所属成套资源:【单元检测】沪教版(五四学制)初中数学 七年级上册 单元测试卷(4份,含解析)
沪教版(五四学制)初中数学 六年级上册 第10章分式单元测试卷(有答案)
展开
这是一份沪教版(五四学制)初中数学 六年级上册 第10章分式单元测试卷(有答案),共8页。试卷主要包含了在,,,,中,分式的个数为,在,,,,中,分式的个数是,在中,分式有,下列各式中不是分式的是,若分式的值是零,则x的值是,下列分式不是最简分式的是,化简的结果是,分式可变形为等内容,欢迎下载使用。
2021-2022学年沪教新版七年级上册数学《第10章 分式》单元测试卷一.选择题1.在
,
,
,
,
中,分式的个数为( )A.2 B.3 C.4 D.52.在
,
,
,
,
中,分式的个数是( )A.1 B.2 C.3 D.43.在
中,分式有( )A.1个 B.2个 C.3个 D.4个4.下列各式中不是分式的是( )A.
B.
C.
D.
5.若使分式
有意义,则x的取值范围是( )A.x≠2 B.x≠﹣2 C.x≠﹣1 D.x=26.若分式
的值是零,则x的值是( )A.x=0 B.x=±3 C.x=﹣3 D.x=37.下列分式不是最简分式的是( )A.
B.
C.
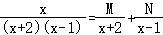
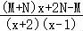
D.
8.分式
中的x,y同时扩大2倍,则分式的值( )A.不变 B.是原来的2倍 C.是原来的4倍 D.是原来的
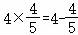
9.化简
的结果是( )A.
B.
C.
D.4y10.分式
可变形为( )A.
B.﹣
C.
D.
二.填空题11.已知:
,则
= .12.一组按规律排列的式子:
,﹣
,
,﹣
,…(a≠0),其中第10个式子是 .13.观察下列式子:
,
,
,设n表示正整数(n≥4),用含n的等式表示这个规律是 .14.观察下面给定的一列分式:
,
,
,
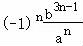
,…(其中y≠0).根据你发现的规律,给定的这列分式中的第7个分式是 .15.一组按规律排列的式子:
,其中第7个式子是 ,第n个式子是 .16.若代数式
有意义,则实数x的取值范围是 .17.
=
,( )中应填入为 .18.约分:
= .19.当x= 时分式
的值为零.20.已知x2﹣4x﹣5=0,则分式
的值是 .三.解答题21.当x为何值时,分式
﹣
有意义?22.若a,b为实数,且
=0,求3a﹣b的值.23.若a2﹣5ab﹣14b2=0,求
的值.24.阅读材料,完成下列任务:部分分式分解我们知道,将一个多项式转化成若干整式的积的形式,叫做分解因式.分解因式的结果中,每一个因式的次数都低于原来多项式的次数.而有一些特殊的分式可以分解成若干分式的和的形式,我们称之为部分分式分解.例如:将
部分分式分解的方法如下:因为x2﹣9=(x+3)(x﹣3),所以设
=
+
.去分母,得6=A(x﹣3)+B(x+3).整理,得6=(A+B)x+3(B﹣A).所以
,解得
.所以
=
+
,即
=
﹣
.显然,部分分式分解的结果中,各分母的次数都低于原分式分母的次数.任务:(1)将
部分分式分解;(2)已知
部分分式分解的结果是
+
,则M+N的值为 .25.给定下面一列分式:
,…,(其中x≠0)(1)把任意一个分式除以前面一个分式,你发现了什么规律?(2)根据你发现的规律,试写出给定的那列分式中的第7个分式.26.下列分式,当x取何值时有意义.(1)
;(2)
.
参考答案与试题解析一.选择题1.解:
,
,
的分母中均不含有字母,因此它们是整式,而不是分式.
,
的分母中含有字母,因此是分式.故选:A.2.解:
,
,的分母中均不含有字母,因此它们是整式,而不是分式.
