2023-2024学年福建省莆田市高一上学期期末联考数学模拟试题(含解析)
展开+福建省莆田市第四中学2023-2024学年高一上学期期末联考数学试卷: 这是一份+福建省莆田市第四中学2023-2024学年高一上学期期末联考数学试卷,共4页。
2023-2024学年浙江省丽水市高一上学期12月联考数学模拟试题(含解析): 这是一份2023-2024学年浙江省丽水市高一上学期12月联考数学模拟试题(含解析),共20页。
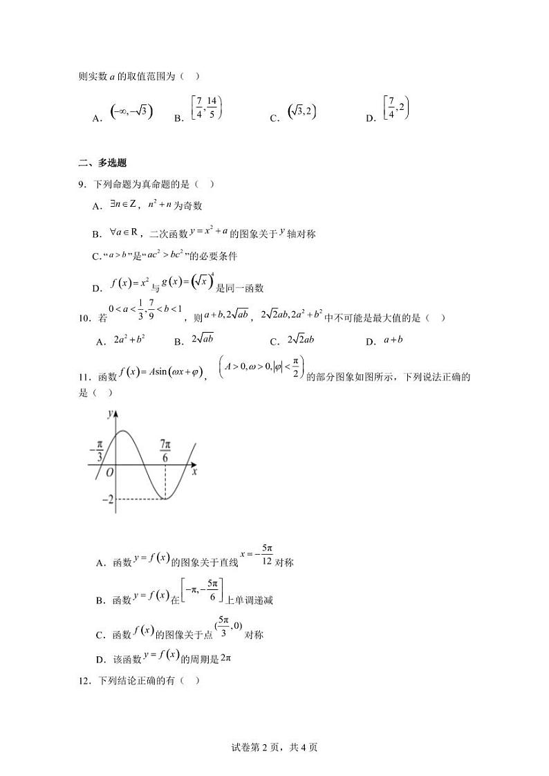
2023-2024学年福建省莆田市高二上学期期中数学质量检测模拟试题(含解析): 这是一份2023-2024学年福建省莆田市高二上学期期中数学质量检测模拟试题(含解析),共17页。试卷主要包含了选择题,填空题,解答题等内容,欢迎下载使用。

