2024版高考数学一轮总复习第8章平面解析几何第8节第3课时定点定值探索性问题课件
展开关键能力·研析考点强“四翼”
考点1 定点问题——基础性
考点2 定值问题——综合性
考点3 探索性问题——应用性
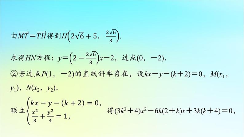
将(0,-2),代入整理得2(x1+x2)-6(y1+y2)+x1y2+x2y1-3y1y2-12=0,将(*)代入,得24k+12k2+96+48k-24k-48-48k+24k2-36k2-48=0,显然成立.综上,可得直线HN过定点(0,-2).
所以,若存在不同于点P的定点Q满足条件,则Q点坐标只可能为(0,2).
定点问题常见解法(1)假设定点坐标,根据题意选择参数,建立一个直线系或曲线系方程,而该方程与参数无关,故得到一个关于定点坐标的方程组,以这个方程组的解为坐标的点即所求定点.(2)从特殊位置入手,找出定点,再证明该点适合题意.
解答圆锥曲线定值问题的技法(1)从特殊入手,求出定值,再证明这个值与变量无关.(2)引进变量法,解题流程为
解决存在性问题的注意事项存在性问题,先假设存在,推证满足条件的结论.若结论正确,则存在;若结论不正确,则不存在.(1)当条件和结论不唯一时,要分类讨论.(2)当给出结论而要推导出存在的条件时,先假设成立,再推出条件.(3)当条件和结论都未知,按常规方法解题很难时,要开放思维,采取另外的途径.
高考数学一轮复习第8章第8节第3课时定点、定值、探索性问题课件: 这是一份高考数学一轮复习第8章第8节第3课时定点、定值、探索性问题课件,共53页。PPT课件主要包含了考点1考点2考点3等内容,欢迎下载使用。
高考数学(理)一轮复习课件+讲义 第9章 第9讲 第2课时 定点、定值、探索性问题: 这是一份高考数学(理)一轮复习课件+讲义 第9章 第9讲 第2课时 定点、定值、探索性问题,文件包含高考数学理一轮复习课件第9章第9讲第2课时定点定值探索性问题pptx、高考数学理一轮复习讲义第9章第9讲第2课时定点定值探索性问题doc等2份课件配套教学资源,其中PPT共57页, 欢迎下载使用。
人教A版高考数学一轮总复习第8章第8节第3课时定点、定值、探索性问题教学课件: 这是一份人教A版高考数学一轮总复习第8章第8节第3课时定点、定值、探索性问题教学课件,共43页。

