



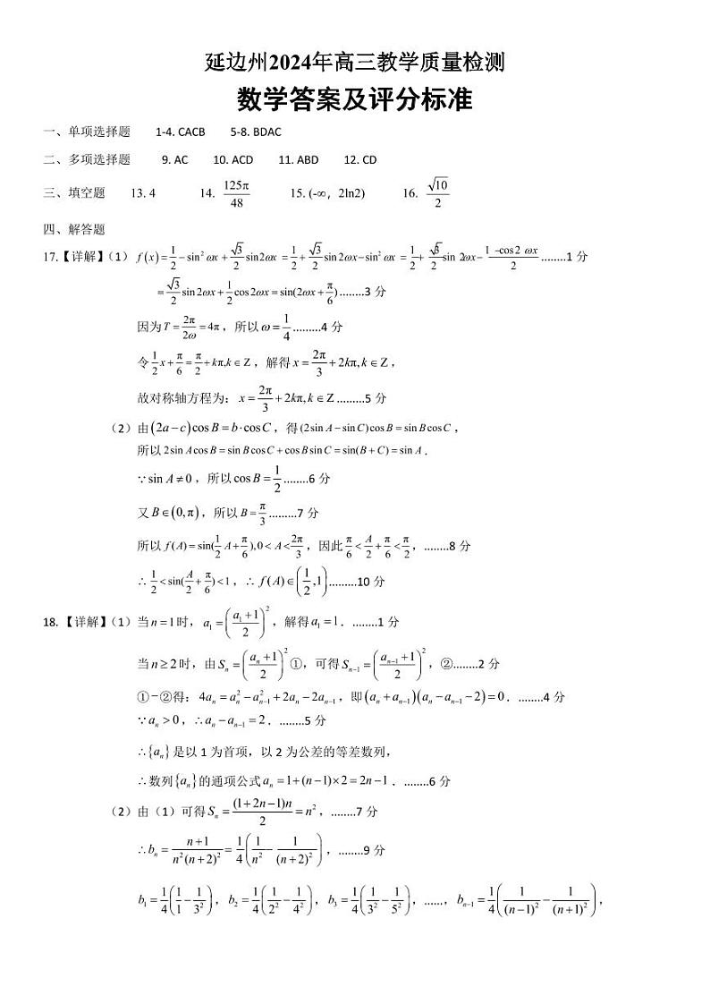
2024延边州高三教学质量检测试题(一模)数学PDF版含答案、答题卡
展开吉林省延边州2024届高三教学质量检测试题(一模)数学(PDF版附答案): 这是一份吉林省延边州2024届高三教学质量检测试题(一模)数学(PDF版附答案),文件包含2024届吉林省延边州高三教学质量检测一模数学答案pdf、2024届吉林省延边州高三教学质量检测一模数学pdf、高三数学答题卡pdf等3份试卷配套教学资源,其中试卷共10页, 欢迎下载使用。
2024届吉林省延边州高三教学质量检测(一模)数学试题: 这是一份2024届吉林省延边州高三教学质量检测(一模)数学试题,文件包含数学参考答案和评分标准-A4pdf、高三数学汉8开pdf、新延边州2023-24质量检测答题卡高三pdf等3份试卷配套教学资源,其中试卷共10页, 欢迎下载使用。
2023延边州高三教学质量检测数学试题PDF版含答案: 这是一份2023延边州高三教学质量检测数学试题PDF版含答案,文件包含数学答案docx、吉林省延边州2022-2023学年高三教学质量检测数学试题PDF版无答案pdf等2份试卷配套教学资源,其中试卷共11页, 欢迎下载使用。