







高考数学专题二 微专题20 极化恒等式、等和线、奔驰定理课件PPT
展开
这是一份高考数学专题二 微专题20 极化恒等式、等和线、奔驰定理课件PPT,共59页。PPT课件主要包含了考点一极化恒等式,典例1,跟踪训练1,典例2,跟踪训练2,考点三奔驰定理,典例3,跟踪训练3,由极化恒等式可得等内容,欢迎下载使用。
利用向量的极化恒等式可以快速对数量积进行转化,体现了向量的几何属性,特别适合于以三角形为载体,含有线段中点的向量问题.等和线可以解决一些向量共线,点共线问题,也可由共线求参数;用向量共线定理求解则更加简洁.奔驰定理对于利用平面向量解决平面几何问题,尤其是解决跟三角形的面积和“四心”相关的问题,有着决定性的基石作用.在平面向量中有时运用这些内容可能起到意想不到的作用,技巧性较强.一般难度较大.
A.0 B.12 C.2 D.6
所以cs∠ACB=cs(∠OCA+∠OCB)=cs∠OCAcs∠OCB-sin∠OCAsin∠OCB
考点二 等和(高)线定理
若点P′在直线AB上或在平行于AB的直线上,则λ+μ=k(定值);反之也成立,我们把直线AB以及与直线AB平行的直线称为等和(高)线.①当等和线恰为直线AB时,k=1;②当等和线在O点和直线AB之间时,k∈(0,1);③当直线AB在O点和等和线之间时,k∈(1,+∞);④当等和线过O点时,k=0;⑤若两等和线关于O点对称,则定值k互为相反数;⑥定值k的变化与等和线到O点的距离成正比.
如图,直线BF为k=1的等和线,当P在△CDE内时,直线EC是最近的等和线,过D点的等和线是最远的,
当点P位于B点时,λ+μ取得最大值,过点B作GH∥DC,分别交OC,OD的延长线于G,H,
方法一(等和线定理)设λ+μ=k,当C位于A或B时,A,B,C三点共线,所以k=λ+μ=1;当C运动到 的中点时,k=λ+μ=2,∴λ+μ∈[1,2].
方法二 (常规方法)设半径为1,由已知可设OB为x轴的正半轴,O为坐标原点,建立平面直角坐标系(图略),
易得λ+μ∈[1,2].
方法一根据奔驰定理可知S△BOC∶S△AOC∶S△AOB=1∶2∶3.方法二 延长OB至B′,使OB′=2OB,
∴O是△AB′C′的重心,∴S△AOC′=S△B′OC′,
∴S△AOC∶S△BOC=2∶1.
根据奔驰定理可知S△BCM∶S△ACM∶S△ABM=1∶1∶1,则S△ABM∶S△ABC=1∶3.
由奔驰定理可得S△ABC∶S△PBC=(4+6+9)∶4=19∶4.
1.极化恒等式的适用范围(1)共起点或共终点的两向量的数量积问题可直接进行转化.(2)不共起点和不共终点的数量积问题可通过向量的平移,等价转化为共起点或共终点的两向量的数量积问题.2.等和(高)线定理的适用范围主要解决平面向量系数和与差的问题.3.奔驰定理的使用范围对于三角形面积比例问题,常规的作法一般是通过向量线性运算转化出三角形之间的关系.但如果向量关系符合奔驰定理的形式,在选择或填空题当中可以迅速地得出正确答案.
