


所属成套资源:2024年高考数学第一轮复习课时练及重难点突破卷
- 2024届高考数学第一轮复习:文科数学2010-2019高考真题分类训练之专题三 导数及其应用第七讲 导数的计算与导数的几何意义答案 试卷 0 次下载
- 2024届高考数学第一轮复习:文科数学2010-2019高考真题分类训练之专题三 导数及其应用第八讲 导数的综合应用答案 试卷 0 次下载
- 2024届高考数学第一轮复习:文科数学2010-2019高考真题分类训练之专题四 三角函数与解三角形第十一讲 三角函数的综合应用答案 试卷 0 次下载
- 2024届高考数学第一轮复习:文科数学2010-2019高考真题分类训练之专题四 三角函数与解三角形 第九讲 三角函数的概念、诱导公式与三角恒等变换 试卷 0 次下载
- 2024届高考数学第一轮复习:文科数学2010-2019高考真题分类训练之专题四 三角函数与解三角形第十一讲 三角函数的综合应用 试卷 0 次下载
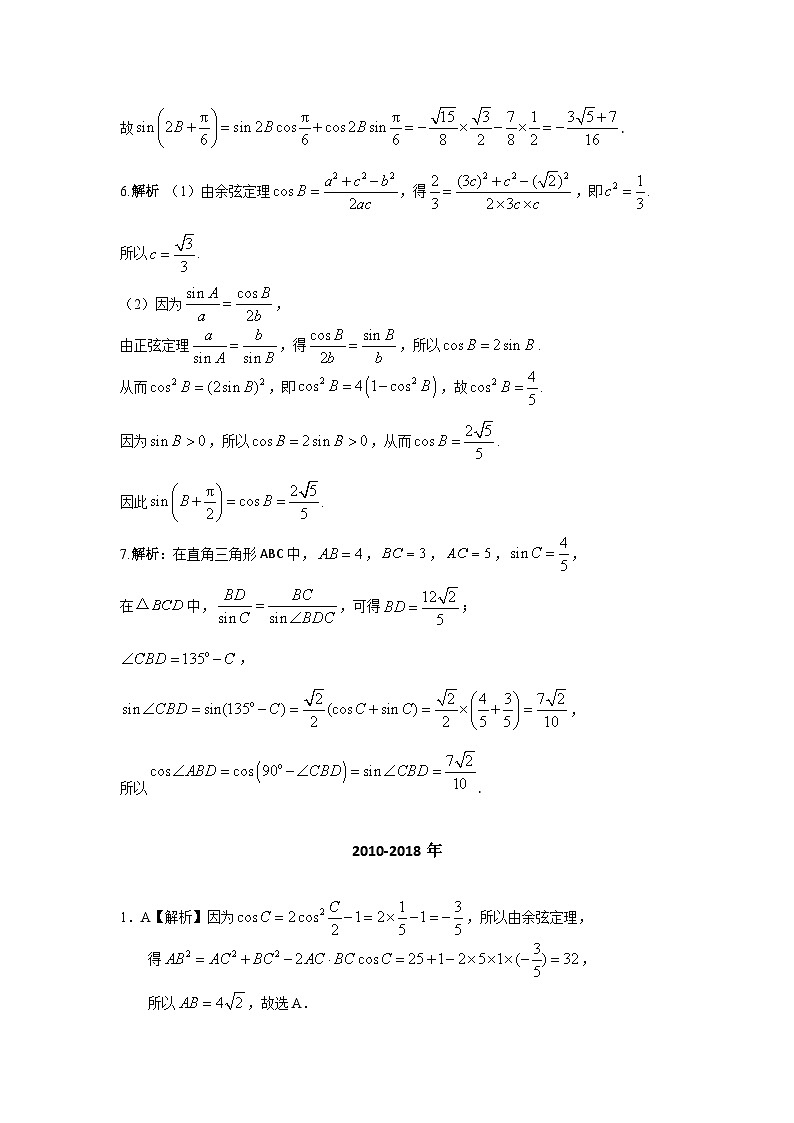
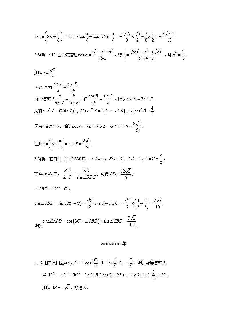
2024届高考数学第一轮复习:文科数学2010-2019高考真题分类训练之专题四 三角函数与解三角形第十二讲 解三角形答案
展开
这是一份2024届高考数学第一轮复习:文科数学2010-2019高考真题分类训练之专题四 三角函数与解三角形第十二讲 解三角形答案,共19页。试卷主要包含了解析因为的内角的对边分别为,解析由余弦定理,得,解析由题设及正弦定理得.,解析 由余弦定理,得,即,解析等内容,欢迎下载使用。
专题四 三角函数与解三角形第十二讲 解三角形答案部分2019年1.解析 因为bsinA+acosB=0,所以由正弦定理,可得:,因为,,所以可得,可得,因为,所以.2.解析因为的内角的对边分别为.利用正弦定理将角化为边可得 ①由余弦定理可得 ②
由①②消去得,化简得,即. 故选A.3.解析(Ⅰ)由余弦定理,得.因为,所以.解得.则.(Ⅱ)由,得.由正弦定理得,.在中,,所以4.解析(1)由题设及正弦定理得.因为,所以.由,可得,故.因为,故,因此.(2)由题设及(1)知△ABC的面积.由正弦定理得.由于为锐角三角形,故,,由(1)知,所以,故,从而.因此,面积的取值范围是.5.解析(Ⅰ)在中,由正弦定理,得,又由,得,即.又因为,得到,.由余弦定理可得.(Ⅱ)由(Ⅰ)可得,从而,,故.6.解析 (1)由余弦定理,得,即.所以.(2)因为,由正弦定理,得,所以.从而,即,故.因为,所以,从而.因此.7.解析:在直角三角形ABC中,,,,,在中,,可得;,,所以. 2010-2018年 1.A【解析】因为,所以由余弦定理,得,所以,故选A.2.C【解析】根据题意及三角形的面积公式知,所以,所以在中,.故选C.3.B【解析】由,得,即,所以,因为为三角形的内角,所以,故,即,所以.由正弦定理得,,由为锐角,所以,选B. 4.D【解析】由余弦定理,得,整理得,解得 或 (舍去),故选D.5.D【解析】设边上的高为,则,,所以.