


江苏省南京市南航附属高级中学2023-2024学年高一上学期期中数学试题(解析版)
展开
这是一份江苏省南京市南航附属高级中学2023-2024学年高一上学期期中数学试题(解析版),共15页。试卷主要包含了单选题,多选题,填空题,解答题等内容,欢迎下载使用。
一、单选题(本大题共8小题,每小题5分,共40分.在每小题给出的四个选项中,只有一项是符合题目要求的)
1. 集合的子集个数为( )
A. 5B. 6C. 7D. 8
【答案】D
【解析】
【分析】由已知集合列举出所有子集求子集的个数.
【详解】由题设,M真子集为,,,,,,,,共8个.
故选:D.
2. 如果,,那么下面一定成立的是( )
A. B. C. D.
【答案】D
【解析】
【分析】根据不等式性质逐项判断即可.
【详解】解:对A,令,,,,满足,
,,即,故A错误;
对B,因为,,所以,,由不等式得性质可得:,故B错误;
对C,因为,且,所以,故C错误;
对D,因为,且,由不等式的性质得:,即,故D正确.
故选:D.
3. ,则的一个必要条件是( ).
A. B. C. D.
【答案】A
【解析】更多免费优质滋源请 家 威杏 MXSJ663 【分析】根据必要条件的定义直接即可选出.
【详解】因为若,则成立,所以是的一个必要条件.
故选:A.
4. 函数的定义域为( )
A. B. C. D.
【答案】C
【解析】
【分析】根据根式、分式性质求定义域即可.
【详解】要使有意义,则,解得,
所以的定义域为.
故选:C
5. 函数的图象大致为( )
A. B. C. D.
【答案】D
【解析】
【分析】将函数改写为分段形式,即可确定图象.
【详解】由,则对应的图象为D.
故选:D.
6. 已知a,b为正实数,且,则的最小值为( )
A. 3B. 4C. 5D. 6
【答案】B
【解析】
【分析】利用基本不等式可得答案.
【详解】因为a,b为正实数,且,
所以,
当且仅当等号成立.
故选:B.
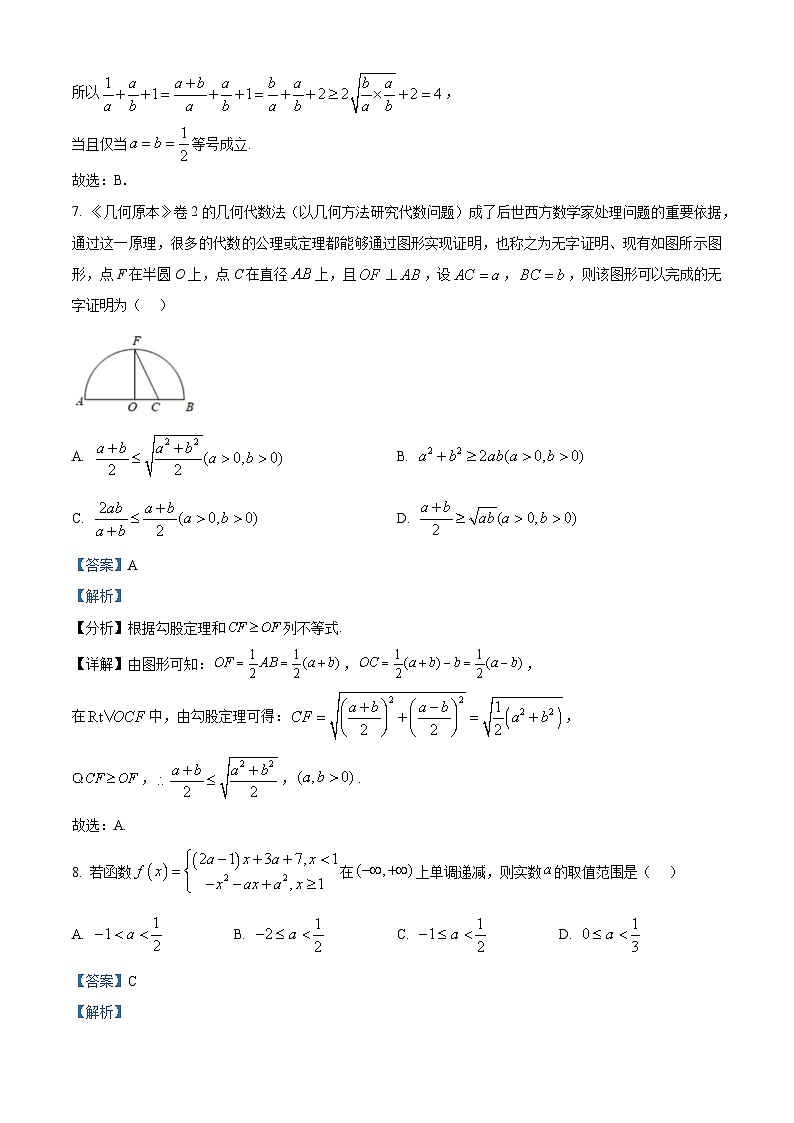
7. 《几何原本》卷2的几何代数法(以几何方法研究代数问题)成了后世西方数学家处理问题的重要依据,通过这一原理,很多的代数的公理或定理都能够通过图形实现证明,也称之为无字证明、现有如图所示图形,点F在半圆O上,点C在直径上,且,设,,则该图形可以完成的无字证明为( )
A. B.
C. D.
【答案】A
【解析】
【分析】根据勾股定理和列不等式.
