所属成套资源:【备战2024年中职高考】中职数学 一轮复习专题训练(考点讲与练)
- 【备战2024年中职高考】中职数学 一轮复习专题训练(考点讲与练)专题14任意角的三角函数(讲).zip 试卷 2 次下载
- 【备战2024年中职高考】中职数学 一轮复习专题训练(考点讲与练)专题15同角三角函数的基本关系(练).zip 试卷 2 次下载
- 【备战2024年中职高考】中职数学 一轮复习专题训练(考点讲与练)专题16 诱导公式(练).zip 试卷 3 次下载
- 【备战2024年中职高考】中职数学 一轮复习专题训练(考点讲与练)专题16 诱导公式(讲).zip 试卷 3 次下载
- 【备战2024年中职高考】中职数学 一轮复习专题训练(考点讲与练)专题17两角和差正弦、余弦、正切公式(练).zip 试卷 2 次下载
【备战2024年中职高考】中职数学 一轮复习专题训练(考点讲与练)专题15同角三角函数的基本关系(讲).zip
展开
这是一份【备战2024年中职高考】中职数学 一轮复习专题训练(考点讲与练)专题15同角三角函数的基本关系(讲).zip,文件包含备战2024年中职高考中职数学一轮复习之专题突破讲练测专题15同角三角函数的基本关系讲-中职专用中职高考数学一轮复习讲练测考点讲与练原卷版docx、备战2024年中职高考中职数学一轮复习之专题突破讲练测专题15同角三角函数的基本关系讲-中职专用中职高考数学一轮复习讲练测考点讲与练解析版docx等2份试卷配套教学资源,其中试卷共9页, 欢迎下载使用。
一、考点要求
二、考点梳理
1.同角三角函数的基本关系.
设角的终边与单位圆的交点为,如图(1)所示,
那么, .
即角的正弦值等于它的终边与单位圆交点的纵坐标;角的余弦值等于它的终边与单位圆交点的横坐标.因此,角的终边与单位圆的交点的坐标为,如图所示.
(1) (2)
观察单位圆(如图(2)):由于角的终边与单位圆的交点为,根据三角函数的定义和勾股定理,可以得到
, .
后面的公式显示了同角的正弦函数与余弦函数之间的平方关系,前面的公式显示了同角的三个函数之间的商数关系,利用它们可以由一个已知的三角函数值,求出其他各三角函数值.
三、考点剖析
考点一:同角三角函数的基本关系
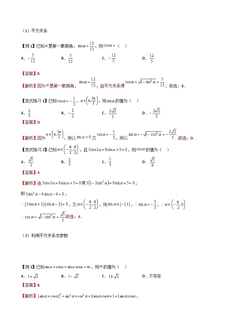
(1)平方关系
【例1】已知是第一象限角,,则( )
A.B.C.D.
【变式练习1】已知,,则的值为( )
A.B.C.D.
【变式练习2】已知,且,则的值为( )
A.B.C.D.
(2)利用平方关系求参数
【例2】已知,则的值为( )
A.B.C.D.不存在
【变式练习】已知,是方程的两根,则实数的值为( )
A.B.C.D.
考点二、
【例3】 已知为第二象限角,,则( )
A.B.C.D.
考点三、商数关系
【例4】已知为第二象限角,,则( )
A.B.C.D.
【变式练习】已知角的终边过点,则( )
A.B.C.D.
考点四、正余弦齐次式计算
【例5】已知,则( )
A.B.C.D.7
【变式练习1】已知,则( )
A.B.C.D.
【变式练习2】若,则( )
A.1B.2C.3D.4
考点五、同角三角函数的证明
【例6】求证:
(1);
(2).
【变式训练】求证:
(1)
(2)
考试内容
考试要求
1.同角三角函数的基本关系
2.“1”的代换
3.同角三角函数关系的应用
掌握
掌握
掌握
相关试卷
这是一份【备战2024年中职高考】中职数学 一轮复习专题训练(考点讲与练)专题39 概率(讲).zip,文件包含备战2024年中职高考中职数学一轮复习之专题突破讲练测专题39概率讲原卷版docx、备战2024年中职高考中职数学一轮复习之专题突破讲练测专题39概率讲解析版docx等2份试卷配套教学资源,其中试卷共16页, 欢迎下载使用。
这是一份【备战2024年中职高考】中职数学 一轮复习专题训练(考点讲与练)专题19 三角函数图象与性质(讲).zip,文件包含备战2024年中职高考中职数学一轮复习之专题突破讲练测专题19三角函数图象与性质讲原卷版docx、备战2024年中职高考中职数学一轮复习之专题突破讲练测专题19三角函数图象与性质讲解析版docx等2份试卷配套教学资源,其中试卷共19页, 欢迎下载使用。
这是一份【备战2024年中职高考】中职数学 一轮复习专题训练(考点讲与练)专题19 三角函数图象与性质(练).zip,文件包含备战2024年中职高考中职数学一轮复习之专题突破讲练测专题19三角函数图象与性质练原卷版docx、备战2024年中职高考中职数学一轮复习之专题突破讲练测专题19三角函数图象与性质练解析版docx等2份试卷配套教学资源,其中试卷共17页, 欢迎下载使用。

