新北师大版高中数学必修第一册全册PPT课件word教案学案(共155份)
展开随机事件
【教学目标】
1.知识技能目标:了解必然事件、不可能事件、随机事件的特点。
2.数学思考目标:学生经历体验、操作、观察、归纳、总结的过程,发展学生从纷繁复杂的表象中,提炼出本质特征并加以抽象概括的能力。
3.解决问题目标:能根据随机事件的特点,辨别哪些事件是随机事件。
4.情感态度目标:引领学生感受随机事件就在身边,增强学生珍惜机会,把握机会的意识。
【教学重点】
随机事件的特点。
【教学难点】
判断现实生活中哪些事件是随机事件。
【教学过程】
一、活动一
问题情境
摸球游戏
三个不透明的袋子均装有10个乒乓球。挑选多名同学来参加游戏。
游戏规则
每人每次从自己选择的袋子中摸出一球,记录下颜色,放回,搅匀,重复前面的试验。每人摸球5次。按照摸出黄色球的次数排序,次数最多的为第一名,其次为第二名,最少的为第三名。
师生行为
教师事先准备的三个袋子中分别装有10个白色的乒乓球;5个白色的乒乓球和5个黄色的乒乓球;10个黄色的乒乓球。
学生积极参加游戏,通过操作和观察,归纳猜测出在第1个袋子中摸出黄色球是不可能的,在第2个袋子中能否摸出黄色球是不确定的,在第3个袋子中摸出黄色球是必然的。
教师适时引导学生归纳出必然发生的事件、随机事件、不可能发生的事件的特点。
设计意图
通过生动、活泼的游戏,自然而然地引出必然发生的事件、随机事件和不可能发生的事件,不仅能够激发学生的学习兴趣,并且有利于学生理解。能够巧妙地实现从实践认识到理性认识的过渡。
二、活动二
问题情境
指出下列事件中哪些是必然发生的,哪些是不可能发生的,哪些是随机事件?
1.通常加热到100°C时,水沸腾;
2.姚明在罚球线上投篮一次,命中;
3.掷一次骰子,向上的一面是6点;
4.度量三角形的内角和,结果是360°;
5.经过城市中某一有交通信号灯的路口,遇到红灯;
6.某射击运动员射击一次,命中靶心;
7.太阳东升西落;
8.人离开水可以正常生活100天;
9.正月十五雪打灯;
10.宇宙飞船的速度比飞机快。
师生行为
教师利用多媒体课件演示问题,使问题情境更具生动性。
学生积极思考,回答问题,进一步夯实必然发生的事件、随机事件和不可能发生的事件的特点。在比较充分的感知下,达到加深理解的目的。
教师在学生完成问题后应注意引导学生发现在我们生活的周围大量地存在着随机事件。
设计意图
引领学生经历由实践认识到理性认识再重新认识实践问题的过程,同时引入一些常识问题,使学生进一步感悟数学是认识客观世界的重要工具。
三、活动三
问题情境
情境1
5名同学参加讲演比赛,以抽签方式决定每个人的出场顺序。签筒中有5根形状、大小相同的纸签,上面分别标有出场的序号1,2,3,4,5.小军首先抽签,他在看不到纸签上的数字的情况下从签筒中随机地抽取一根纸签。
情境2
小伟掷一个质地均匀的正方体骰子,骰子的六个面上分别刻有1到6的点数。
在具体情境中列举不可能发生的事件、必然发生的事件和随机事件。
师生行为
学生首先独立思考,再把自己的观点和小组其他同学交流,并提炼出小组成员列举的主要事件,在全班发布。
设计意图
开放性的问题有利于培养学生的发散性思维和创新思维,也有利于学生加深对学习内容的理解。
四、活动四
问题情境
请你列举一些生活中的必然发生的事件、随机事件和不可能发生的事件。
师生行为
教师引导学生充分交流,热烈讨论。
设计意图
随机事件在现实世界中广泛存在。通过让学生自己找到大量丰富多彩的实例,使学生从不同侧面、不同视角进一步深化对随机事件的理解与认识。
五、抽象归纳
一般地,把试验E的样本空间Ω的子集称为E的随机事件,简称事件,常用A,B,C等表示。在每次试验中,当一个事件发生时,这个子集中的样本点必出现一个;反之,当这个子集中的一个样本点出现时,这个事件必然发生。
样本空间Ω是其自身的子集,因此Ω也是一个事件;又因为它包含所有的样本点,每次试验无论哪个样本点w出现,Ω都必然发生,因此称Ω为必然事件。
空集也是Ω的一个子集,可以看作一个事件;由于它不包含任何样本点,它在每次试验中都不会发生,故称为不可能事件。
设计意图
从具体问题到抽象归纳,提升学生抽象总结能力。
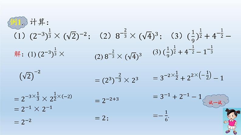
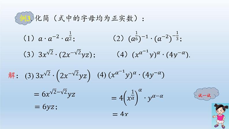
