



- 【备战2024年中职高考】中职数学 一轮复习专题训练(考点讲与练)专题13 任意角和弧度制(练).zip 试卷 0 次下载
- 【备战2024年中职高考】中职数学 一轮复习专题训练(考点讲与练)专题13任意角和弧度制(讲).zip 试卷 1 次下载
- 【备战2024年中职高考】中职数学 一轮复习专题训练(考点讲与练)专题14任意角的三角函数(讲).zip 试卷 1 次下载
- 【备战2024年中职高考】中职数学 一轮复习专题训练(考点讲与练)专题15同角三角函数的基本关系(练).zip 试卷 0 次下载
- 【备战2024年中职高考】中职数学 一轮复习专题训练(考点讲与练)专题15同角三角函数的基本关系(讲).zip 试卷 1 次下载
【备战2024年中职高考】中职数学 一轮复习专题训练(考点讲与练)专题14任意角的三角函数(练).zip
展开一、单选题
1.(2023年广东湛江市爱因高级中学(中职)高一期末)在平面直角坐标系中,角的顶点与原点重合,角的始边与轴的非负半轴重合,角的终边经过点,则( )
A. B. C. D.
【答案】A
【解析】因为,所以,所以答案选A
2.(2023年福建省上杭职业中专学校对口升学模拟卷)已知,且为第三象限,则( )
A. B. C. D.
【答案】A
【解析】因为,且为第三象限,所以不妨设的终边经过点,所以,答案选A
3.(2023年安徽省中职学校对口升学数学仿真卷20)已知角的终边经过点且,则
( )
【答案】C
【解析】因为,解得,答案选C
(2023年江苏生徐州市职业学校高一期末)已知角的终边经过点,则下列各式中正确的是( )
【答案】C
【解析】因为角的终边经过点所以,
所以,答案选C
(2023年湖南省桃源县职业中专高一期末)若,则角是( )角
第一象限
第二象限
第三象限
第四象限
【答案】D
【解析】因为所以是第三或第四象限角,同理,可知是第一或第四象限角,所以角是第四象限角,答案选D
6.(2023年温州市高职单招一模试卷)“角的终边经过点”是“”的( )
充分不必要条件
必要不充分条件
充要条件
既不充分也不必要条件
【答案】A
【解析】因为角的终边经过点,所以,即充分性成立,反之则不成立如即角的终边在第三象限时不会经过点,因此是充分不必要条件,答案选A
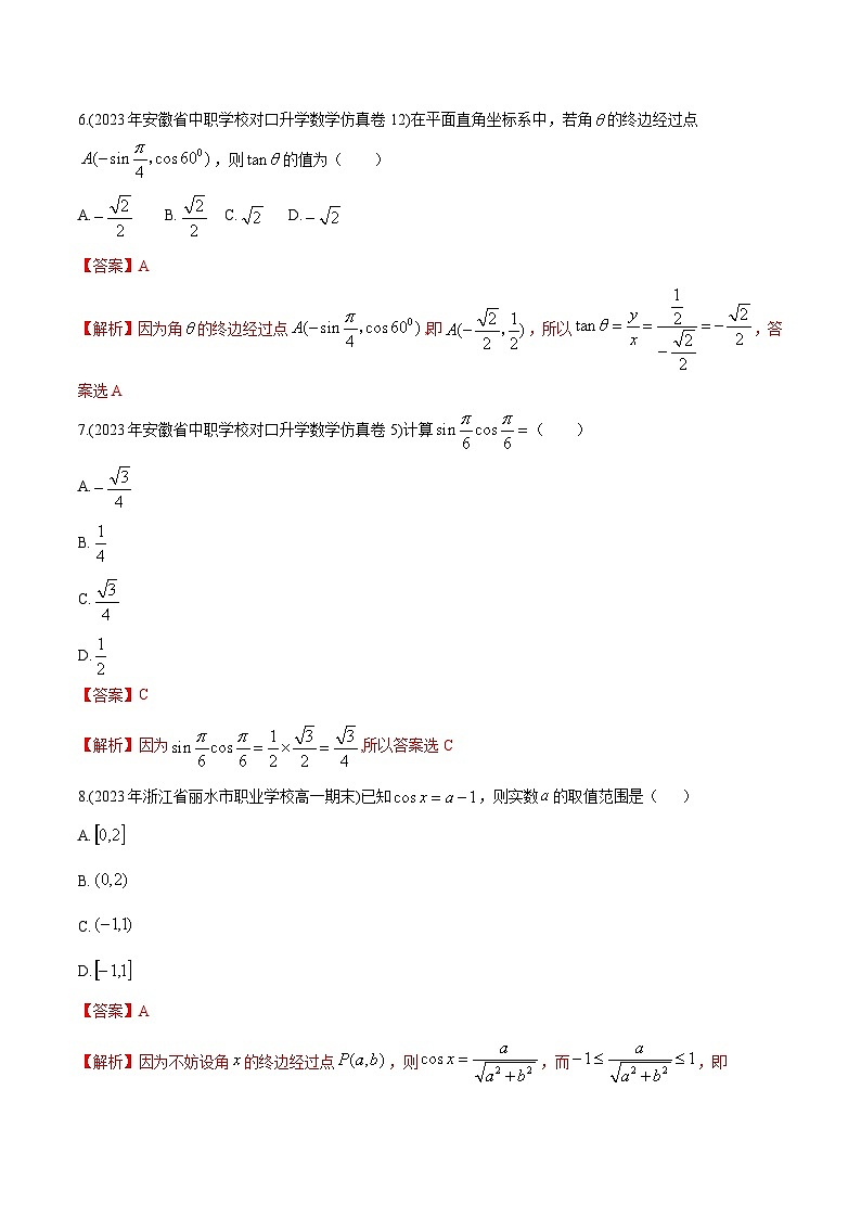
6.(2023年安徽省中职学校对口升学数学仿真卷12)在平面直角坐标系中,若角的终边经过点,则的值为( )
A. B. C. D.
【答案】A
【解析】因为角的终边经过点,即,所以,答案选A
7.(2023年安徽省中职学校对口升学数学仿真卷5)计算( )
A.
