核心考点·分类突破,sinα,解题导思等内容,欢迎下载使用。
【课标解读】【课程标准】 能运用两角和与差的正弦、余弦、正切公式推导二倍角的正弦、余弦、正切公式,并进行简单的恒等变换(包括推导出积化和差、和差化积、半角公式,这三组公式不要求记忆).
【核心素养】数学抽象、数学运算.【命题说明】
解题技法三角函数式化简的解题策略(1)从三角函数名、角以及幂的差异三方面入手进行适当变形,结合所给的“形”的特征求解;(2)注意弦切互化、异名化同名、异角化同角、降幂升幂.
解题技法 给角求值问题的解题思路给角求值问题往往给出的角是非特殊角,求值时要注意:(1)观察角:分析角之间的差异,巧用诱导公式或拆分;(2)观察函数名:尽可能使函数名统一;(3)观察结构:利用公式,整体化简.
[溯源点评]两题的区别在于扇形内接矩形 ABCD的方式不同,考虑该问题是否能转化为更简单的、熟悉的问题来解决.根据图形的对称性,作∠POQ的平分线,分别交 AD,BC 于点 F,E,从而使整个问题又回到教材中的问题.
相关课件
这是一份§4.4 简单的三角恒等变换 课件-2025高考数学一轮复习,共60页。PPT课件主要包含了落实主干知识,cos2α-1,-2sin2α,探究核心题型,-cosθ,原式=,命题点1给角求值,命题点2给值求值,命题点3给值求角,又β为锐角等内容,欢迎下载使用。
这是一份新高考数学一轮复习课件 第4章 §4.4 简单的三角恒等变换,共60页。PPT课件主要包含了落实主干知识,探究核心题型,课时精练等内容,欢迎下载使用。
这是一份(新高考)高考数学一轮复习课件第4章§4.4《简单的三角恒等变换》(含解析),共60页。PPT课件主要包含了考试要求,落实主干知识,cos2α-1,-2sin2α,探究核心题型,三角函数式的化简,-cosθ,因为0θπ,思维升华,∴cos20等内容,欢迎下载使用。