【详解】由图形可知:,,
在中,由勾股定理可得:,
,,.
故选:A.
8. 若函数在上单调递减,则实数的取值范围是( )
A. B. C. D.
【答案】C
【解析】
【分析】函数在上单调递减,一次函数斜率小于零,二次函数对称轴大于,且保证分段函数有意义,当上面函数值大于等于下面,求出交集即可.
【详解】因为函数在上单调递减,
则
即,
得,
故选:C.
【点睛】由函数单调性和表达式确定一次函数的系数和二次函数的对称轴关系,再注意满足分段函数有意义.
二、多选题(本大题共4小题,每小题5分,共20分.在每小题给出的四个选项中,有多项符合题目要求的,全部选对的得5分,部分选对的得2分,有选错的得0分)
9. 下列说法正确的是( )
A. “a>1”是“”的充分不必要条件
B. 命题“x>1,x2<1”的否定是“x<1,x2≥1”
C. “x>1”是“”的必要条件
D. 设a,b∈,则“a≠0”是“ab≠0”的必要不充分条件
【答案】AD
【解析】
【分析】A.解得的解集,从集合的角度,即可判断充分性和必要性;
B.根据带量词的命题的否定求解办法,改量词,否结论,即可判断;
C.求得不等式的解集,再从集合角度,即可判断充分性和必要性;
D.从充分性和必要性的角度,结合特值即可判断.
【详解】:求解不等式,可得,
则,
故“a>1”是“”的充分不必要条件,正确;
:命题“x>1,x2<1”的否定是“x,x2≥1”,故错误;
C:求解不等式可得:,
则,
故“x>1”是“”的充分条件不必要,故错误;
:当时,则,故充分性不成立;
当时,一定有,故必要性成立,
则“a≠0”是“ab≠0”的必要不充分条件,故正确.
综上所述,正确的选项是.
故选:.
10. 已知函数,则下列说法正确的是( )
A. 定义域是
B. 的最小值是
C. 无零点
D. 的解集是
【答案】AB
【解析】
【分析】选项A根据分母不为零即可求得定义域;选项B根据均值不等值进行求解;选项C令进行求解;选项D不等式转化为,则或,再利用一元二次不等式进行求解.
【详解】对于A,由分母不为零可知,函数的定义域为,故选项A正确;
对于B,,当且仅当时等号成立,则函数的最小值为,故选项B正确;
对于C,,解得或,所以有四个零点,故选项C错误;
对于D,即,即,即,
或,解得或或或,故选项D错误.
故选:AB.
11. 下列说法正确的是( )
A. 若f(x+1)的定义域为[-2,3),则f(x-2)的定义域是[-1,4)
B. 函数的值域是(-∞,1)∪(1,+∞)
C. 不等式的解集为(1,3)
D. 与表示不同的函数
【答案】CD
【解析】
【分析】根据抽象函数定义域的求解方法,函数值域的求解方法、分式不等式的求解以及函数相同的定义,对每个选项进行逐一分析即可判断.
【详解】A:因为的定义域为,故可得:,则,
故的定义域为;则对函数,只需,
解得,则的定义域为,故错误;
B:,则在时,单调递增,
故在的最小值为,也即,故错误;
C:不等式,即,则,其解集为,故正确;
D:的定义域是;的定义域是,
函数定义域不同,则两个函数一定不同,故正确.
故选:.
12. 已知定义在上的函数的图象是连续不断的,且满足以下条件:①,;②,当时,;③.则下列选项成立的是( )
A. B. 若,则
C. 若,则D. ,,使得
【答案】ACD
【解析】
【分析】根据给定条件探求出函数的奇偶性和在的单调性,再逐一分析各选项的条件,计算判断作答.
【详解】由,得:函数是R上的偶函数,
由,,得:在上单调递增,
对于A,,A正确;
对于B,,又函数的图象是连续不断的,
则有,解得,B不正确;
对于C,由及得,,解得或,
由得:,解得,
化为:或,解得或,即,C正确;
对于D,因上的偶函数的图象连续不断,且在上单调递增,
因此,,,取实数,使得,则,,D正确.
故选:ACD
【点睛】思路点睛:解涉及奇偶性的函数不等式,一般先利用函数的奇偶性得出区间上的单调性,再利用其单调性脱去函数的符号“f”,转化为解不等式(组)的问题,若f(x)为偶函数,则f(-x)=f(x)=f(|x|).
三、填空题(本大题共4题,每小题5分,共20分)
13. 命题的否定是____________________.
【答案】##
【解析】
【分析】根据全称量词命题的否定的知识写出正确答案.
【详解】全称量词命题的否定是存在量词命题,要注意否定结论,
所以命题的否定是:
故答案为:
14. 已知,为实数,设,则___________.
