初中数学湘教版八年级下册4.3 一次函数的图象课后作业题
展开
这是一份初中数学湘教版八年级下册4.3 一次函数的图象课后作业题,共6页。试卷主要包含了选择题,四象限,则m的取值范围是,解答题等内容,欢迎下载使用。
[正比例函数的图象和性质]一、选择题1.(2021湘西模拟)下列图象中,表示正比例函数图象的是 ( )
2.下列各点中,不在正比例函数y=-
x图象上的是 ( )A.(0,0) B.(1,-3) C.(-3,1) D.
1,-![]()
3.已知正比例函数y=(m-3)x的图象过第二、四象限,则m的取值范围是 ( )A.m≥3 B.m>3 C.m≤3 D.m<34.已知(x1,y1)和(x2,y2)是直线y=-3x上的两点,且x1>x2,则y1与y2的大小关系是 ( )A.y1>y2 B.y1<y2 C.y1=y2 D.以上都有可能5.对于函数y=-k2x(k是常数,k≠0)的图象,下列说法不正确的是 ( )A.是一条直线 B.过点![]()
,-k
C.经过第一、三象限或第二、四象限 D.y随x的增大而减小6.一根蜡烛长20 cm,点燃后每小时燃烧5 cm,则蜡烛燃烧的长度y(cm)与燃烧时间x(h)的函数关系用图象表示为图中的 ( )
7.在正比例函数y=ax中,若y随x的增大而增大,则直线y=(-a-1)x经过 ( )A.第一、三象限 B.第二、三象限 C.第二、四象限 D.第三、四象限二、填空题8.函数y=5x的图象经过的象限是 . 9.若正比例函数y=kx(k为常数,k≠0)的图象经过第二、四象限,则k的值可以是 (写出一个即可). 10.若函数y=(m-1)x|m|是正比例函数,则该函数的图象经过第 象限. 11.如图,三个正比例函数的图象分别对应的表达式是:①y=ax;②y=bx;③y=cx,则a,b,c的大小关系是 (用“>”号连接).
三、解答题12.在同一平面直角坐标系中画出下列函数的图象.(1)y=
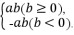
x;(2)y=-3x. 13.已知正比例函数y=(2m+4)x.(1)当m为何值时,函数图象经过第一、三象限?(2)当m为何值时,点(1,3)在该函数图象上? 14.小明用16元零花钱买某种水果,已知该种水果的单价是每千克4元,设买x千克该种水果用去的钱数为y元.(1)求买该种水果用去的钱数y(元)关于买该种水果的数量x(千克)的函数表达式;(2)画出这个函数的图象. 15.定义运算“※”:a※b=
(1)计算:3※4;(2)在图中画出函数y=2※x的图象.
16.如图所示,若正方形ABCD的边长为2,P为边DC上一动点(不与点D重合),设DP=x,求△ADP的面积y与x之间的函数表达式,并画出该函数的图象.
图
[分类讨论] 数学课上,老师要求同学们画函数y=|x|的图象,小红联想绝对值的性质得y=x(x≥0)或y=-x(x≤0),于是她很快作出了该函数的图象(如图).请回答:(1)小红所作的图象对吗?如果不对,请你画出正确的函数图象;(2)根据上述作图方法,请你画出函数y=-3|x|的图象.
答案1.B 2.B 3.D 4.B 5.C 6.A7. C ∵在正比例函数y=ax中,y随x的增大而增大,∴a>0,∴-a-1<0,∴直线y=(-a-1)x经过第二、四象限.故选C.8.第一、三象限9. 答案不唯一,只需小于0即可,如-1 根据正比例函数的性质,若函数图象经过第二、四象限,则k<0,因此k的值可以是任意负数.10. 二、四 由题意,得|m|=1,且m-1≠0,解得m=-1,则此函数的表达式为y=-2x.∵k=-2<0,∴该函数的图象经过第二、四象限.11.b>a>c12.解:采用两点法,并且取横、纵坐标均为整数的点最简单.(1)该函数是正比例函数,函数图象是过原点的一条直线.当x=0时,y=0;当x=2时,y=3,则该直线经过点(0,0),(2,3).其图象如图所示.
(2)该函数是正比例函数,函数图象是过原点的一条直线.当x=0时,y=0;当x=1时,y=-3,则该直线经过点(0,0),(1,-3).其图象如图所示.13.解:(1)∵函数图象经过第一、三象限,∴2m+4>0,解得m>-2.(2)∵点(1,3)在该函数图象上,∴2m+4=3,解得m=-
.14.解:(1)y=4x(0≤x≤4).(2)图象如下:
15.解:(1)∵4>0,∴3※4=3×4=12.(2)当x≥0时,y与x之间的函数表达式为y=2x;当x<0时,y与x之间的函数表达式为y=-2x.列表如下:x…-2-1012…y…42024…描点、连线,如图所示.
16.解:∵△ADP是直角三角形,∴y=
x·2,即y=x.∵P为边DC上一动点且不与点D重合,∴0<x≤2,∴△ADP的面积y与x之间的函数表达式为y=x(0<x≤2),它的图象是直线的一部分,如图.
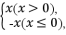
(注:点O处是空心圆圈)[素养提升]解:(1)不对.y=|x|=
函数图象如图①所示:
(2)函数y=-3|x|的图象如图②所示.
相关试卷
这是一份初中数学人教版八年级下册19.2.1 正比例函数课时作业,共5页。
这是一份湘教版八年级下册4.3 一次函数的图象当堂检测题,共6页。试卷主要包含了选择题,填空题,解答题等内容,欢迎下载使用。
这是一份湘教版八年级下册4.2 一次函数练习题,共6页。试卷主要包含了正比例函数y=3x的大致图像是,正比例函数y=-x的图象平分等内容,欢迎下载使用。

