高中数学人教A版 (2019)选择性必修 第二册第四章 数列4.2 等差数列授课ppt课件
展开约翰·卡尔·弗里德里希·高斯,1777年4月30日–1855年2月23日),德国著名数学家、物理学家、天文学家、几何学家,大地测量学家。高斯被认为是世界上最重要的数学家之一,享有“数学王子”的美誉。
据说,二百多年前,高斯的算术老师提出了下面的问题: 1+2+3+…+100=?
思考:你能说说高斯在求和过程中利用了数列①的什么性质吗?你能从中得到求数列①的前?项和的方法吗?
将上述方法推广到一般,可以得到:
二、等差数列的前n项和公式
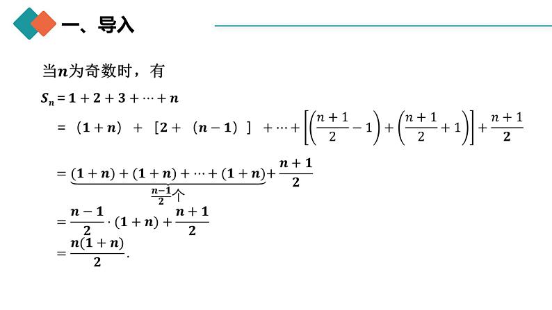
思考:我们发现,在求前?个正整数的和时,要对?分奇数、偶数进行讨论,比较麻烦.能否设法避免分类讨论?
探究:上述方法的妙处在哪里?这种方法能够推广到求等差数列{??}的前?项和吗?
思考: 不从公式(1)出发,你能用其他方法得到公式(2)吗?
所以,由所给的条件可以确定等差数列的首项和公差.
判断正误.(正确的画√,错误的画×)(1)只有在等差数列中S1等于a1.( )(2)数列的前n项和就是指从数列的第1项a1起,一直到第n项an所有项的和.( )(3)不存在这样的n的值,使公差为正数的等差数列前n项和Sn等于0.( )
1、在等差数列{an}中:(1)设Sn是等差数列{an}的前n项和,且a1=1,a4=7,则S9= . (2)设Sn为等差数列{an}的前n项和,若S3=3,S6=24,则a9= . (3)在等差数列{an}中,若a1=1,an=-512,Sn=-1 022,则公差d= .
答案 (1)81 (2)15 (3)-171解析: (1)设等差数列{an}的公差为d,则a4=a1+3d=1+3d=7,所以d=2.(2)设等差数列{an}的公差为d,
解得n=4.又由an=a1+(n-1)d,即-512=1+(4-1)d,解得d=-171.
2、(1)设等差数列{an}的前n项之和为Sn,已知a2=3,a5=9,则S5=( )A.15 B.20 C.25 D.30(2)若等差数列{an}的前5项和S5=25,且a2=3,则a7=( )A.12B.13C.14D.15(3)已知Sn为等差数列{an}的前n项的和,若a3=16,S20=20,Sn=110,则n= .
答案 (1)C (2)B (3)10或11
3、若数列{an}的前n项和Sn=2n2-3n,求数列{an}的通项公式,并判断数列{an}是否是等差数列.若是,请证明;若不是,请说明理由.
解 :当n=1时,S1=a1=-1; 当n≥2时, an=Sn-Sn-1=2n2-3n-2(n-1)2+3(n-1)=4n-5,经检验,当n=1时,a1=-1满足上式,故 an=4n-5.因为 an+1-an=4(n+1)-5-4n+5=4,所以数列{an}是等差数列.
4、若数列{an}的前n项和Sn=2n2-3n-1,求数列{an}的通项公式,并判断数列{an}是否是等差数列.若是,请证明;若不是,请说明理由.
5、疫苗是解决病毒传染的关键,为了早日生产某种病毒疫苗,某研究所计划建设n个实验室,从第1到第n实验室的建设费用依次构成等差数列,已知第7实验室比第2实验室的建设费用高15万元,第3实验室和第6实验室的建设费用共为61万元,现在总共有建设费用438万元.则该研究所最多可以建设的实验室个数是( )A.10B.11C.12D.13
求等差数列前n项和方法:倒序相加等差数列前n项和公式:
教习网(以下简称“本网站”)系属深圳市智学帮科技有限公司(以下简称“本公司”)旗下网站,为维护本公司合法权益,现依据相关法律法规作出如下郑重声明:1.本文件仅用于个人学习、研究,不得用于商业性或盈利性用途,不得侵犯本司及相关权利人的合法权利。一旦发现侵权,本公司将联合司法机关获取相关用户信息并要求侵权者承担相关法律责任。2.本网站上所有原创内容,是本公司依据相关法律法规,安排专项经费运营规划,组织老师创作完成,著作权归属本公司所有。3.经由网站用户上传至本网站的课件、教案、学案、试卷等内容,其作品仅代表作者本人观点,本网站不保证其内容的有效性,凡因本作品引发的任何法律纠纷,均由上传用户承担法律责任,本网站仅有义务协助司法机关了解事实情况。
教习网()专为 K12教育老师提供同步备课资料下载、教学经验学习等服务的互联网教育平台。为了进一步完善网站的资料体系,最大化满足用户的精品资源需求,现诚邀全国各地优秀一线老师加入教习网兼职创作老师团队,参与资源建设,获取高额现金收益。兼职招募详情请看:
教习网诚挚地为各位老师推荐两款免费的朗读小程序,可用于课前预习、课中学习和课后复习,打开微信扫下方二维码即可使用,欢迎分享广大师生使用。
高中人教A版 (2019)4.2 等差数列一等奖课件ppt: 这是一份高中人教A版 (2019)<a href="/sx/tb_c4000340_t3/?tag_id=26" target="_blank">4.2 等差数列一等奖课件ppt</a>,共19页。PPT课件主要包含了学习目标,形式1,形式2,解法1,由S3S11得,∴d-2,解法2,d-20,则Sn的图象如图所示,又S3S11等内容,欢迎下载使用。
高中数学人教A版 (2019)选择性必修 第二册4.2 等差数列优质课ppt课件: 这是一份高中数学人教A版 (2019)选择性必修 第二册<a href="/sx/tb_c4000340_t3/?tag_id=26" target="_blank">4.2 等差数列优质课ppt课件</a>,共20页。PPT课件主要包含了学习目标,问题2,偶数项,奇数项,问题1,问题3,等差数列前n项和公式,请记住我等内容,欢迎下载使用。
人教A版 (2019)选择性必修 第二册第四章 数列4.2 等差数列课文课件ppt: 这是一份人教A版 (2019)选择性必修 第二册第四章 数列4.2 等差数列课文课件ppt,文件包含人教A版高中数学选修二422等差数列的前n项和公式第二课时课件pptx、人教A版高中数学选修二422等差数列的前n项和公式第二课时练习docx等2份课件配套教学资源,其中PPT共44页, 欢迎下载使用。