【答案】1
【解析】
【分析】根据指数式与对数式的互化,以及换底公式,对数的运算性质即可解出.
【详解】因为,所以,,
因此.
故答案为:1.
15. 已知函数为定义在R上的奇函数,当时,,则的值为___________.
【答案】-2021
【解析】
【分析】根据奇函数的定义即可解出.
【详解】.
故答案为:-2021.
16. 已知非负实数满足,则的最小值为___________.
【答案】6
【解析】
【分析】根据,利用基本不等式即可得出答案,注意同时取等号.
【详解】解:因为,
所以
,
当且仅当,即时,取等号,
所以的最小值为6.
故答案为:6.
四、解答题(本大题共6小题,共70分,解答时应写出文字说明、证明过程或演算步骤)
17. 化简下列各式:
(1);
(2)
【答案】(1)
(2)
【解析】
【分析】(1)将小数化成分数再由指数幂运算性质即可求解
(2)根据对数的运算性质即可求解.
【小问1详解】
.
【小问2详解】
.
18. 已知集合.
(1)若求;
(2)若求的取值集合.
【答案】(1);(2).
【解析】
【分析】(1)求解集合,根据交集的定义计算;(2)由,可得,分别讨论为空集和不为空集两种情况下的范围,再求并集即为最终范围.
【详解】解:由,得,
解得,即
当时,,
故.
由,可得
当时,由,解得;
当时,可得,
解得
综上所述,的取值集合为.
19. 已知函数是定义在上的奇函数,当时,.
(1)求函数在上的解析式;
(2)判断函数在区间上的单调性,并用定义给出证明.
【答案】(1),
(2)函数在区间上是增函数,证明见解析;
【解析】
【分析】(1)当时,由即可求得解析式,结合可得最终结果;
(2)利用定义法证明函数单调性即可.
【小问1详解】
由时,可知,,
又为奇函数,故,并且,
函数在上的解析式为;
【小问2详解】
单调递增.
证明:设,且,
则
,
,
,
又
,,
,即,
函数在区间上是增函数,得证.
20. 已知函数.
(1)求的解析式,并证明是奇函数.
(2)若不等式成立,求实数的取值范围.
【答案】(1),证明见解析;
(2)
【解析】
【分析】(1)应用换元法可得,写出对应分段函数形式,利用奇偶性定义证函数的奇偶性;
(2)根据奇函数性质有,结合其解析式列不等式组,注意分类讨论求参数范围.
【小问1详解】
令,则,即,
当,则;
当,则;
当,则;
所以,显然,
由,则,故,
由,则,故,
由,则,故,
由,则,故,
综上,解析式为,且为奇函数.
【小问2详解】
由题设,
当,则,可得;
当,则,可得;
综上,,即实数的取值范围.
21. 某呼吸机生产企业计划投资固定成本500万元引进先进设备,用于生产救治新冠肺炎患者的无创呼吸机,需要投入成本y(单位:万元)与年产量x(单位:百台)的函数关系式为.据以往出口市场价格,每台呼吸机的售价为3万元,且依据国外疫情情况,预测该年度生产的无创呼吸机能全部售完.
(1)求年利润t(单位:万元)关于年产量x函数解析式(利润=销售额-投入成本固定成本);
(2)当年产量为多少时,年利润最大?并求出最大年利润.
【答案】(1)
(2)8000台,1040万元
【解析】
【分析】(1)分别求出和时的解析式,即可得到年利润t(单位:万元)关于年产量x的函数解析式;
(2)分别求出和时的最大值,比较大小,即可得到最大年利润.
【小问1详解】
当时,;
当时,.
所以.
【小问2详解】
当时,,
故当时,t取得最大值,625,
当时,因为,
当且仅当,即时等号成立,
所以,
即当时,t取得最大值,为1040,
综上所述,当年产量为8000台时,年利润最大,且最大年利润为1040万元.
22. 已知二次函数.
(1)设,,函数在的最大值是,求函数;
(2)若(为实数),对于任意,总存在使得成立,求实数的取值范围.
【答案】(1);(2).
【解析】
【分析】(1)求出,进而讨论t=0和t>0两种情况求出函数的最大值,然后求出;
(2)求出两个函数的值域,根据题意可以得到两个函数值域之间的包含关系,进而求出k的范围.
【详解】(1),
①t=0时,在上单调递减,所以;
②t>0时,函数对称轴为:,
若,则,
若,则.
综上:
(2)在上单调递增,则,
由(1),则.
因为对于任意,总存在使得成立,所以.
相关试卷
这是一份2023-2024学年江苏省南京市南航附属高级中学高一上学期期中数学试题含答案,共13页。试卷主要包含了单选题,多选题,填空题,解答题等内容,欢迎下载使用。
这是一份2023-2024学年江苏省苏州市南航苏州附中高一上学期12月阳光测试数学试题含答案,共16页。试卷主要包含了单选题,多选题,填空题,解答题等内容,欢迎下载使用。
这是一份江苏省南京市四校2023-2024学年高一上学期期中联考数学试题(Word版附解析),共14页。试卷主要包含了单项选择题,多项选择题,填空题,解答题等内容,欢迎下载使用。