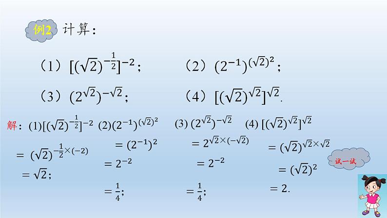
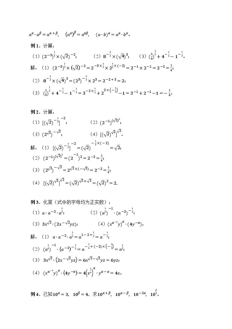
新北师大版高中数学选择性必修第一册全套PPT课件配套word讲义及试题(师说): 这是一份北师大版 (2019)必修 第一册全册综合示范课ppt课件,文件包含522pptx、541pptx、621-2pptx、第三章章末复习课pptx、212pptx、71pptx、242pptx、221pptx、第一章章末复习课pptx、73pptx、65pptx、222pptx、111-2pptx、123pptx、121pptx、114pptx、321-22pptx、631pptx、321-21pptx、641pptx、3421pptx、231pptx、211pptx、513pptx、632pptx、3431pptx、1133pptx、1162pptx、531pptx、1131pptx、232pptx、第二章章末复习课pptx、3432pptx、241pptx、311pptx、511-2pptx、642pptx、124pptx、第六章章末复习课pptx、521pptx、3422pptx、341pptx、542pptx、3433pptx、115pptx、612pptx、611pptx、1161pptx、122pptx、312pptx、1132pptx、532pptx、331pptx、3322pptx、72pptx、3321pptx、613pptx、第五章章末复习课pptx、第七章章末复习课pptx、目录pptx、章末质量检测六doc、课时作业五十四doc、章末质量检测三doc、章末质量检测五doc、章末质量检测二doc、课时作业五十二doc、课时作业五十三doc、课时作业二十六doc、章末质量检测四doc、课时作业三十doc、课时作业三十一doc、课时作业二十二doc、课时作业三十三doc、课时作业三十二doc、课时作业二十九doc、课时作业十八doc、课时作业二十五doc、课时作业二十八doc、课时作业二十四doc、课时作业五十一doc、课时作业十三doc、课时作业十六doc、课时作业十四doc、课时作业四十七doc、课时作业四十九doc、课时作业四十八doc、课时作业四十六doc、章末质量检测一doc、课时作业四十四doc、课时作业二十七doc、课时作业三十五doc、课时作业五十doc、课时作业四十五doc、课时作业四十二doc、课时作业五doc、课时作业二十三doc、课时作业四十三doc、课时作业四十doc、课时作业三十六doc、课时作业四十一doc、课时作业一doc、课时作业七doc、课时作业三doc、课时作业四doc、课时作业三十九doc、课时作业三十八doc、课时作业三十七doc、课时作业三十四doc、课时作业九doc、课时作业十五doc、课时作业二doc、课时作业十二doc、课时作业十九doc、课时作业八doc、课时作业六doc、课时作业十doc、课时作业二十一doc、课时作业二十doc、课时作业十七doc、课时作业十一doc、第三章章末复习课docx、第一章章末复习课docx、123docx、522docx、621-2docx、第二章章末复习课docx、221docx、212docx、541docx、121docx、242docx、71docx、114docx、第六章章末复习课docx、222docx、65docx、641docx、632docx、631docx、513docx、231docx、124docx、1162docx、211docx、241docx、612docx、311docx、111-2docx、1133docx、1131docx、511-2docx、73docx、642docx、1161docx、531docx、532docx、542docx、232docx、611docx、122docx、72docx、613docx、521docx、1132docx、第五章章末复习课docx、115docx、312docx、3321docx、第七章章末复习课docx、3422docx、3421docx、详解答案docx、321-21docx、321-22docx、331docx、3322docx、341docx、3433docx、3432docx、3431docx等180份课件配套教学资源,其中PPT共2056页, 欢迎下载使用。
