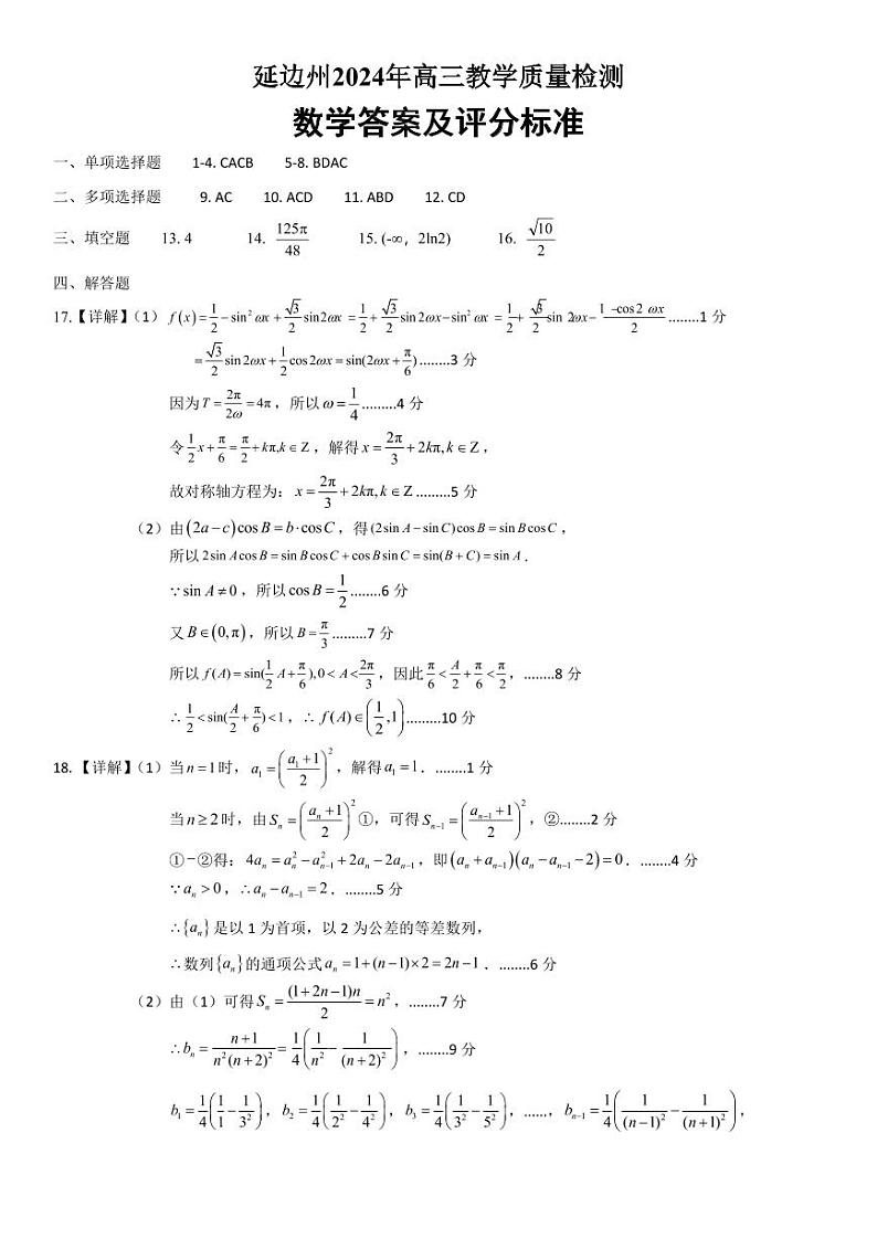
吉林省延边州2024届高三教学质量检测试题(一模)数学(PDF版附答案)
展开2024届吉林省延边州高三教学质量检测(一模)数学试题: 这是一份2024届吉林省延边州高三教学质量检测(一模)数学试题,文件包含数学参考答案和评分标准-A4pdf、高三数学汉8开pdf、新延边州2023-24质量检测答题卡高三pdf等3份试卷配套教学资源,其中试卷共10页, 欢迎下载使用。
2022届吉林省延边州高三下学期4月教学质量检测(一模)数学(理)试题PDF版: 这是一份2022届吉林省延边州高三下学期4月教学质量检测(一模)数学(理)试题PDF版,共13页。
2022届吉林省延边州高三下学期4月教学质量检测(一模)数学(文)试题PDF版: 这是一份2022届吉林省延边州高三下学期4月教学质量检测(一模)数学(文)试题PDF版,共12页。

