所属成套资源:【简约实用】高教版(2021)中职数学 拓展模块二下册 课件+教案+课内练习题答案+教学计划
- 【简约实用】高教版(2021)中职数学 拓展模块二下册 6.1和角公式课件+教案+课内练习题答案 课件 13 次下载
 - 【简约实用】高教版(2021)中职数学 拓展模块二下册 6.3正弦型函数的图像和性质课件+教案+课内练习题答案 课件 12 次下载
 - 【简约实用】高教版(2021)中职数学 拓展模块二下册 6.4解三角形课件+教案+课内练习题答案 课件 12 次下载
 - 【简约实用】高教版(2021)中职数学 拓展模块二下册 6.5三角计算的应用课件+教案+课内练习题答案 课件 10 次下载
 - 【简约实用】高教版(2021)中职数学 拓展模块二下册 7.1数列的概念课件+教案+课内练习题答案 课件 10 次下载
 
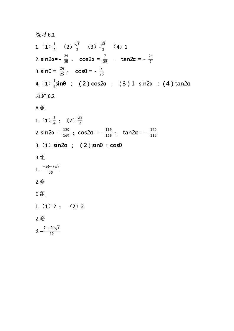
高教版(2021)拓展模块二 下册6.2 二倍角公式练习题课件ppt
展开这是一份高教版(2021)拓展模块二 下册6.2 二倍角公式练习题课件ppt,文件包含高教版2021中职数学拓展模块二下册62二倍角公式课件pptx、高教版2021中职数学拓展模块二下册62二倍角公式教案docx、高教版2021中职数学拓展模块二下册62二倍角公式课内习题答案docx等3份课件配套教学资源,其中PPT共16页, 欢迎下载使用。
二倍角公式是三角计算中常用的一组公式.用角α的三角函数值表示其二倍角2α的三角函数值,在化简、求值、证明及工程中有着广泛的运用.
6.2 二倍角公式
在两角和的余弦、正弦和正切公式中,当α=β时,我们能得到什么结果呢?
因为 sin²α+cs²α=1,所以cs2α又可以表示为cs2α=2cs²α-1或cs2α= 1-2sin²α.
于是,我们得到二倍角的正弦、余弦和正切公式:
上面三个公式统称二倍角公式.
1.书面作业:完成课后习题和《学习指导与练习》;2.查漏补缺:根据个人情况对课堂学习复习与回顾;3.拓展作业:阅读教材扩展延伸内容.
相关课件
这是一份高教版(2021)拓展模块二 下册9.2 正态分布优秀练习题习题ppt课件,文件包含高教版2021中职数学拓展模块二下册92正态分布课件pptx、高教版2021中职数学拓展模块二下册92正态分布教案docx、高教版2021中职数学拓展模块二下册92正态分布课内习题答案docx等3份课件配套教学资源,其中PPT共20页, 欢迎下载使用。
这是一份中职数学高教版(2021)拓展模块二 下册8.1.1 分类计数原理练习题课件ppt,文件包含高教版2021中职数学拓展模块二下册81计数原理课件pptx、高教版2021中职数学拓展模块二下册81计数原理教案docx、高教版2021中职数学拓展模块二下册81计数原理课内习题答案docx等3份课件配套教学资源,其中PPT共26页, 欢迎下载使用。
这是一份中职数学高教版(2021)拓展模块二 下册7.3 等比数列优秀练习题习题课件ppt,文件包含高教版2021中职数学拓展模块二下册73等比数列课件pptx、高教版2021中职数学拓展模块二下册73等比数列教案docx、高教版2021中职数学拓展模块二下册73等比数列课内习题答案docx等3份课件配套教学资源,其中PPT共31页, 欢迎下载使用。