B.
C.
D.
【答案】C
【解析】因为,所以答案选C
8.(2023年浙江省丽水市职业学校高一期末)已知,则实数的取值范围是( )
A.
B.
C.
D.
【答案】A
【解析】因为不妨设角的终边经过点,则,而,即,解此不等式得,故答案选A
9.已知函数(,且)的图像恒过点P,若点是角终边上的一点,则( )
A.B.C.D.
【答案】D
【解析】∵,∴函数(,且)的图像恒过点,
∴由三角函数定义得故选:D
10.(2023年浙江单招模拟卷九)若角满足,则角必不在( )
A.第一象限
B.第二象限
C.第三象限
D.第四象限
【答案】A
【解析】当角在第一象限时,,所以
故角一定不在第一象限,
当角在第二象限时,,成立,
当角在第三象限时,,成立,
当角在第四象限时,,成立
因此答案选A
二、填空题
______(填)
【答案】
【解析】在第二象限,,在第四象限,,.
12.若角的终边经过点,其中,那么________.
【答案】1
【解析】因为,所以,所以,,
所以.
13.是的终边落在第一、二象限的_______________条件.(从 充分不必要,必要不充分,充要,既不充分也不必要 填空 )
【答案】必要不充分
【解析】如,则,但的终边不落在第一、二象限,故由得不到的终边落在第一、二象限;若的终边落在第一、二象限,则成立,故是的终边落在第一、二象限的必要不充分条件.
14.,,,的值分别是___,__,__,___.
【答案】
【解析】,,,,
15.已知角的终边经过点,且,则实数的a值是
【答案】
【解析】由题设,且,即,
∴,则,解得或,综上,.
16.在直角坐标系中,若点从点出发,沿圆心在原点,半径为3的圆按逆时针方向运动到达点,则点的坐标为
【答案】
【解析】根据题意可知,作出图示如下:
根据题意可得,,作轴且垂足为;
利用三角函数定义可得,;
又点在第四象限,所以点的坐标为.
三、解答题
17.设为第四象限角,其终边上的一个点是,且,求和.
【答案】, .
【解析】依题意,为第四象限角,其终边上的一个点是,则,
,解得,则,所以,
.
18.已知顶点在原点,始边与轴非负半轴重合的角的终边上有一点,且,求的值,并求与的值.
【答案】;当时,,;当时,,
【解析】,;
当时,,;
当时,,.
19.计算:
【答案】
【详解】
20.已知角的顶点为原点,始边与轴的非负半轴重合.若角的终边过点,且,判断角的终边所在的象限,并求和的值.
【答案】角的终边在第二或第三象限,当角的终边在第二象限时,
,;
当角的终边在第三象限时,
,.
【解析】依题意,得点到原点的距离,
∴.
∵,∴,∴,
∴,∴角的终边在第二或第三象限.
当角的终边在第二象限时,
,,;
当角的终边在第三象限时,
,,.
21.已知,且是第四象限角.
(1)若为角终边上的一点,写出符合条件的一个点坐标;
(2)求、的值.
【答案】(1)(2);
(2)根据三角函数基本定义进行求解
【详解】(1)假设,根据,则点坐标为
(2),,.
【备战2024年中职高考】中职数学 一轮复习专题训练(考点讲与练)专题39 概率(练).zip: 这是一份【备战2024年中职高考】中职数学 一轮复习专题训练(考点讲与练)专题39 概率(练).zip,文件包含备战2024年中职高考中职数学一轮复习之专题突破讲练测专题39概率中职专用-中职高考一轮复习讲练测练原卷版docx、备战2024年中职高考中职数学一轮复习之专题突破讲练测专题39概率中职专用-中职高考一轮复习讲练测练解析版docx等2份试卷配套教学资源,其中试卷共16页, 欢迎下载使用。
【备战2024年中职高考】中职数学 一轮复习专题训练(考点讲与练)专题30 椭圆(练) .zip: 这是一份【备战2024年中职高考】中职数学 一轮复习专题训练(考点讲与练)专题30 椭圆(练) .zip,文件包含备战2024年中职高考中职数学一轮复习之专题突破讲练测专题30椭圆练原卷版docx、备战2024年中职高考中职数学一轮复习之专题突破讲练测专题30椭圆练解析版docx等2份试卷配套教学资源,其中试卷共15页, 欢迎下载使用。
【备战2024年中职高考】中职数学 一轮复习专题训练(考点讲与练)专题28 圆(练).zip: 这是一份【备战2024年中职高考】中职数学 一轮复习专题训练(考点讲与练)专题28 圆(练).zip,文件包含备战2024年中职高考中职数学一轮复习之专题突破讲练测专题28圆练原卷版docx、备战2024年中职高考中职数学一轮复习之专题突破讲练测专题28圆练解析版docx等2份试卷配套教学资源,其中试卷共15页, 欢迎下载使用。