所属成套资源:2024年高考数学必备PPT大全(6大专题秘籍大招)
专题六 第4讲 母题突破4 探究性问题--高三高考数学复习-PPT
展开
这是一份专题六 第4讲 母题突破4 探究性问题--高三高考数学复习-PPT,共47页。PPT课件主要包含了母题突破4,探究性问题,规律方法,又∵M是AB的中点,∵MN⊥x轴,专题强化练,所以直线PN的斜率,所以直线NQ的斜率等内容,欢迎下载使用。
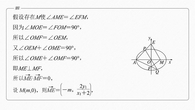
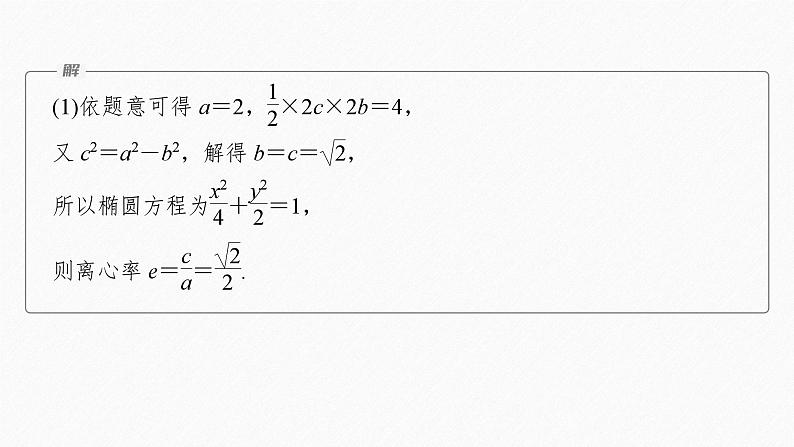
(2023·廊坊质检)已知椭圆C: =1(a>b>0)经过点A(-2,0),且两个焦点及短轴两顶点围成四边形的面积为4.(1)求椭圆C的方程和离心率;(2)设P,Q为椭圆C上两个不同的点,直线AP与y轴交于点E,直线AQ与y轴交于点F,且P,O,Q三点共线.其中O为坐标原点.问:在x轴上是否存在点M,使得∠AME=∠EFM?若存在,求点M的坐标;若不存在,请说明理由.
思路分析❶代入点,结合面积求方程和离心率❷设点P,Q,表示出直线AP,AQ的方程❸求出E,F的坐标,❹由∠AME=∠EFM得 =0,❺利用向量运算求点M的坐标
(2)因为P,O,Q三点共线,根据椭圆的对称性可知P,Q关于O点对称,如图,设点P(x1,y1),则Q(-x1,-y1)(x1≠±2),所以直线AP的方程为
假设存在M使∠AME=∠EFM,因为∠MOE=∠FOM=90°,所以∠OMF=∠OEM,又∠OEM+∠OME=90°,所以∠OME+∠OMF=90°,即ME⊥MF,
(2023·西安模拟)已知椭圆C: =1,过点T 的直线交该椭圆于P,Q两点,若直线PQ与x轴不垂直,在x轴上是否存在定点S(s,0),使得∠PST=∠QST恒成立?若存在,求出s的值;若不存在,请说明理由.
假设在x轴上存在定点S(s,0),使得∠PST=∠QST恒成立,
因为∠PST=∠QST,所以kPS+kQS=0,
整理得(x2-s)y1+(x1-s)y2=0,
已知双曲线C: =1(a>0,b>0),直线l在x轴上方与x轴平行,交双曲线C于A,B两点,直线l交y轴于点D.当l经过C的焦点时,点A的坐标为(6,4).(1)求C的方程;
点A的坐标为(6,4),得c=4,不妨设焦点F1(0,4),F2(0,-4),
所以a=2,b2=c2-a2=12,
(2)设OD的中点为M,是否存在定直线l,使得经过M的直线与C交于P,Q两点,与线段AB交于点N(N,D不重合), 均成立?若存在,求出l的方程;若不存在,请说明理由.