由正弦定理,知,即,解得,故选D.6.C【解析】由余弦定理得,所以,所以,即,又,所以.7.C【解析】由余弦定理得:,所以,即,解得:或,因为,所以,故选B.8.B【解析】,∴,所以或.当时,,此时,易得与“钝角三角形”矛盾;当时,.9.A【解析】因为,由得,即,整理得,又,因此,由得,即,因此选项C、D不一定成立.又,因此,即,选项A一定成立.又,因此,显然不能得出,选项B不一定成立.综上所述,选A.10.C【解析】由可得①,由余弦定理及可得②.所以由①②得,所以.11.C【解析】∵,∴12.D【解析】,,由余弦定理解得13.A【解析】边换角后约去,得,所以,但B非最大角,所以.14.C【解析】由余弦定理可得,再由正弦定理得.15.B【解析】∵,∴由正弦定理得,∴,∴,∴,∴△ABC是直角三角形.16.B【解析】由正弦定理得:17.D【解析】由正弦定理,得,即,,∴.18.D【解析】设,则,,,在中,由余弦定理得,则,在中,由正弦定理得,解得.19.A【解析】因为,,所以,所以因为,所以,所以.故选A.20.【解析】由得,,因为,所以,因为,,所以所以,所以.21.;3【解析】因为,,,所以由正弦定理得.由余弦定理可得,所以.22.【解析】的面积,所以,因为,所以.因为为钝角,所以,所以,所以,故的取值范围为.23.9【解析】因为,的平分线交于点,所以,由三角形的面积公式可得,化简得,又,,所以,则,当且仅当时取等号,故的最小值为9.24.【解析】由正弦定理得即,所以,又为三角形内角,所以.25.75°【解析】由正弦定理 ,即 ,结合 可得 ,则.26.,【解析】由余弦定理可得,,由所以, .因为,所以,所以,27.【解析】∵,,所以,,所以,由正弦定理得:解得.28.【解析】由正弦定理,得,即,所以,所以.29.4【解析】由及正弦定理知:,又因为,所以;由余弦定理得:,所以.30.2【解析】由正弦定理可知:.31.7【解析】由已知得的面积为,所以,,所以.由余弦定理得,.32. 【解析】如图作,使,,作出直线分别交线段、于、两点(不与端点重合),且使,则四边形就是符合题意的四边形,过作的平行线交于点,在中,可求得,在中,可求得,所以的取值范围为.33.8 【解析】因为,所以,又,,解方程组,得,,由余弦定理得,所以.34.【解析】依题意,,,在中,由,所以,因为,由正弦定理可得,即 m,在中,因为,,所以,所以 m.35.150【解析】在三角形中,,在三角形中,,解得,在三角形中,,故.36.2【解析】 由得:,即,,∴,故.37.【解析】,,所以.38.【解析】∵根据余弦定理可得39.①②③【解析】 ① ② ③当时,与矛盾 ④取满足得: ⑤取满足得:40.4【解析】根据余弦定理可得,解得b=441.【解析】在中,根据,得,同理,因此42.【解析】根据得,,所以=.43.4【解析】(方法一)考虑已知条件和所求结论对于角A、B和边a、b具有轮换性.当A=B或a=b时满足题意,此时有:,,,,= 4.(方法二),.由正弦定理,得:上式=44.