新北师大版高中数学必修第一册全套PPT课件配套word讲义及作业(师说版): 这是一份高中数学北师大版 (2019)必修 第一册全册综合作业ppt课件,文件包含63ppt、64ppt、62ppt、511ppt、222ppt、221ppt、241ppt、74ppt、111ppt、231ppt、112ppt、331ppt、131ppt、232ppt、242ppt、142ppt、4331ppt、73ppt、1131ppt、721ppt、44ppt、512ppt、722ppt、711-3ppt、521-2ppt、83ppt、1211ppt、141ppt、431-2ppt、1322ppt、1321ppt、1132ppt、143ppt、81ppt、1222ppt、421ppt、1212ppt、32ppt、31ppt、41ppt、332ppt、714ppt、4332ppt、82ppt、61ppt、21ppt、1221ppt、422ppt、目录ppt、章末质量检测六doc、章末质量检测七doc、章末质量检测五doc、模块质量检测doc、课时作业三十八doc、章末质量检测四doc、章末质量检测二doc、章末质量检测一预备知识doc、章末质量检测三doc、课时作业十五doc、课时作业四十四doc、课时作业四十五doc、课时作业四十二doc、课时作业三十七doc、课时作业三十九doc、课时作业十七doc、课时作业三十五doc、课时作业八doc、课时作业六doc、课时作业十doc、课时作业十一doc、课时作业十三doc、课时作业十九doc、课时作业十四doc、课时作业十二doc、课时作业十八doc、课时作业十六doc、课时作业四doc、课时作业四十doc、课时作业四十一doc、课时作业四十三doc、课时作业四十六doc、课时作业五doc、课时作业二十六doc、课时作业二十四doc、课时作业三十六doc、课时作业七doc、课时作业三doc、课时作业三十doc、课时作业三十一doc、课时作业三十三doc、课时作业三十二doc、课时作业二十八doc、课时作业三十四doc、课时作业九doc、课时作业二doc、课时作业二十doc、课时作业二十一doc、课时作业二十七doc、课时作业二十三doc、课时作业二十九doc、课时作业二十二doc、课时作业二十五doc、课时作业一doc、课时作业四十七doc、课时作业四十八doc、详解答案doc、新建MicrosoftWord文档doc、pptviewexe、pptviewexemanifest等109份课件配套教学资源,其中PPT共1403页, 欢迎下载使用。
新北师大版高中数学必修第一册全册PPT课件(校本版): 这是一份北师大版 (2019)必修 第一册全册综合图片ppt课件,文件包含第一章11第1课时集合的概念-新教材北师大版2019高中数学必修第一册课件共32张PPTpptx、第四章§3第1课时对数函数的概念图象与性质-新教材北师大版2019高中数学必修第一册课件共40张PPTpptx、第二章§3第1课时函数的单调性-新教材北师大版2019高中数学必修第一册课件共34张PPTpptx、第二章22第1课时函数的表示法-新教材北师大版2019高中数学必修第一册课件共41张PPTpptx、第三章§3第1课时指数函数的概念图象与性质-新教材北师大版2019高中数学必修第一册课件共37张PPTpptx、第一章32第1课时基本不等式-新教材北师大版2019高中数学必修第一册课件共25张PPTpptx、第七章§2第1课时古典概型的概率计算公式及其应用-新教材北师大版2019高中数学必修第一册课件共28张PPTpptx、第一章21第1课时必要条件与充分条件-新教材北师大版2019高中数学必修第一册课件共31张PPTpptx、第一章13第1课时交集和并集-新教材北师大版2019高中数学必修第一册课件共34张PPTpptx、第四章§3第2课时习题课对数函数图象与性质的应用-新教材北师大版2019高中数学必修第一册课件共22张PPTpptx、第一章21第2课时习题课充分条件与必要条件的综合应用-新教材北师大版2019高中数学必修第一册课件共17张PPTpptx、第二章22第2课时分段函数-新教材北师大版2019高中数学必修第一册课件共31张PPTpptx、第一章11第2课时集合的表示-新教材北师大版2019高中数学必修第一册课件共37张PPTpptx、