


所属成套资源:2024年高考数学第一轮复习课时练及重难点突破卷
- 2024届高考数学第一轮复习:文科数学2010-2019高考真题分类训练之专题四 三角函数与解三角形第十二讲 解三角形 试卷 1 次下载
- 2024届高考数学第一轮复习:文科数学2010-2019高考真题分类训练之专题四 三角函数与解三角形 第十讲 三角函数的图象与性质答案 试卷 0 次下载
- 2024届高考数学第一轮复习:文科数学2010-2019高考真题分类训练之专题九 解析几何第二十六讲 双曲线答案 试卷 0 次下载
- 2024届高考数学第一轮复习:文科数学2010-2019高考真题分类训练之专题九 解析几何第二十七讲 抛物线 试卷 0 次下载
- 2024届高考数学第一轮复习:文科数学2010-2019高考真题分类训练之专题九 解析几何第二十四讲 直线与圆 试卷 1 次下载
2024届高考数学第一轮复习:文科数学2010-2019高考真题分类训练之专题四 三角函数与解三角形 第九讲 三角函数的概念、诱导公式与三角恒等变换答案
展开
这是一份2024届高考数学第一轮复习:文科数学2010-2019高考真题分类训练之专题四 三角函数与解三角形 第九讲 三角函数的概念、诱导公式与三角恒等变换答案,共8页。试卷主要包含了解析 由,得,解析 由,得,等内容,欢迎下载使用。
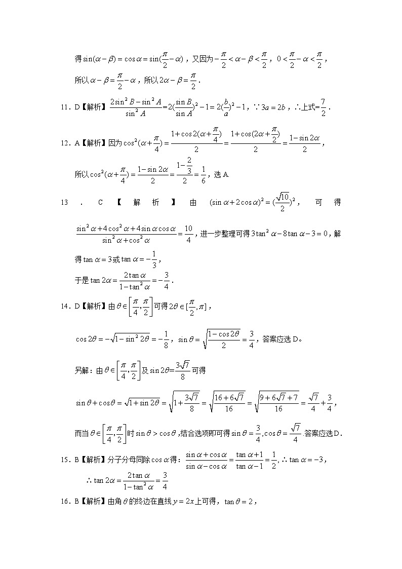
专题四 三角函数与解三角形第九讲 三角函数的概念、诱导公式与三角恒等变换答案部分2019年1.解析 由题意和题图可知,当为优弧的中点时,阴影部分的面积取最大值,如图所示,设圆心为,,.此时阴影部分面积.故选B.2.解析 由,得.因为,所以.由,得.故选B.3.解析 由,得,所以,解得或.
当时,,,
.
当时,,,
所以.综上,的值是.2010-2018年1.B【解析】由题意知,因为,所以,,得,由题意知,所以.故选B.2.B【解析】.故选B.3.C【解析】设点的坐标为,利用三角函数可得,所以,.所以所在的圆弧是,故选C.4.A【解析】由,两边平方得,所以,选A. 5.D【解析】由得,故选D.6.D【解析】由,得,或,,所以,故选D.7.A【解析】.8.D【解析】由,且为第四象限角,则,则,故选D.9.C【解析】知的终边在第一象限或第三象限,此时与同号,故,选C.10.B【解析】由条件得,即,得,又因为,,所以,所以.11.D【解析】=,∵,∴上式=.12.A【解析】因为,所以,选A.13.C【解析】由,可得,进一步整理可得,解得或,于是.14.D【解析】由可得,,,答案应选D。另解:由及可得,而当时,结合选项即可得.答案应选D.15.B【解析】分子分母同除得:∴,∴16.B【解析】由角的终边在直线上可得,,.17.C【解析】,而,,因此,,则.18.A【解析】∵,且是第三象限,∴,∴.19.【解析】由得又,所以因为,所以因为. 20.【解析】与关于轴对称,则 ,所以.21.【解析】.22.【解析】因为,所以,因为为第四象限角,所以,所以,所以,所以.23.【解析】由已知可得,=.24.3【解析】.25.1【解析】.∵,所以的最大值为1.26.【解析】∵,可得,∴,=.27.【解析】,则,又,则,.28.【解析】因为为锐角,cos(=,∴sin(=,∴sin2(cos2(,所以sin(.29.【解析】(1)由角的终边过点得,所以.(2)由角的终边过点得,由得.由得,所以或.30.【解析】(1)因为,,所以.因为,所以,因此,.(2)因为为锐角,所以.又因为,所以,因此.因为,所以,因此,.31.【解析】(Ⅰ).(Ⅱ).32.【解析】(1)∵,∴ ;(2)∵ ∴.33.【解析】(1)因为是奇函数,而为偶函数,所以为奇函数,又得所以,由,得,即(2)由(1)得:因为,得又,所以因此34.【解析】(1)(2)<θ<2π,所以,因此35.【解析】:(1)所以,最小正周期当(),即()时,(2)因为,所以因为,所以所以,即36.【解析】(1).(2)..
相关试卷
这是一份2024届高考第一轮复习:理科数学2010-2018高考真题分类训练之专题四 三角函数与解三角形 第九讲 三角函数的概念、诱导公式与三角恒等变换答案,共10页。试卷主要包含了解析,解析 当时,,,解析 因为是奇函数,所以,,解析 由,得,等内容,欢迎下载使用。
这是一份2024届高考第一轮复习:理科数学2010-2018高考真题分类训练之专题四 三角函数与解三角形 第九讲 三角函数的概念、诱导公式与三角恒等变换,共5页。试卷主要包含了,所得图像对应的函数为,设函数等内容,欢迎下载使用。
这是一份2024届高考数学第一轮复习:文科数学2010-2019高考真题分类训练之专题四 三角函数与解三角形 第九讲 三角函数的概念、诱导公式与三角恒等变换,共5页。试卷主要包含了已知,则的值是 等内容,欢迎下载使用。