还剩42页未读,
继续阅读
所属成套资源:江苏专版2023_2024学年新教材高中数学新人教A版选择性必修第一册分层作业课件(31分)
成套系列资料,整套一键下载
- 江苏专版2023_2024学年新教材高中数学第一章空间向量与立体几何1.4.2用空间向量研究距离夹角问题第一课时距离问题分层作业课件新人教A版选择性必修第一册 课件 0 次下载
- 江苏专版2023_2024学年新教材高中数学第一章空间向量与立体几何1.4.2用空间向量研究距离夹角问题第二课时夹角问题分层作业课件新人教A版选择性必修第一册 课件 0 次下载
- 江苏专版2023_2024学年新教材高中数学第一章空间向量与立体几何综合训练课件新人教A版选择性必修第一册 课件 0 次下载
- 江苏专版2023_2024学年新教材高中数学第二章直线和圆的方程2.1.1倾斜角与斜率分层作业课件新人教A版选择性必修第一册 课件 0 次下载
- 江苏专版2023_2024学年新教材高中数学第二章直线和圆的方程2.1.2两条直线平行和垂直的判定分层作业课件新人教A版选择性必修第一册 课件 0 次下载
江苏专版2023_2024学年新教材高中数学第一章空间向量与立体几何测评课件新人教A版选择性必修第一册
展开
这是一份江苏专版2023_2024学年新教材高中数学第一章空间向量与立体几何测评课件新人教A版选择性必修第一册,共50页。
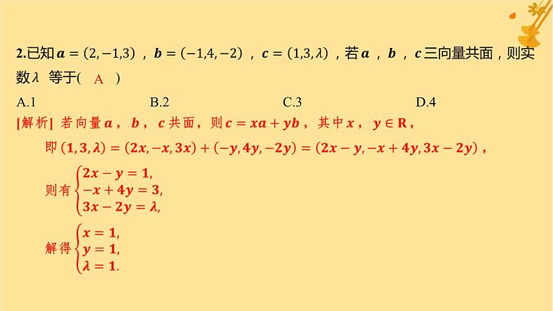
01第一章测评(时间:120分钟 满分:150分)一、选择题:本题共8小题,每小题5分,共40分.在每小题给出的四个选项中,只有一项是符合题目要求的. A AA.1 B.2 C.3 D.4 A D B D C B 二、选择题:本题共4小题,每小题5分,共20分.在每小题给出的选项中,有多项符合题目要求.全部选对的得5分,部分选对的得2分,有选错的得0分. AB ABD AC ABD 三、填空题:本题共4小题,每小题5分,共20分. ①③④ [解析] 建立如图所示的空间直角坐标系, 四、解答题:本题共6小题,共70分.解答应写出文字说明、证明过程或演算步骤. 图1图2
相关资料
更多