第三章§3第2课时习题课指数函数及其性质的应用-新教材北师大版2019高中数学必修第一册课件共22张PPTpptx、第一章13第2课时全集与补集-新教材北师大版2019高中数学必修第一册课件共26张PPTpptx、第二章§3第2课时函数的最值-新教材北师大版2019高中数学必修第一册课件共31张PPTpptx、第一章32第2课时习题课基本不等式的应用-新教材北师大版2019高中数学必修第一册课件共22张PPTpptx、第七章§2第2课时互斥事件概率的求法-新教材北师大版2019高中数学必修第一册课件共23张PPTpptx、第六章§331从频数到频率32频率分布直方图-新教材北师大版2019高中数学必修第一册课件共40张PPTpptx、第六章§222分层随机抽样-新教材北师大版2019高中数学必修第一册课件共28张PPTpptx、第五章12利用二分法求方程的近似解-新教材北师大版2019高中数学必修第一册课件共27张PPTpptx、第六章§111直接获取与间接获取数据12普查和抽查13总体和样本-新教材北师大版2019高中数学必修第一册课件共25张PPTpptx、第六章§441样本的数字特征42分层随机抽样的均值与方差43百分位数-新教材北师大版2019高中数学必修第一册课件共39张PPTpptx、第六章章末整合-新教材北师大版2019高中数学必修第一册课件共14张PPTpptx、第八章数学建模活动-新教材北师大版2019高中数学必修第一册课件共18张PPTpptx、第四章21对数的运算性质22换底公式-新教材北师大版2019高中数学必修第一册课件共30张PPTpptx、第四章§1对数的概念-新教材北师大版2019高中数学必修第一册课件共21张PPTpptx、第五章章末整合-新教材北师大版2019高中数学必修第一册课件共17张PPTpptx、第五章§221实际问题的函数刻画22用函数模型解决实际问题-新教材北师大版2019高中数学必修第一册课件共46张PPTpptx、第四章§4指数函数幂函数对数函数增长的比较§5信息技术支持的函数研究-新教材北师大版2019高中数学必修第一册课件共30张PPTpptx、第六章§221简单随机抽样-新教材北师大版2019高中数学必修第一册课件共33张PPTpptx、第二章21函数概念-新教材北师大版2019高中数学必修第一册课件共42张PPTpptx、第五章11利用函数性质判定方程解的存在性-新教材北师大版2019高中数学必修第一册课件共29张PPTpptx、第七章§111随机现象12样本空间13随机事件14随机事件的运算-新教材北师大版2019高中数学必修第一册课件共35张PPTpptx、第一章12集合的基本关系-新教材北师大版2019高中数学必修第一册课件共36张PPTpptx、第一章22全称量词与存在量词-新教材北师大版2019高中数学必修第一册课件共28张PPTpptx、第一章31不等式的性质-新教材北师大版2019高中数学必修第一册课件共27张PPTpptx、第一章41一元二次函数-新教材北师大版2019高中数学必修第一册课件共19张PPTpptx、第一章42一元二次不等式及其解法43一元二次不等式的应用-新教材北师大版2019高中数学必修第一册课件共37张PPTpptx、第一章章末整合-新教材北师大版2019高中数学必修第一册课件共28张PPTpptx、第七章§3频率与概率-新教材北师大版2019高中数学必修第一册课件共25张PPTpptx、第二章章末整合-新教材北师大版2019高中数学必修第一册课件共21张PPTpptx、第七章§4事件的独立性-新教材北师大版2019高中数学必修第一册课件共28张PPTpptx、第七章章末整合-新教材北师大版2019高中数学必修第一册课件共20张PPTpptx、第三章§1指数幂的拓展§2指数幂的运算性质-新教材北师大版2019高中数学必修第一册课件共30张PPTpptx、第三章章末整合-新教材北师大版2019高中数学必修第一册课件共10张PPTpptx、第二章41函数的奇偶性-新教材北师大版2019高中数学必修第一册课件共37张PPTpptx、第二章42简单幂函数的图象和性质-新教材北师大版2019高中数学必修第一册课件共33张PPTpptx、第四章章末整合-新教材北师大版2019高中数学必修第一册课件共17张PPTpptx等49份课件配套教学资源,其中PPT共32页, 欢迎下载使用。

