新高考数学二轮复习专题六第4讲母题突破2定点问题课件
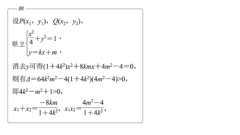
展开(2022·烟台模拟)已知椭圆C: +y2=1,点A(-2,0),直线l:y=kx+m与C交于P,Q两点,且AP⊥AQ,证明:直线l过定点,并求出此定点的坐标.
思路分析❶联立直线l与椭圆C方程 ↓ ↓ ↓❹利用直线的点斜式方程求定点
设P(x1,y1),Q(x2,y2),
消去y可得(1+4k2)x2+8kmx+4m2-4=0,则有Δ=64k2m2-4(1+4k2)(4m2-4)>0,即4k2-m2+1>0,
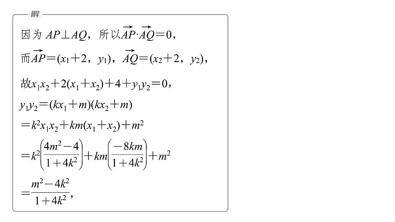
故x1x2+2(x1+x2)+4+y1y2=0,y1y2=(kx1+m)(kx2+m)=k2x1x2+km(x1+x2)+m2
故x1x2+2(x1+x2)+4+y1y2
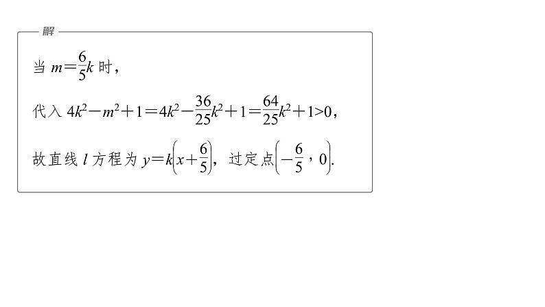
当m=2k时,代入4k2-m2+1=1>0,故直线l方程为y=k(x+2),过点A,不满足题意,
由对称性可知,直线BM必过x轴上的定点,
则直线BM经过点P(1,0).当直线l1的斜率存在时,不妨设直线l1:y=k(x-2),A(x1,y1),B(x2,y2),
证明直线BM经过点P(1,0),即证kPM=kPB,
由y1=kx1-2k,y2=kx2-2k,整理得,4x1x2- 5(x1+x2)+4=0,
即证BM经过点P(1,0),所以直线BM过定点(1,0).
所以S,T分别是PQ,MN的中点,当两条弦所在直线的斜率存在且不为0时,设PQ所在直线的方程为y=k(x-1),
设P(x1,y1),Q(x2,y2),M(x3,y3),N(x4,y4),
动线过定点问题的两大类型及解法(1)动直线l过定点问题,解法:设动直线方程(斜率存在)为y=kx+t,由题设条件将t用k表示为t=mk,得y=k(x+m),故动直线过定点(-m,0).(2)动曲线C过定点问题,解法:引入参变量建立曲线C的方程,再根据其对参变量恒成立,令其系数等于零,得出定点.
由已知可得抛物线C的方程为y2=4x,点S(4,4),设直线l的方程为x=my+n,
将直线l的方程与抛物线C:y2=4x联立,得y2-4my-4n=0,所以Δ=16m2+16n>0,y1+y2=4m,y1y2=-4n(*),
化简得y1y2=4(y1+y2)+16,将上面(*)式代入得-4n=16m+16,即n=-4m-4,所以直线l的方程为x=my-4m-4,即x+4=m(y-4),所以直线l过定点(-4,4).
2.(2022·德州质检)已知抛物线C:y2=4x的顶点是坐标原点O,过抛物线C的焦点作与x轴不垂直的直线l交抛物线C于两点M,N,直线x=1分别交直线OM,ON于点A和点B,求证:以AB为直径的圆经过x轴上的两个定点.
令y=0得(x-1)2=4,解得x=-1或x=3,即以AB为直径的圆经过x轴上的两个定点(-1,0),(3,0).
(1)求动点M的轨迹方程;
∴动点M的轨迹是以点F1,F2为左、右焦点的双曲线的左支,
(2)若动点M在双曲线C上,设双曲线C的左支上有两个不同的点P,Q,点N(4,0),且∠ONP=∠ONQ,直线NQ与双曲线C交于另一点B.证明:动直线PB经过定点.
∵∠ONP=∠ONQ,∴直线PQ垂直于x轴,易知,直线BP的斜率存在且不为0,设直线BP的方程为x=my+n,设P(x1,y1),B(x2,y2),则Q(x1,-y1),
化简得(9m2-1)y2+18mny+9n2-9=0,
又Δ=182m2n2-36(9m2-1)(n2-1)=36(9m2+n2-1)>0,又N,B,Q三点共线,且NQ斜率存在,
∴-y1(my2+n-4)=y2(my1+n-4),∴2my1y2+(n-4)(y1+y2)=0,
化简得18m(n2-1)+(n-4)(-18mn)=0,∴n2-1-(n-4)n=0,
2.(2022·常德模拟)已知抛物线C:y2=2px(p>0)经过点(1,2).(1)求抛物线C的方程及其准线方程;
由抛物线y2=2px(p>0)经过点(1,2),得4=2p,即p=2.所以抛物线C的方程为y2=4x,其准线方程为x=-1.
由题意知,直线l的斜率不为0,设直线l的方程为x=my+2.将x=my+2代入y2=4x,消去x得y2-4my-8=0,显然Δ=16m2+32>0,设A(x1,y1),B(x2,y2),则y1+y2=4m,y1y2=-8.
所以M是线段AB的中点,设M(xM,yM),
所以M(2m2+2,2m),又MN⊥y轴,所以垂足N的坐标为N(0,2m).设以MN为直径的圆恒经过点D(x0,y0),
专题六 第4讲 母题突破2 定点(定直线)问题--高三高考数学复习-PPT: 这是一份专题六 第4讲 母题突破2 定点(定直线)问题--高三高考数学复习-PPT,共46页。PPT课件主要包含了母题突破2,定点定直线问题,思路分析,规律方法,1求C的方程,因为A-20,专题强化练等内容,欢迎下载使用。
新高考版高考数学二轮复习(新高考版) 第1部分 专题突破 专题6 第4讲 母题突破2 定点问题课件PPT: 这是一份新高考版高考数学二轮复习(新高考版) 第1部分 专题突破 专题6 第4讲 母题突破2 定点问题课件PPT,共37页。PPT课件主要包含了高考数学二轮复习策略,母题突破2定点问题,专题强化练等内容,欢迎下载使用。
新高考数学二轮复习专题六第4讲母题突破4探索性问题课件: 这是一份新高考数学二轮复习专题六第4讲母题突破4探索性问题课件,共35页。PPT课件主要包含了∵Qx0t,规律方法,解得a2=1,专题强化练等内容,欢迎下载使用。