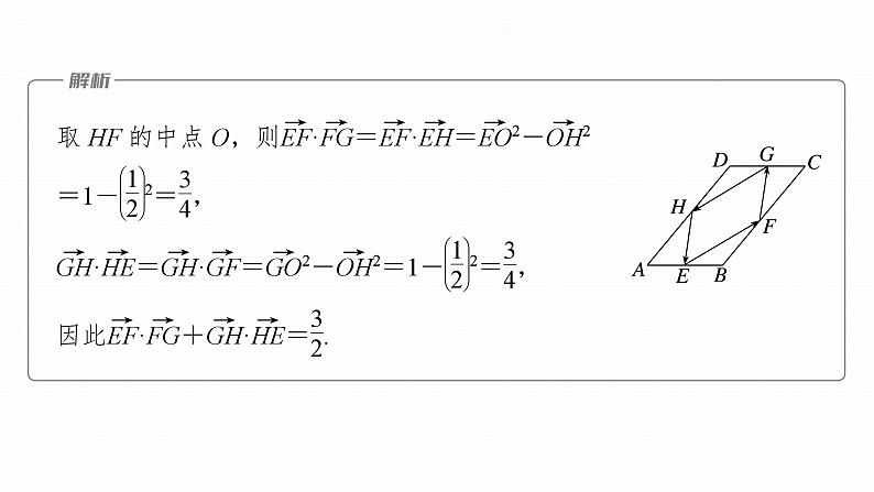
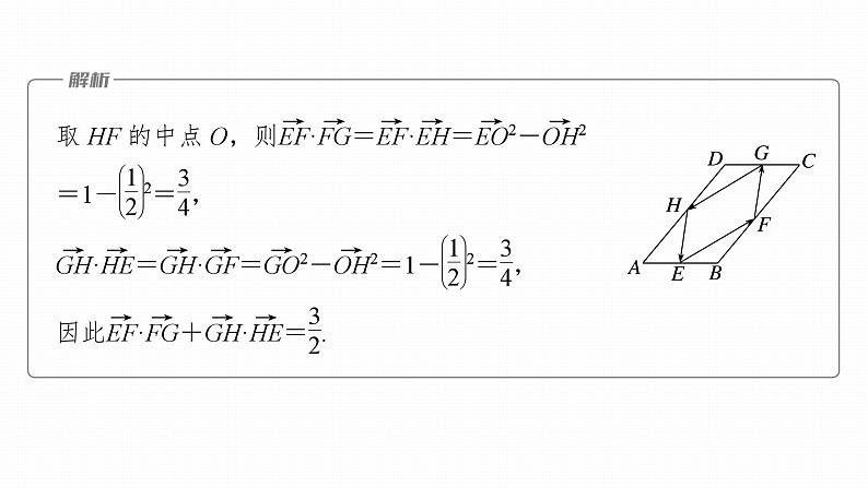
如图,取AB的中点O,连接MO,BE,OE,分别过点C,D作BE的垂线,垂足分别为I,J,
如图,BC是值为1的等和线,过O作BC的平行线,
即点O是△A1B1C1的重心,所以 = = =k,
所以O为△ABC的重心,
当点M与C重合时,λ+2μ最大,此时
所以λ=0,μ=1,即λ+2μ=2.因为M在△OBC内且不含边界,所以取开区间,即λ+2μ∈(1,2).
O是△ABC的垂心,延长CO,BO,AO分别交边AB,AC,BC于点P,M,N,如图,则CP⊥AB,BM⊥AC,AN⊥BC,∠BOP=∠BAC,∠AOP=∠ABC,
于是得tan∠BAC∶tan∠ABC∶tan∠ACB=S1∶S2∶S3,
即S1∶S2∶S3=1∶2∶3,所以tan∠BAC∶tan∠ABC∶tan∠ACB=1∶2∶3.
对于A,若P是△ABC的重心,则S△PBC=S△PAC=S△PAB,
对于B,设点P到边BC,AC,AB的距离分别为h1,h2,h3,
则P是△ABC的内心,正确;
方法一 (常规方法)由题意作图如图.
设AF与BC的延长线交于点H,易知AF=FH,
相关试卷
这是一份培优点05极化恒等式、奔驰定理与等和线定理(3大考点+强化训练)-冲刺985、211名校高考数学重难点培优全攻略(新高考专用),文件包含培优点05极化恒等式奔驰定理与等和线定理3大考点+强化训练原卷版docx、培优点05极化恒等式奔驰定理与等和线定理3大考点+强化训练解析版docx等2份试卷配套教学资源,其中试卷共39页, 欢迎下载使用。
这是一份微专题6 极化恒等式、投影向量-2024年高考数学二轮微专题系列,共17页。
这是一份专题二 培优点5 极化恒等式、奔驰定理与等和线定理2024年高考数学,共3页。
