初中数学北师大版九年级上册2 平行线分线段成比例优质课件ppt
展开2平行线分线段成比例
![]()
【知识与技能】
在理解的基础上掌握平行线分线段成比例定理和三角形一边平行线的性质与判定定理,并会灵活应用.会作已知线段成已知比的作图题.
【过程与方法】
通过学习定理再次锻炼类比的数学思想,能把一个稍复杂的图形分成几个基本图形,通过应用锻炼识图能力和推理论证能力.
【情感态度】
通过定理的学习知道认识事物的一般规律是从特殊到一般,并能欣赏数学表达式的对称美.
【教学重点】
定理的应用.
【教学难点】
定理的推导证明.
![]()
一、情境导入,初步认识
1.求出下列各式中的x∶y.
(1)3x=5y;(2)x=23y;
(3)3∶2=y∶x;(4)3∶x=5∶y.
2.已知x/y=7/2,求x/(x+y).
3.已知x/2=y/3=z/4,求(x+y+z)/(2x+3y-z).
【教学说明】其中第1题以学生口答、共同核对的方式进行;第2、3题以学生各自解答,指定2人板演,而后共同核对板演所述,并追问理论根据的方式进行.
二、思考探究,获取新知..
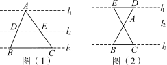
1.在四边形一章里,我们学过平行线等分线段定理,今天,在此基础上,我们来研究平行线平分线段成比例定理.首先复习一下平行线等分线段定理,如图(1):
∵AD∥BE∥CF ,且AB=BC ,
则DE=EF.
问题1:图(1)中若AD∥BE∥CF,则
成立吗?
解:由于 AB=BC,DE=EF,故
=1.
问题2:如果将CF向下平移到如图(2)的位置,则AB/BC=DE/EF仍成立吗?

解:若AD∥BE∥CF,则
=2/3.
【教学说明】学生之间相互交流,探讨得出结论.
问题3:在一般情况下,如图,若AD∥BE∥CF,
这个结论吗?

【教学说明】学生可以动手量一量,算一算.得出结论.
【归纳总结】两条直线被一组平行线所截,所得的对应线段成比例.
【教学说明】这里不要让学生死记硬背,要让学生会看图,达到根据图作出正确的比例即可.
2.在如图所示的三个图形中,DE∥BC,以上得到的那些比例是否成立?说说你的理由.

与上图对比,通过添加一组平行线,得到平行线分线段成比例定理的基本图形,从而得到比例线段.

在图(1)中,因为平行于BC的直线DE与△ABC的两边AB、AC相交与D、E,
![]()
在图(2)中,因为平行于BC的直线DE与△ABC的两边AB、AC的反向延长线相交于D、E,
![]()
【归纳结论】平行于三角形一边的直线与三角形的两边或两边的延长线相交,所截得的对应线段成比例.
【教学说明】引导学生初步总结出平行线分线段成比例定理及推论,然后师生共同归纳得出定理并板书定理.
三、运用新知,深化理解

2.如图,在△ABC中,若BD∶DC=CE∶EA=2∶1,AD和BE交于F,则AF∶FD=________.

解答:过点D作DH∥BE交AC于H,
∴
=2
∴EH=
CE
∵BD∶DC=CE∶EA=2∶1
∴AE=
CE=
EH
∴
.
3.如图,在△ABC中,D、E分别在BC、AC上,且DC∶BD=1∶3,AE∶EC=2∶1,AD与BE交于F,则AF∶FD=________.
解答:过点D作DH∥BE交AC于H,
∴
=3
∴EH=
CE
∵AE∶EC=2∶1
∴AE=2CE
∴
.
【教学说明】通过本题分析使学生进一步理解定理.
四、师生互动,课堂小结
今天我们学习了平行线分线段成比例定理,当两线段的比是1时,即为平行线等分线段定理,可见平行线等分线段定理是平行线分线段成比例定理的特殊情况,平行线分线段成比例定理是平行线等分线段定理的推广.
![]()
1、布置作业:教材“习题4.3”中第1、2 题.
2、完成练习册中相应练习.
![]()
对于本节课的学习,学生还是要以探索归纳,动手练习为主.既要复习知识点,更重要的是要在复习的过程中不断提高学生用数学解决问题的能力.
数学九年级上册2 视图获奖ppt课件: 这是一份数学九年级上册2 视图获奖ppt课件,文件包含第2课时直棱柱的三视图pptx、第2课时直棱柱的三视图的画法教案及反思doc等2份课件配套教学资源,其中PPT共14页, 欢迎下载使用。
九年级上册2 视图获奖ppt课件: 这是一份九年级上册2 视图获奖ppt课件,文件包含第1课时物体的三视图pptx、第1课时物体的三视图教案及反思doc等2份课件配套教学资源,其中PPT共17页, 欢迎下载使用。
数学九年级上册1 投影评优课课件ppt: 这是一份数学九年级上册1 投影评优课课件ppt,文件包含第2课时平行投影pptx、第2课时平行投影教案及反思doc等2份课件配套教学资源,其中PPT共23页, 欢迎下载使用。

