







高考数学专题二 微专题14 三角函数的概念与三角恒等变换课件PPT
展开
这是一份高考数学专题二 微专题14 三角函数的概念与三角恒等变换课件PPT,共56页。PPT课件主要包含了典例1,跟踪训练1,跟踪训练2,考点三三角恒等变换,典例3,跟踪训练3,∵θ∈0π等内容,欢迎下载使用。
三角函数的概念与三角恒等变换是高考常考内容,主要考查三角函数的概念、同角三角函数关系式、诱导公式,以及三角恒等变换的综合应用,给值求值问题.试题难度中等,常以选择题、填空题的形式出现.
考点一 三角函数的定义、诱导公式及基本关系式
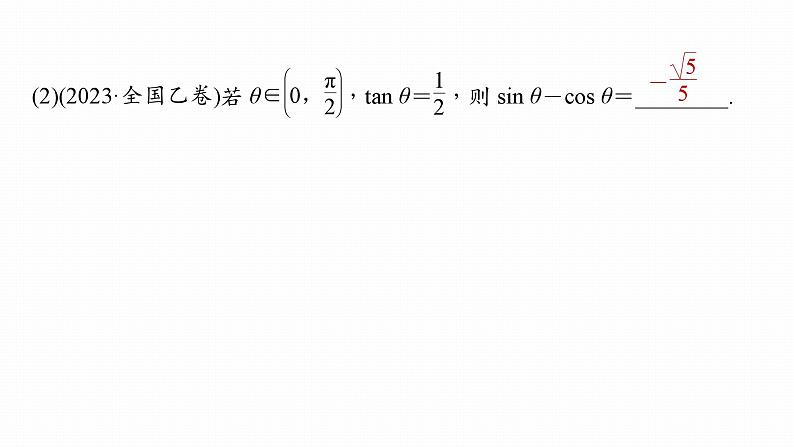
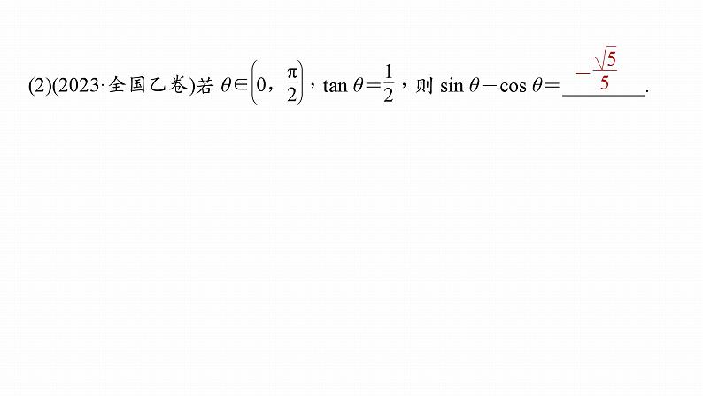
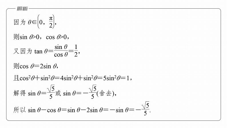
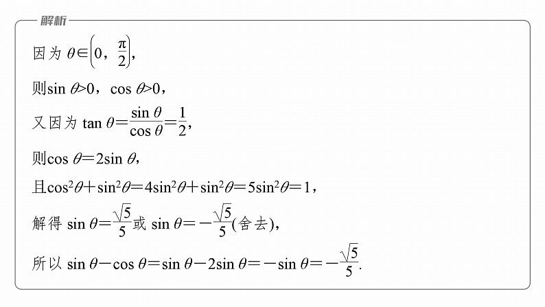
则sin θ>0,cs θ>0,
则cs θ=2sin θ,且cs2θ+sin2θ=4sin2θ+sin2θ=5sin2θ=1,
典例2 (1)(2022·新高考全国Ⅱ)若sin(α+β)+cs(α+β)= ,则A.tan(α-β)=1B.tan(α+β)=1C.tan(α-β)=-1D.tan(α+β)=-1
考点二 两角和与差的三角函数
则sin(2α+β)-2sin αcs(α+β)=cs α,又sin(2α+β)=sin αcs(α+β)+cs αsin(α+β),所以cs αsin(α+β)-sin αcs(α+β)=cs α,即sin β=cs α,
方法一 因为tan θ=-2,所以角θ的终边在第二或第四象限,
=sin θ(sin θ+cs θ)
方法二 (弦化切法)因为tan θ=-2,
方法三 (正弦化余弦法)因为tan θ=-2,所以sin θ=-2cs θ.
因为5sin 2α+5cs 2α+1=0,所以10sin αcs α+5(cs2α-sin2α)+cs2α+sin2α=0,整理得2sin2α-5sin αcs α-3cs2α=0,则2tan2α-5tan α-3=0,
整理可得tan β+tan α=tan αtan β-1,
=sin 30°sin(θ+15°)-cs 30°cs(θ+15°)+cs(θ+45°)=-cs(θ+45°)+cs(θ+45°)=0.
相关试卷
这是一份高考数学专题二 微专题20 极化恒等式、等和线、奔驰定理课件PPT,共59页。PPT课件主要包含了考点一极化恒等式,典例1,跟踪训练1,典例2,跟踪训练2,考点三奔驰定理,典例3,跟踪训练3,由极化恒等式可得等内容,欢迎下载使用。
这是一份新高考数学一轮复习微专题专练22三角恒等变换(含详解),共5页。
这是一份微专题2 三角恒等变换与解三角形-2024年高考数学二轮微专题系列,共27页。
