所属成套资源:全套人教A版高中数学必修第一册课时分层作业含答案
人教A版高中数学必修第一册课时分层作业54两角和与差的正切公式含答案
展开
这是一份人教A版高中数学必修第一册课时分层作业54两角和与差的正切公式含答案,文件包含人教A版高中数学必修第一册课时分层作业54答案docx、人教A版高中数学必修第一册课时分层作业54两角和与差的正切公式含答案docx等2份试卷配套教学资源,其中试卷共9页, 欢迎下载使用。
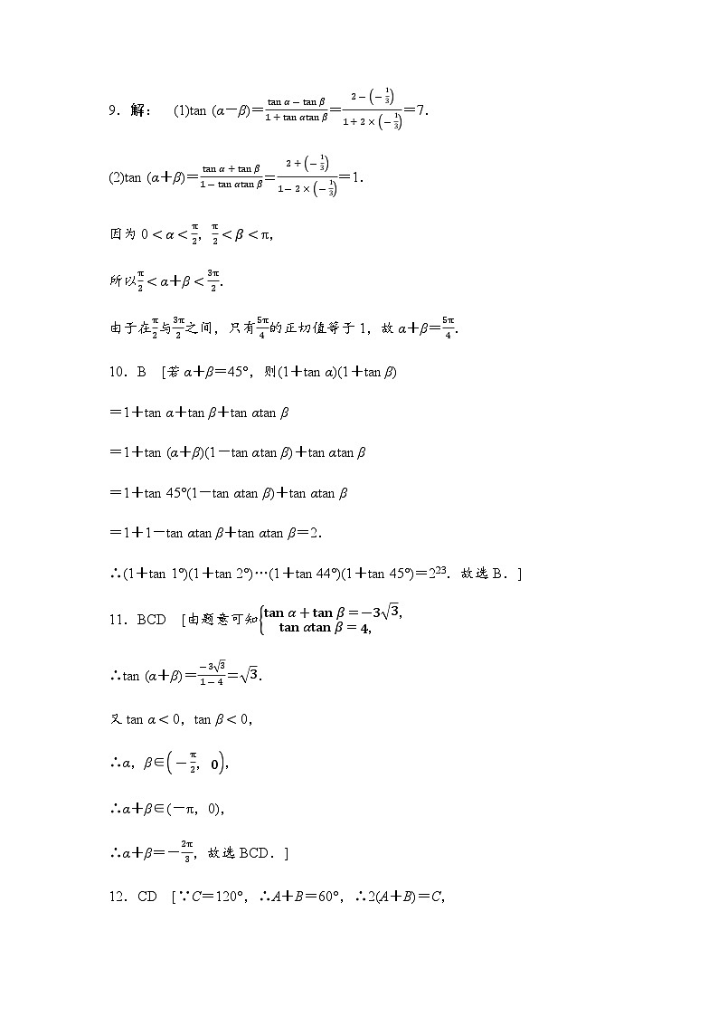
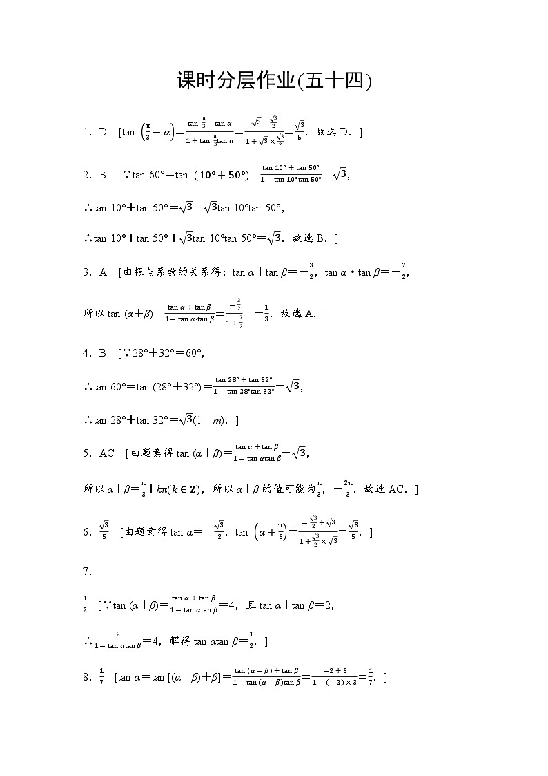
课时分层作业(五十四) 两角和与差的正切公式一、选择题1.(2022·湖北丹江口市第一中学月考)若tan α=32,则tan π3-α=( )A.-35 B.0 C.33 D.352.(2022·吉林东北师大附中月考)tan 10°+tan 50°+3tan 10°tan 50°的值为( )A.33 B.3 C.1 D.-33.(2022·四川成都期中)若tan α,tan β是方程2x2+3x-7=0两个实数根,则tan (α+β)=( )A.-13 B.B.13 C.-32 D.254.若tan 28°·tan 32°=m,则tan 28°+tan 32°=( )A.3m B.3(1-m)C.3(m-1) D.3(m+1)5.(多选)(2022·辽宁实验中学期中)若tan α+tan β=3-3tan αtan β,则α+β的值可能为( )A.π3 B.π6 C.-2π3 D.-5π6二、填空题6.(2022·湖南衡阳期末)已知角α的终边经过点(-2,3),则tan α+π3=________.7.已知tan α+tan β=2,tan (α+β)=4,则tan αtan β=________.8.若tan β=3,tan (α-β)=-2,则tan α=________.三、解答题9.(源自北师大版教材)已知tan α=2,tan β=-13,其中0

