初中数学湘教版九年级上册第4章 锐角三角函数4.2 正切优质教学设计及反思
展开新湘教版 数学 九年级上 4.2 正切教学设计
课题 | 4.2 正切 | 单元 | 第四单元 | 学科 | 数学 | 年级 | 九年级 |
学习 目标 |
①经历锐角的正切的探索过程,理解正切的概念以及三角函数的概念; ②掌握正切的符号,会根据正切的定义正确求出锐角的正弦值。 ③记住特殊角(30°、45°、60°)的正、余弦,正切值; ④能由特殊角度来求角的正切值,由正切值求特殊角的度数; ⑤会用计算器求锐角的正切值,也能由正切值求角的度数。
①采用引导、启发、合作、探究等方法,经历观察、发现、动手操作、归纳、交流等文学活动,获得知识,形成技能,发展思维,学会学习. ②领会教学活动中的类比思想,提高学生学习数学的积极性; ③通过现实情境,进一步发展学生从数学的角度提出问题、分析问题和解决问题的能力。
①通过解答实际问题,激发学生学数学的兴趣,增长社会见识。 ②使学生亲身经历求特殊角的余弦弦值的过程,以及用计算器计算有关余弦的值,感受数学知只的实用性,培养学生积极的情感和态度。 | ||||||
重点 | 正切的概念、特殊角的三角函数值值,以及有关三角函数的计算。 | ||||||
难点 | 正切的概念、特殊角的三角函数值值,以及有关三角函数的计算。 | ||||||
教学过程 | |||||
教学环节 | 教师活动 | 学生活动 | 设计意图 | ||
回顾知识 + 导入新课
|
sinα= cosα= sin30°= cos60°= 锐角三角函数: 1、sinA、cosA是在直角三角形中定义的,∠A是锐角. (注意数形结合,构造直角三角形). 2、sinA、 cosA是一个比值(数值).。 3、sinA、 cosA的大小只与∠A的大小有关,而与直角三角形的边长无关. 面我们已经研究了直角三角形中的对边与斜边、邻边与斜边的关系。 知道:在直角三角形中, 当一个锐角的大小确定时, 那么不管这个三角形的大小如何, 这个锐角的直角边与斜边的比值也就确定(是一个常数). 那么这个锐角的对边与邻边的比值是否也是一个常数呢?
如图,△ABC和△A’B’C’都是直角三角形,其中,∠A=∠D=∠α,∠C=∠F=90°,则
∵∠A=∠D=∠α,∠C=∠F=90°, ∴Rt△ABC∽Rt△DEF ∴ ∴ 在直角三角形中,当锐角α的度数一定时,不管三角形的大小如何,∠ α的对边与邻边的比是一个固定值. |
学生思考并回答问题。并跟着教师的讲解思路思考问题,并探究知识。 |
导入新课,利用导入的例子引起学生的注意力。 | ||
讲授新课 + 例题讲解
讲授新课 + 例题讲解
| 从刚刚导入新课的探究中,我们可以得正切的定义: 在直角三角形中,我们把锐角A的对边与邻边的比叫做∠A的正切,记作tan A. tanA=
【探究知识】 1.如何求tan30°、tan60°的值? 解:在直角三角形ABC中,∠C=90°,∠B=60°,∠A=30°.
∴AC2=AB2-BC2=(2BC)2-BC2=3BC2. ∴AC= 因此tan30°= 2.如何求 sin 45°的值?
于是 ∠B = 45°. 从而AC = BC. 因此tan 45°=
接下来,我们看一些具体的例子: 【例1】计算:tan45°+tan²30°·tan²60° 解:原式=1+( =1+1 =2 从正弦、余弦、正切的定义看到,任意给定一个锐角A,都有唯一确定的比值sin A(或cos A, tan A)与它对应.并且我们还知道,当锐角a变化时,它的比值sin A(cos A, tan A)也随之变化.因此,我们把锐角A的正弦、余弦和正切统称为角A的锐角三角函数.
对于锐角三角函数,它们之间有什么关系呢? tanA 结论:tanA 【例2】计算:2tan45°sin30°+3tan²30°+tan²60°·cos30° 解:原式=2×1× =1+3× =1+1+× =2+ 我们对这部分的内容进行一个小结:
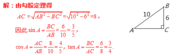
【例3】如图,在 Rt△ABC 中,∠C=90°,AB=10,BC=6,求sinA,cosA,tanA的值.
对于一般锐角α(30°,45°,60°除外)的正切值, 我们可以利用计算器来求. 1.已知角的度数,求正切值: 例:求25°角的余弦值:在计算器上依次按键, 2.如果已知正切值,我们也可以利用计算器求出它的对应锐角. 例,已知tanα = 0.391,依次按键, 【做一做】利用计算器计算: (1) tan 21°15 ′ ≈ 0.3888 (精确到0.0001); (2) tan 89° 27 ′≈ 104.1709 (精确到0.0001); (3) 若tan α = 1.2862, 则α ≈ 52.1 (精确到0.1°); (4) 若tan α = 108.5729, 则α ≈ 89.5 (精确到0.1°).
|
结合导入的思考和老师的讲解,利用探究理解和掌握正切的概念、特殊角的正余弦值以及正切值,并能进行简单的计算。
老师在例题讲解的时候,自己先思考,然后再听老师讲解。
老师在例题讲解的时候,自己先思考,然后再听老师讲解。
|
讲授知识,让学生掌掌握正切的概念、特殊角的正余弦值以及正切值,并能进行简单的计算
让学生知道本节课的学习内容和重点。
让学生知道本节课的学习内容和重点。
| ||
课堂练习
| 1.填空:
2.在Rt△ABC中,∠A=90°,AC=5,AB=12,那么tan B的值是( A )
A. 4.用计算器求下列锐角的正切值;(精确到0.000 1) (1)32°; (2)43°5′; (3)65°23′. 0.6249 0.9352 2.1825 5.已知下列正切值,用计算器求对应的锐角α.(精确0.1°) (1)tan α=1.482 6; (2)tan α=7.915 9; 56.0° 82.8° 6.求下列各式的值: (1)sin 60°tan 30°-2cos230°tan 45°; (2) 解:(1)原式= (2)原式= |
学生自主完课堂练习中的练习,然后在做完之后根据老师的讲解进一步巩固知识。 |
借助练习,检测学生的知识掌握程度,同时便于学生巩固知识。 | ||
课堂小结 | 在课堂的最后,我们一起来回忆总结我们这节课所学的知识点:
| 跟着老师回忆知识,并记忆本节课的知识。 | 帮助学生加强记忆知识。 | ||
板书 | 正切
| 借助板书,让学生知识本节课的重点。 | |||
作业 | 教材第119页练习第1、2、3、4题. | ||||
初中数学湘教版九年级上册4.2 正切优秀教学设计: 这是一份初中数学湘教版九年级上册4.2 正切优秀教学设计,共3页。教案主要包含了学习目标,学习过程,自主学习等内容,欢迎下载使用。
湘教版九年级上册4.2 正切教案: 这是一份湘教版九年级上册4.2 正切教案,共5页。教案主要包含了学情分析,教材解析,设计思路,教学目标,教学重点与难点,资源与工具,预设过程,教学内容等内容,欢迎下载使用。
初中数学湘教版九年级上册第4章 锐角三角函数4.2 正切精品教学设计: 这是一份初中数学湘教版九年级上册第4章 锐角三角函数4.2 正切精品教学设计,共4页。教案主要包含了创设情境,导入新课,课堂小结,升华知识等内容,欢迎下载使用。













