







还剩11页未读,
继续阅读
所属成套资源:江苏专版2023_2024学年新教材高中数学苏教版选择性必修第一册分层作业(66份)
成套系列资料,整套一键下载
- 江苏专版2023_2024学年新教材高中数学第4章数列培优课9等差数列的性质分层作业课件苏教版选择性必修第一册 课件 0 次下载
- 江苏专版2023_2024学年新教材高中数学第4章数列培优课10用an与Sn的关系求通项公式分层作业课件苏教版选择性必修第一册 课件 0 次下载
- 江苏专版2023_2024学年新教材高中数学第4章数列培优课数列求和分层作业课件苏教版选择性必修第一册 课件 1 次下载
- 江苏专版2023_2024学年新教材高中数学第4章数列培优课数列的奇偶项问题分层作业课件苏教版选择性必修第一册 课件 0 次下载
- 江苏专版2023_2024学年新教材高中数学第4章数列培优课构造辅助数列求通项公式1分层作业课件苏教版选择性必修第一册 课件 0 次下载
苏教版 (2019)选择性必修第一册4.1 数列作业ppt课件
展开
这是一份苏教版 (2019)选择性必修第一册4.1 数列作业ppt课件,共19页。PPT课件主要包含了A层基础达标练,B层能力提升练,C层拓展探究练等内容,欢迎下载使用。
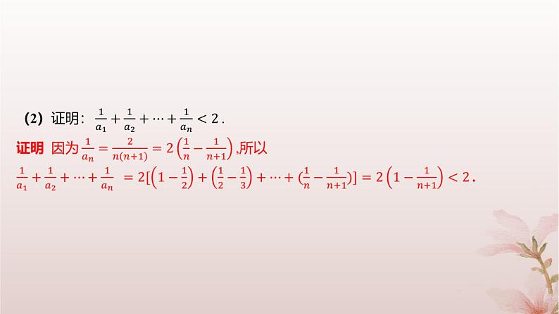
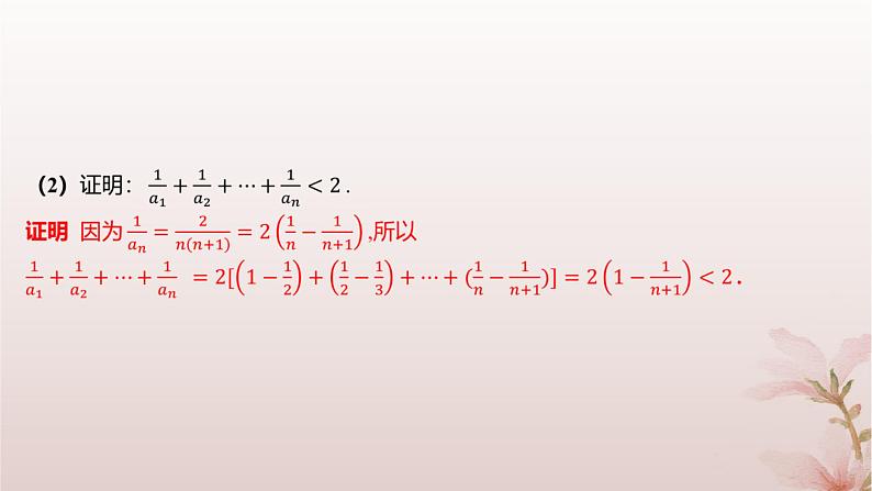
A.5B.4C.3D.2
相关课件
高中数学4.1 数列图文课件ppt:
这是一份高中数学4.1 数列图文课件ppt,共19页。
高中数学苏教版 (2019)选择性必修第一册4.1 数列说课ppt课件:
这是一份高中数学苏教版 (2019)选择性必修第一册4.1 数列说课ppt课件,共31页。
高中数学苏教版 (2019)选择性必修第一册4.1 数列作业课件ppt:
这是一份高中数学苏教版 (2019)选择性必修第一册4.1 数列作业课件ppt,共19页。PPT课件主要包含了A层基础达标练,B层能力提升练,C层拓展探究练等内容,欢迎下载使用。