,
,
分母中含有字母,因此是分式.故选:C.3.解:在
中分式有
两个,故选:B.4.解:A、分母中含有未知数,故是分式,故本选项错误;B、分母中不含有未知数,故不是分式,故本选项正确;C、分母中含有未知数,故是分式,故本选项错误;D、分母中含有未知数,故是分式,故本选项错误.故选:B.5.解:∵分式
有意义,∴x的取值范围是:x﹣2≠0,解得:x≠2.故选:A.6.解:根据题意得:
解得:x=﹣3.故选:C.7.解:A、分式的分子分母不含公因式,故A是最简分式;B、分式的分子分母不含公因式,故B是最简分式;C、分式的分子分母不含公因式,故C是最简分式;D、分式的分子分母含公因式2,故D不是最简分式;故选:D.8.解:∵分式
中的x,y同时扩大2倍,∴分子扩大4倍,分母扩大2倍,∴分式的值是原来的2倍.故选:B.9.解:原式=
=
.故选:C.10.解:
=﹣
.故选:B.二.填空题11.解:令x=4k,y=3k,z=2k,代入
=
=
.故答案为:
.12.解:∵
=(﹣1)1+1•
,﹣
=(﹣1)2+1•
,
=(﹣1)3+1•
,…第10个式子是(﹣1)10+1•
=
.故答案是:
.13.解:得到规律为:
.14.解:第奇数个式子的符号是正数,偶数个是负数,分母是第几个式子就是y的几次方;分子是第n个式子就是x的第(2n+1)次方.所以第七个分式是
.15.解:分子为b,其指数为2,5,8,11,…,其规律为3n﹣1,分母为a,其指数为1,2,3,4,…,其规律为n,分数符号为﹣,+,﹣,+,…,其规律为(﹣1)n,于是,第7个式子为﹣
,第n个式子是
.故答案为﹣
,
.16.解:∵代数式
有意义,∴实数x的取值范围是:x≠2.故答案为:x≠2.17.解:由题意可得,分子分母需同时除以mn,(m2n+mn2)÷mn=m+n.故填m+n.18.解:
=
=
.故答案为
.19.解:由题意得:x2﹣4=0,且2﹣x≠0,解得:x=﹣2,故答案为:﹣2.20.解:由x2﹣4x﹣5=0,得到x2=4x+5,则原式=
=2,故答案为:2三.解答题21.解:由题意得,x﹣1≠0,x+2≠0,解得x≠1,x≠﹣2.22.解:∵
=0,∴
,解得
,∴3a﹣b=6﹣4=2.故3a﹣b的值是2.23.解:由题意可知:(a﹣7b)(a+2b)=0,∴a=7b,a=﹣2b,当a=7b时,∴原式=
=
,当a=﹣2b时,∴原式=
=﹣
,24.解:(1)∵x2﹣4x=x(x﹣4),∴设
,去分母,得8=A(x﹣4)+Bx,整理,得8=(A+B)x﹣4A,所以,
,解得,
,所以,
,即
.(2)
=
=
,∵
,∴
,∴M+N=1,故答案为:1.25.解:(1)﹣
÷
=﹣
;
÷(﹣
)=﹣
…规律是任意一个分式除以前面一个分式恒等于
;(2)∵由式子:
,…,发现分母上是y1,y2,y3,…故第7个式子分母上是y7,分子上是x3,x5,x7,故第7个式子是x15,再观察符号发现第偶数个为负,第奇数个为正,∴第7个分式应该是
.26.解:(1)要使分式有意义,则分母3x+2≠0,解得:x≠﹣
;(2)要使分式有意义,则分母2x﹣3≠0,x≠
.
相关试卷
这是一份初中数学沪教版 (五四制)八年级上册16.1 二次根式优秀单元测试同步练习题,共7页。试卷主要包含了下列式子书写正确的有,下列代数式书写正确的是,下列代数式的书写格式规范的是,下列代数式中,不是整式的是等内容,欢迎下载使用。
这是一份沪教版(五四学制)初中数学 六年级上册 第九章整式单元测试卷A(Word版 含答案),共5页。试卷主要包含了选择题,填空题,解答题,提高题等内容,欢迎下载使用。
这是一份沪教版(五四学制)初中数学 六年级上册 第9章整式单元测试卷(有答案),共10页。试卷主要包含了下列说法中,不正确的是,下列式子,符合书写格式的是,下列不能表示“2a”的意义的是,下列代数式中符合书写要求的是,某个数值转换器的原理如图所示等内容,欢迎下载使用。

