 
 
 
 
 
 
 
 
所属成套资源:全套新高考数学二轮复习母题突破课件
新高考数学二轮复习专题六第4讲母题突破1范围、最值问题课件
展开
这是一份新高考数学二轮复习专题六第4讲母题突破1范围、最值问题课件,共38页。PPT课件主要包含了考情分析,规律方法,专题强化练等内容,欢迎下载使用。
1.圆锥曲线的综合问题是高考考查的重点内容,常见的热点题型有范围、最值 问题,定点、定值问题及探索性问题.2.以解答题的形式压轴出现,难度较大.
母题突破1 范围、最值问题
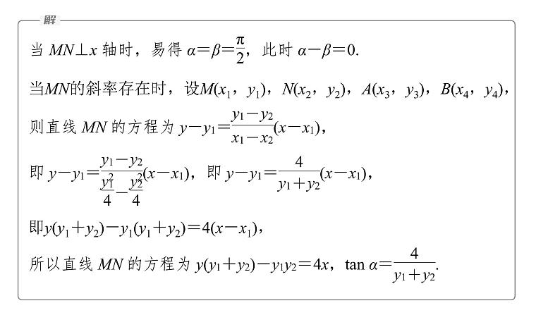
  (2022·全国甲卷改编)已知抛物线C:y2=4x的焦点为F,点D(2,0),过F的直线交抛物线C于M,N两点.设直线MD,ND与抛物线C的另一个交点分别为A,B,记直线MN,AB的倾斜角分别为α,β.当α-β取得最大值时,求直线AB的方程.
思路分析❶点差法求kAB,kMN     ↓❷联立MN与抛物线方程     ↓❸联立AM,BN与抛物线方程     ↓❹kAB与kMN的关系     ↓❺构造tan(α-β)关于kAB的函数
当MN的斜率存在时,设M(x1,y1),N(x2,y2),A(x3,y3),B(x4,y4),
即y(y1+y2)-y1(y1+y2)=4(x-x1),
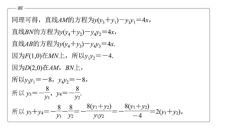
同理可得,直线AM的方程为y(y3+y1)-y3y1=4x,直线BN的方程为y(y4+y2)-y4y2=4x,直线AB的方程为y(y4+y3)-y4y3=4x.因为F(1,0)在MN上,所以y1y2=-4.因为D(2,0)在AM,BN上,所以y3y1=-8,y4y2=-8,
所以直线AB的方程y(y4+y3)-y4y3=4x可化为(y1+y2)y+8=2x,
当y2+y10,解得k≠-1,
所以|AB|2=(xA-xB)2+(yA-yB)2
因此,|AB|的最大值为4.
2.(2022·保定模拟)已知抛物线C:x2=4y,以T(0,3)为圆心的圆交抛物线C于P,Q,M,N四点,求四边形PQMN面积的取值范围.
如图,设圆T的半径为r,M(x1,y1),N(x2,y2),Q(-x1,y1),P(-x2,y2),把x2=4y代入圆T:x2+(y-3)2=r2,整理得y2-2y+9-r2=0,由题意知,关于y的一元二次方程有两个不等实根,
令f(t)=(1+t)(1-t2)且0
相关课件
这是一份新高考版高考数学二轮复习(新高考版) 第1部分 专题突破 专题6 第4讲 母题突破1 范围、最值问题课件PPT,共40页。PPT课件主要包含了高考数学二轮复习策略,专题强化练等内容,欢迎下载使用。
这是一份新高考数学二轮复习 第1部分 专题6 第3讲 母题突破1 范围、最值问题(含解析)课件PPT,共32页。PPT课件主要包含了考情分析,内容索引,母题突破1,专题强化练,思路分析等内容,欢迎下载使用。
这是一份新高考数学二轮复习专题六第4讲母题突破3定值问题课件,共37页。PPT课件主要包含了母题突破3定值问题,将①②③代入得,规律方法,专题强化练,设Qxy5等内容,欢迎下载使用。
 
 
 
 
 
 
 
 