【解析】 由得,即,因,所以.又因为由正弦定理得,解得,而则,故.45.【解析】(1)在中,由正弦定理,可得,又由,得,即,可得.又因为,可得.(2)在中,由余弦定理及,,,有,故.由,可得.因为,故.因此, 所以, 46.【解析】(Ⅰ)由,及,得.由,及余弦定理,得.(Ⅱ)由(Ⅰ),可得,代入,得.由(Ⅰ)知,A为钝角,所以.于是,,故.47.【解析】因为,所以,又 ,所以,因此,又,所以,又,所以,由余弦定理,得,所以.48.【解析】(Ⅰ)因为,,所以.由正弦定理可得.(Ⅱ)因为,所以.在和中,由余弦定理得,..由(Ⅰ)知,所以.49.【解析】(Ⅰ)由题设及正弦定理可得.又,可得,,由余弦定理可得.(Ⅱ)由(Ⅰ)知.因为,由勾股定理得.故,得.所以的面积为1.50.【解析】(I)在中,由题意知,又因为,所有,由正弦定理可得.(II)由得,,由,得.所以.因此,的面积.51.【解析】:(Ⅰ)∵,∴,由正弦定理得∵,∴.(Ⅱ)由余弦定理得,由于,∴,故.52.【解析】(Ⅰ)由已知得,∠PBC=,∴∠PBA=30o,在△PBA中,由余弦定理得==,∴PA=;(Ⅱ)设∠PBA=,由已知得,PB=,在△PBA中,由正弦定理得,,化简得,,∴=,∴=.53.【解析】(Ⅰ)因为,所以由正弦定理得:,所以,即,因为0,所以,解得B=;(Ⅱ)由余弦定理得:,即,由不等式得:,当且仅当时,取等号,所以,解得,所以△ABC的面积为=,所以△面积的最大值为.54.【解析】(Ⅰ)(II)在中,55.【解析】(1)由正弦定理得:(2),解得:.56.【解析】(I)由正弦定理,设则所以即,化简可得又,所以,因此(II)由得由余弦定理解得.因此.又因为所以因此57.【解析】由,得再由正弦定理,得由上述结果知设边BC上的高为,则有58.【解析】由题意知海里,在中,由正弦定理得=(海里),又海里,在中,由余弦定理得= 30(海里),则需要的时间(小时).答:救援船到达点需要1小时.59.【解析】(1),同理:,.AD—AB=DB,故得,解得.因此,算出的电视塔的高度是124m.(2)由题设知,得,,(当且仅当时,取等号)故当时,最大.因为,则,所以当时,-最大.故所求的是m.
相关试卷
这是一份2024届高考第一轮复习:理科数学2010-2018高考真题分类训练之专题四 三角函数与解三角形第十二讲 解三角形答案,共21页。试卷主要包含了解析,解析由题设及正弦定理得.,解析 设,,解析 由余弦定理,得,即等内容,欢迎下载使用。
这是一份2024届高考第一轮复习:理科数学2010-2018高考真题分类训练之专题四 三角函数与解三角形第十二讲 解三角形,共11页。试卷主要包含了的内角的对边分别为,在中,, , .,在中,内角所对的边分别为等内容,欢迎下载使用。
这是一份2024届高考数学第一轮复习:文科数学2010-2019高考真题分类训练之专题四 三角函数与解三角形第十一讲 三角函数的综合应用答案,共8页。试卷主要包含了C【解析】由图象知,C【解析】由题意知,,当时,,;1【解析】,所以,【解析】∵,∴,∴,∵,等内容,欢迎下载使用。