如图,设l的方程为y=2m(m>1),则D(0,2m),故M(0,m),由已知得直线PQ的斜率存在,设直线PQ的方程为y=kx+m(k≠0),
直线PQ的方程与双曲线方程联立得(3k2-1)x2+6kmx+3m2-12=0,由已知得3k2≠1,Δ>0,
探索性问题的求解策略(1)若给出问题的一些特殊关系,要探索一般规律,并能证明所得规律的正确性,通常要对已知关系进行观察、比较、分析,然后概括一般规律.(2)若只给出条件,求“不存在”“是否存在”等语句表述问题时,一般先对结论给出肯定的假设,然后由假设出发,结合已知条件进行推理,从而得出结论.
1.已知抛物线C:x2=2py(p>0),点P(2,8)在抛物线上,直线y=kx+2交C于A,B两点,M是线段AB的中点,过M作x轴的垂线交C于点N.(1)求点P到抛物线焦点的距离;
将点P(2,8)代入抛物线方程,
点P到抛物线焦点的距离等于点P到抛物线准线的距离,
把y=kx+2代入y=2x2得2x2-kx-2=0,Δ=k2+16>0,
两边同时平方得k2+16=4(k2+1),解得k=±2,即存在k=±2,
2.(2023·池州模拟)如图,点A为椭圆E: +y2=1的上顶点,圆C:x2+y2=1,过坐标原点O的直线l交椭圆E于M,N两点.(1)求直线AM,AN的斜率之积;
设M(x0,y0),则N(-x0,-y0),
(2)设直线AM:y=kx+1(k≠0),AN与圆C分别交于点P,Q,记直线MN,PQ的斜率分别为k1,k2,探究是否存在实数λ,使得k1=λk2?若存在,求出λ的值;若不存在,请说明理由.
消去y可得(1+4k2)x2+8kx=0,因为A,M均在椭圆E上,
设P(x1,y1),Q(x2,y2),
消去y可得(1+k2)x2+2kx=0,
因为A,P均在圆C上,
1.(2023·郑州模拟)过点M(t,0)(t0)相切于点N,且|MN|=(1)求抛物线C的方程;
整理得3p+2t=0,
所以抛物线C的方程为y2=4x.
(2)斜率为 的直线与C交于与点N不重合的点P,Q,判断是否存在直线l′,使得点Q关于l′的对称点Q′恒与P,N共线,若存在,求出l′的方程,若不存在,说明理由.
假设存在直线l′,使得点Q关于l′的对称点Q′恒与P,N共线,则直线NP,NQ关于l′对称,设P(x1,y1),Q(x2,y2),
所以存在直线l′,使得点Q关于l′的对称点Q′恒与P,N共线,
(1)求双曲线C的方程;
又直线l:y=x+m,与双曲线方程联立得2x2-2mx-m2-3a2=0,①设点A(x1,y1),B(x2,y2),
所以(-x1,m-y1)=3(x2,y2-m).故x1=-3x2.结合x1+x2=m,
=x1x2+(x1+m)(x2+m)=2x1x2+m(x1+x2)+m2=m2-3a2=3a2=3,从而a2=1.
显然,该方程有两个不相等的实根.因此,a2=1符合要求.
(2)设Q为双曲线C右支上的一个动点,F为双曲线C的右焦点,在x轴负半轴上是否存在定点M,使得∠QFM=2∠QMF?若存在,求出点M的坐标;若不存在,请说明理由.
假设满足条件的点M(t,0)(t
相关课件
这是一份新高考版高考数学二轮复习(新高考版) 第1部分 专题突破 专题6 第4讲 母题突破4 探索性问题课件PPT,共37页。PPT课件主要包含了高考数学二轮复习策略,专题强化练等内容,欢迎下载使用。
这是一份新高考数学二轮复习专题六第4讲母题突破4探索性问题课件,共35页。PPT课件主要包含了∵Qx0t,规律方法,解得a2=1,专题强化练等内容,欢迎下载使用。
这是一份新高考数学二轮复习专题六第4讲母题突破3定值问题课件,共37页。PPT课件主要包含了母题突破3定值问题,将①②③代入得,规律方法,专题强化练,设Qxy5等内容,欢迎下载使用。

